Linear and Non-linear Equations (QM)

Click For Summary

Homework Help Overview

The discussion revolves around identifying linear and non-linear equations in the context of differential and integral equations for the function u(x,t). The original poster emphasizes the importance of applying linearity properties rather than relying on prior knowledge of differential equations.

Discussion Character

  • Conceptual clarification, Assumption checking

Approaches and Questions Raised

  • Participants discuss the criteria for linearity by substituting functions into the equations and checking the linearity properties. There is an exploration of specific equations and their classifications as linear or non-linear based on these properties.

Discussion Status

Some participants have shared their interpretations of the equations, identifying which are linear and which are non-linear. There is acknowledgment of the challenges faced with certain equations, particularly regarding the definite integral and the implications of products of functions.

Contextual Notes

Participants express concerns about their calculus skills and the need for a deeper understanding of the concepts involved in linearity and integration. There is a mention of homework constraints that guide the discussion.

Luna Lunaticus
1. Problem
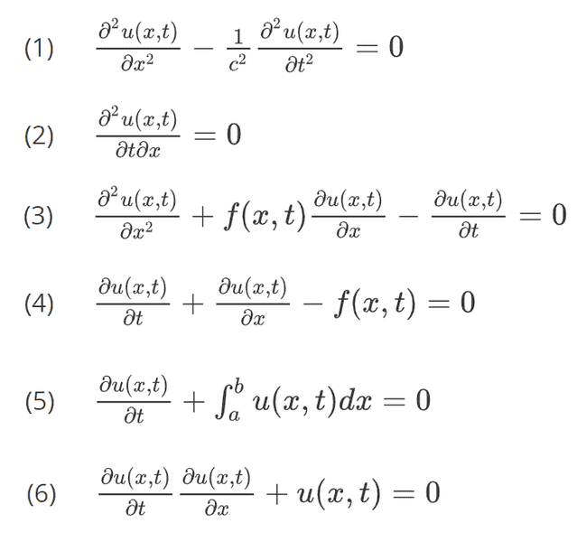
Recall that we defined linear equations as those whose solutions can be superposed to find more solutions. Which of the following differential/integral equations are linear equations for the function u(x,t)? Below, a and b are constants, c is the speed of light, and f(x,t) is an arbitrary function of x and t.

I5Fxj3n.png


Homework Equations


Do not try to solve this excercise using knowledge of "differential equations etc etc etc". APPLY "linearity properties".

You check it by the same way for all the equations: substitute in u(x,t) with G(x,t)+H(x,t) and see if the end result is L(G+H)=L(G) + L(H). Then check by substituting in a*u(x,t) where “a” is a constant to see if you get L(a*u)=a*L(u).If you have L(G+H)=L(G)+L(H) and L(a*u)=a*L(u), then it must be linear.

The Attempt at a Solution


I'm very slow at calculus, so I was asking for some help to solve this while learning a bit of MathLab.
 
Physics news on Phys.org
So, I got that 1,2,3 and even 6 are linear. 4 is non-linear because of -f(x,t) which repits itself and prevents it from be L(G+H)=L(G)+L(H). Am I right?

My last problem is with the definite integral in (5). I start to think I should paid more attention to calculus class.
 
Luna Lunaticus said:
My last problem is with the definite integral in (5). I start to think I should paid more attention to calculus class.

Does (when all the integrals exist)

$$\int \left[ f \left(x\right) + g \left(x\right) \right] dx = \int f \left(x\right) dx + \int g \left(x\right) dx ?$$
 
That actually helped me a lot! Thanks. But I had to watch out with (6) though... the product of two factors of u(x,t) in the first term is explicitly nonlinear, I did not realize before.

So, the answer is: 1, 2, 3 and 5 are linear, while 4 and 6 are non-linear.

Thanks for the help!
 

Similar threads

Replies
7
Views
3K
Replies
2
Views
2K
Replies
2
Views
2K
  • · Replies 6 ·
Replies
6
Views
3K
Replies
7
Views
2K
Replies
7
Views
3K
Replies
6
Views
4K
Replies
2
Views
2K
  • · Replies 2 ·
Replies
2
Views
2K
  • · Replies 12 ·
Replies
12
Views
3K