Loglog Graph: Relation between N and E

  • Context: MHB 
  • Thread starter Thread starter evinda
  • Start date Start date
  • Tags Tags
    Graph Relation
Click For Summary

Discussion Overview

The discussion centers around the interpretation of a log-log graph representing the relationship between two variables, $N$ and $E$. Participants explore how to derive parameters from the graph and address potential discrepancies in calculations related to these parameters.

Discussion Character

  • Technical explanation
  • Mathematical reasoning
  • Debate/contested

Main Points Raised

  • Some participants explain that straight lines on a log-log plot indicate power relationships of the form $y=a x^b$ and discuss how to determine the coefficients $a$ and $b$.
  • There is a proposal that the log-log graph of $E$ with respect to $N$ can be expressed as $\log E = a \log N + c$, leading to the transformation $E = 10^c N^a$.
  • One participant presents equations derived from specific data points to solve for $a$ and $c$, obtaining $a = -2$ and $c = \log(656) - 2$.
  • Another participant questions the correctness of their calculations after comparing results with Wolfram|Alpha, which suggests a discrepancy in the values.
  • Concerns are raised about the significance of the difference in results, particularly regarding the approximation provided by Wolfram|Alpha.

Areas of Agreement / Disagreement

Participants express uncertainty regarding the accuracy of their calculations and the interpretation of results. There is no consensus on the correctness of the derived values for $a$ and $c$, as discrepancies remain unresolved.

Contextual Notes

Participants note the importance of the data's accuracy in determining the parameters and discuss the implications of significant figures on the results.

evinda
Gold Member
MHB
Messages
3,741
Reaction score
0
Hello! (Wave)

What does a loglog-graph represent?

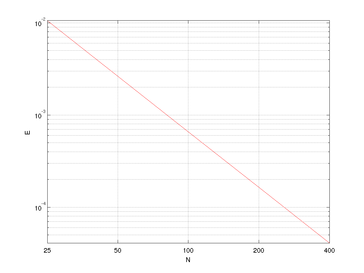
For example if we have the following loglog-graph, which is the relation between $N$ and $E$ ?

View attachment 4871
 

Attachments

  • DK6D6.png
    DK6D6.png
    4.5 KB · Views: 108
Physics news on Phys.org
Straight lines on a log-log plot correspond to power relationships of the form $y=a x^b$. The log-log plot can help you determine $a$ and $b$. See the link for info on how to do that.
 
Ackbach said:
Straight lines on a log-log plot correspond to power relationships of the form $y=a x^b$. The log-log plot can help you determine $a$ and $b$. See the link for info on how to do that.

So the loglog-graph of $E$ in respect to $N$ represents the graph of $\log (E)$ in respect to $\log (N)$, right?

Since the graphical representation of the function $\log{E (\log N)}$ is a straight line we conclude that the function is linear, so $\log E= a \log N+c \Rightarrow E=10^c N^a$.

Is it right so far?

The following table shows N and E(N).
View attachment 4872How can we use it to find $c$ and $a$ ? (Thinking)
 

Attachments

  • gri.JPG
    gri.JPG
    3.6 KB · Views: 102
evinda said:
So the loglog-graph of $E$ in respect to $N$ represents the graph of $\log (E)$ in respect to $\log (N)$, right?

Since the graphical representation of the function $\log{E (\log N)}$ is a straight line we conclude that the function is linear, so $\log E= a \log N+c \Rightarrow E=10^c N^a$.

Is it right so far?

Yep!

The following table shows N and E(N). How can we use it to find $c$ and $a$ ? (Thinking)

That depends on whether the data you have is exactly on the graph, or only approximately on the graph. If exact, then just pick two points, get yourself a system of two equations in two unknowns, and solve. If inexact, then first you should fit a straight line to the data (typically least-squares fit), then just transform that line the way you just have, and you're done.
 
Ackbach said:
That depends on whether the data you have is exactly on the graph, or only approximately on the graph. If exact, then just pick two points, get yourself a system of two equations in two unknowns, and solve.

I took the last two data for $N$ and $E(N)$ and so I got the equations:

$$\log ( 164 \cdot 10^{-6})=a \log{(2 \cdot 10^2)}+c \\ \log{(41 \cdot 10^{-6})}= a \log{(4 \cdot 10^2)}+c$$

from which I got $a=-2, c=\log (656)-2$.

But according to log'('0.000164')''='a'*'log'('200')''+'c, log'('0.000041')''='a'*'log'('400')''+'c - Wolfram|Alpha the result is wrong.

So do you think that I might have a mistake at my calculations? Because I can't find one.. (Sweating)
 
evinda said:
I took the last two data for $N$ and $E(N)$ and so I got the equations:

$$\log ( 164 \cdot 10^{-6})=a \log{(2 \cdot 10^2)}+c \\ \log{(41 \cdot 10^{-6})}= a \log{(4 \cdot 10^2)}+c$$

from which I got $a=-2, c=\log (656)-2$.

But according to log'('0.000164')''='a'*'log'('200')''+'c, log'('0.000041')''='a'*'log'('400')''+'c - Wolfram|Alpha the result is wrong.

So do you think that I might have a mistake at my calculations? Because I can't find one.. (Sweating)

I'm confused. $\log(656)-2\approx 0.8169$, which is what W|A got.
 
Ackbach said:
I'm confused. $\log(656)-2\approx 0.8169$, which is what W|A got.

So is my result right although at [m] Wolfram [/m] it is $a \approx -2 $ while I got $a=-2$ ? (Thinking)
 
If W|A says it's approximately 2, I wouldn't worry about it. At that point, you probably don't have that many significant figures anyway, so worrying about that level of accuracy is counter-productive.
 

Similar threads

  • · Replies 3 ·
Replies
3
Views
4K
Replies
7
Views
2K
  • · Replies 2 ·
Replies
2
Views
992
  • · Replies 9 ·
Replies
9
Views
1K
  • Poll Poll
  • · Replies 11 ·
Replies
11
Views
3K
  • · Replies 1 ·
Replies
1
Views
531
  • · Replies 2 ·
Replies
2
Views
2K
  • · Replies 2 ·
Replies
2
Views
1K
  • · Replies 7 ·
Replies
7
Views
2K
  • · Replies 10 ·
Replies
10
Views
3K