Linearization of Lagrange equations

  • Context: Undergrad 
  • Thread starter Thread starter stefano77
  • Start date Start date
  • Tags Tags
    Lagrange Linearization
Click For Summary

Discussion Overview

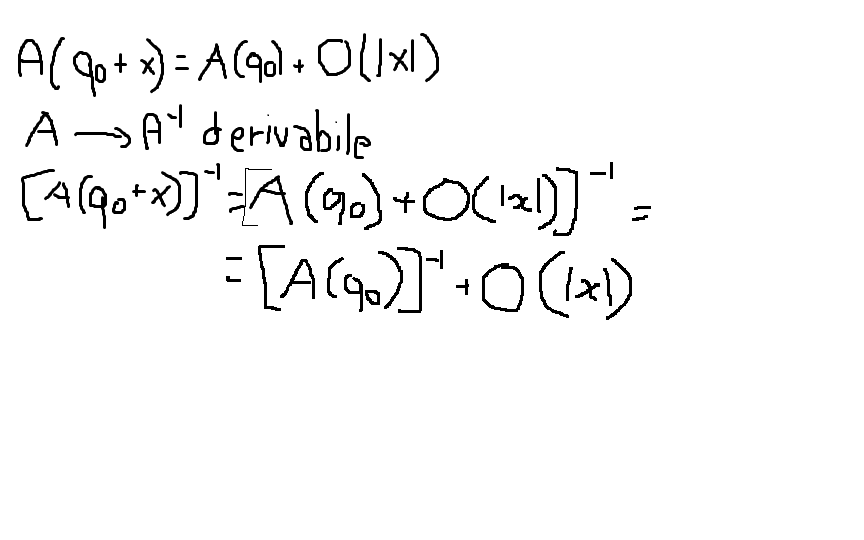
The discussion focuses on the linearization of Lagrange equations within the context of Lagrangian mechanics. Participants explore the expansion of the A matrix, the derivability of the function f, and the expansion of the inverse matrix A, particularly around a central point q0 with small displacements.

Discussion Character

  • Technical explanation
  • Mathematical reasoning
  • Debate/contested

Main Points Raised

  • One participant expresses confusion about expanding the A matrix and the derivability of the function f, mentioning that they are using q0 as a center and x as a small displacement.
  • Another participant questions whether G is linear in ##\dot{q}_i## or if it takes the form $$G=\sum A_{ij}(q)\dot{q}_i\dot{q}_j$$.
  • A participant inquires about the properties of the A matrix, specifically asking if it is symmetric.
  • One participant provides the expression for Lagrangian L as $$L = T - V$$ and specifies that T is represented as $$T = \sum a_{ij}(q) q'_i q'_j$$, while also expressing interest in how to expand ##[A(q)]^{-1}## around q0.
  • Another participant asserts that A is symmetric and identifies it as the kinetic energy matrix, also suggesting that it is diagonalizable and providing a relation for its inverse.

Areas of Agreement / Disagreement

Participants appear to agree on the symmetry of the A matrix and its role as the kinetic energy matrix. However, there are unresolved questions regarding the specific forms of G and the methods for expanding the A matrix and its inverse.

Contextual Notes

The discussion includes assumptions about the properties of the A matrix, such as symmetry and diagonalizability, but these assumptions are not universally accepted or confirmed. The mathematical steps for expanding the inverse matrix remain unresolved.

stefano77
Messages
20
Reaction score
8
TL;DR
linearization lagrange equation
l am italian student from Milan university, so sorry for my bad english.
l am studying lagrange meccanics. We are linearizating lagrange equations. Here l don't understand how you can expand A matrix, how the function f is derivable, how the inverse matrix A is expanded? l am expanding with q0 center, x is the small displacement . G is a quadratic form.
O(|x|) is order of magnitude

1604917727355.png
 

Attachments

  • 1604917007307.png
    1604917007307.png
    6.6 KB · Views: 221
  • Like
Likes   Reactions: Delta2
Physics news on Phys.org
Do you mean, $$G(q,\dot q)=\sum_{ij}A_{ij}~q_i\dot q_j,$$ is linear in ##\dot{q}_i##? Or,
$$G=\sum A_{ij}(q)\dot{q}_i\dot{q}_j$$
 
  • Like
Likes   Reactions: PhDeezNutz
Can we assume anything about ##A##? Is it symmetric?
 
L = T - V ## T = \sum a_{ij}(q) q'_i q'_j## $$ A= [a_{ij}] $$

## G_h(q,q')= \sum_{jl} \frac {\partial\a_{hj}} {\partial q_l} q'_l q'_j + \sum_{ij} \frac {\partial\a_{ij}} {2 \partial q_h} q'_l q'_j##
but l am interestin how to expand ## [A(q)]^{-1}## with ##q_0## as center
 
  • Like
Likes   Reactions: PhDeezNutz
A is symmetri...
it is kinetic energy matrix
L is a natural lagrangian
 
  • Like
Likes   Reactions: PhDeezNutz
stefano77 said:
A is symmetri...
it is kinetic energy matrix
L is a natural lagrangian

I think it's also diagonalizable. In which case

##A^{-1}_{ii} = \frac{1}{A_{ii}}##
 

Similar threads

  • · Replies 3 ·
Replies
3
Views
3K
  • · Replies 3 ·
Replies
3
Views
2K
  • · Replies 11 ·
Replies
11
Views
1K
  • · Replies 1 ·
Replies
1
Views
2K
  • · Replies 6 ·
Replies
6
Views
2K
  • · Replies 4 ·
Replies
4
Views
2K
  • · Replies 8 ·
Replies
8
Views
2K
  • · Replies 0 ·
Replies
0
Views
4K
  • · Replies 7 ·
Replies
7
Views
5K