Lorentz Equations - Chaos and Stability

Click For Summary
SUMMARY

The discussion focuses on the Lorenz equations, specifically analyzing the behavior of a particle governed by these equations with parameters r = 28, σ = 10, and b = 8/3. Key findings include the identification of indicators for increasing and decreasing z values, the derivation of the symmetric Jacobian matrix ##\frac{J + J^T}{2}##, and the calculation of its eigenvalues. The discussion concludes that the length of the element ##|\delta x|## either grows or decays exponentially, with volume decreasing exponentially as described by the equation ##\delta V = \delta V_0 e^{−(σ+1+b)t}##.

PREREQUISITES
  • Understanding of Lorenz equations and their parameters (r, σ, b)
  • Familiarity with eigenvalues and eigenvectors of matrices
  • Knowledge of Jacobian matrices and their properties
  • Basic concepts of dynamical systems and stability analysis
NEXT STEPS
  • Study the derivation and implications of the Lorenz equations in chaotic systems
  • Learn about the properties of symmetric matrices and their eigenfunctions
  • Explore stability analysis techniques in dynamical systems
  • Investigate the physical interpretations of chaos in the context of the Lorenz attractor
USEFUL FOR

Mathematicians, physicists, and engineers interested in chaos theory, dynamical systems, and stability analysis, particularly those working with the Lorenz equations.

unscientific
Messages
1,728
Reaction score
13

Homework Statement


The figure below shows the path of a particle governed by the Lorenz equations with r = 28, σ = 10, b = 8/3. The x'es and boxes show points where the path crosses the plane z = r − 2σ > 0.

35j094j.png


(a) Which indicator shows a decreasing z and which shows an increasing z?

(b) Show the length of element ## | \delta x | ## between the two paths either grows or decays exponentially if aligned with one of the eigenfunctions of jacobian ##\frac{J + J^T}{2}##.

(c) Find ##\frac{J + J^T}{2}## and its eigenvalues at (0, 0, r-2σ). Hence deduce that of ##\delta x ## grows is in the x-y plane while it decays is along the direction of z-axis.

(d) Show the volume decreases exponentially with ##\delta V = \delta V_0 e^{−(σ+1+b)t}##
Since ##\frac{(J + J^T)}{2}## is symmetric, its eigenfunctions are orthogonal. Show that for a cubic element where the three displacement directions are along the eigenfunctions in section (c) decays at the same rate.

Homework Equations


Lorentz equations are given by:

[tex]\dot x = \sigma(y-x)[/tex]
[tex]\dot y = rx - y - xz[/tex]
[tex]\dot z = xy - bz[/tex]

The Attempt at a Solution



Part (a)
[/B]
For ## \dot z < 0##, ##xy < bz \approx 21##.

So the boxes represent decreasing z, the x'es represent increasing z.

Part (b)
2vx4sqc.jpg



How do I show it either grows or decays exponentially? Do I put in z = r − 2σ and find the eigenvalues? Wouldn't it be part (c)? I think this part is simpler than it seems.

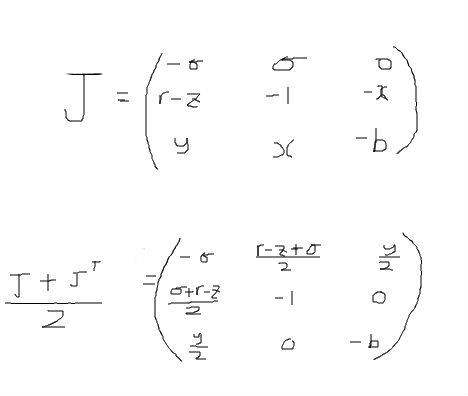
Part (c)

The matrix ##\frac{J + J^T}{2}## becomes:

25ztohs.jpg


I found the eigenvalues to be:

[tex]\lambda_{1,2} = -\frac{ -(\sigma + 1) \pm \sqrt{ (\sigma+1)^2 - 4(\sigma - \frac{9}{4} \sigma^2) } }{2}[/tex]
[tex]\lambda_3 = -b[/tex]

Part (d)

[tex]\nabla \cdot \vec u = -(\sigma + 1 + b)[/tex]

Then the result follows.
This is all that I have managed to do so far, would appreciate any input, thank you!
 
Physics news on Phys.org
Part (b)

To show that the length of element ##|\delta x|## either grows or decays exponentially, we can use the fact that the eigenvalues of ##\frac{J + J^T}{2}## determine the behavior of the system. We can also use the fact that the eigenfunctions of a symmetric matrix are orthogonal.

Let's consider the eigenfunctions of ##\frac{J + J^T}{2}## at the point (0,0,r-2σ). We found the eigenvalues in part (c) to be ##\lambda_1 = -\frac{-(\sigma+1)+\sqrt{(\sigma+1)^2-4(\sigma-\frac{9}{4}\sigma^2)}}{2}, \lambda_2 = -\frac{-(\sigma+1)-\sqrt{(\sigma+1)^2-4(\sigma-\frac{9}{4}\sigma^2)}}{2}, \lambda_3 = -b##.

The corresponding eigenvectors are:

##v_1 = \begin{pmatrix} 1 \\ -\frac{1}{2}(\sigma+1)+\frac{1}{2}\sqrt{(\sigma+1)^2-4(\sigma-\frac{9}{4}\sigma^2)} \\ 0 \end{pmatrix}, v_2 = \begin{pmatrix} 1 \\ -\frac{1}{2}(\sigma+1)-\frac{1}{2}\sqrt{(\sigma+1)^2-4(\sigma-\frac{9}{4}\sigma^2)} \\ 0 \end{pmatrix}, v_3 = \begin{pmatrix} 0 \\ 0 \\ 1 \end{pmatrix}##

Now, let's consider a small element ##\delta x = \begin{pmatrix} \delta x_1 \\ \delta x_2 \\ \delta x_3 \end{pmatrix}## aligned with one of the eigenfunctions, say ##v_1##. Using the Lorentz equations, we can write the change in this element as:

$$\delta \dot x = \begin{pmatrix} \dot x_1 \\ \dot x_2 \\ \dot x_3 \end{pmatrix} = \begin{pmatrix} \sigma(\delta x_2-\
 

Similar threads

  • · Replies 6 ·
Replies
6
Views
3K
Replies
19
Views
3K
  • · Replies 8 ·
Replies
8
Views
3K
Replies
5
Views
4K
  • · Replies 5 ·
Replies
5
Views
2K
  • · Replies 2 ·
Replies
2
Views
3K
  • · Replies 3 ·
Replies
3
Views
2K
  • · Replies 11 ·
Replies
11
Views
5K
  • · Replies 4 ·
Replies
4
Views
3K
Replies
1
Views
2K