Magnetic field of a dipole (Griffiths 5.33)

Click For Summary

Homework Help Overview

The discussion revolves around Problem 5.33 from Griffiths, focusing on the magnetic field of a dipole and its representation in coordinate-free form. Participants are exploring the relationships between vector components in different coordinate systems, particularly in polar coordinates.

Discussion Character

  • Conceptual clarification, Mathematical reasoning, Assumption checking

Approaches and Questions Raised

  • Participants are attempting to understand the relationship between the magnetic dipole moment and its representation in different coordinate systems. Questions arise regarding the interpretation of dot products and the equivalence of terms in polar coordinates.

Discussion Status

The discussion is ongoing, with participants providing insights into vector representation and dot products. Some guidance has been offered regarding the use of polar coordinates and the relationship between vector components, but no consensus has been reached on the specific calculations or interpretations.

Contextual Notes

There are indications of confusion regarding the choice of coordinate systems and the notation used for vectors and their components. Participants are also addressing potential ambiguities in the representation of vectors in both Cartesian and polar coordinates.

Vapor88
Messages
24
Reaction score
0

Homework Statement


Example: Problem 5.33
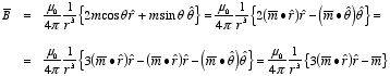
Show that the magnetic field of a dipole can be written in the following coordinate free form:

LectureNotesChapter5134.jpg


LectureNotesChapter5135.jpg



Homework Equations



[URL]http://teacher.pas.rochester.edu/PHY217/LectureNotes/Chapter5/LectureNotesChapter5138.jpg[/URL]

[URL]http://teacher.pas.rochester.edu/PHY217/LectureNotes/Chapter5/LectureNotesChapter5140.jpg[/URL]

The Attempt at a Solution



[URL]http://teacher.pas.rochester.edu/PHY217/LectureNotes/Chapter5/LectureNotesChapter5141.jpg[/URL]

Okay, I'm stumped on the last step. I can see on the one before it that (m.r) is added and subtracted to keep it even, but how do the two negative terms (r-hat and theta-hat) equate to -m? If I use the trig terms, pull out the m, use a random angle and add them together, I don't get -1.
 
Last edited by a moderator:
Physics news on Phys.org
Your axis is not a good choice. Your x-axis is labelled "r", yet you have a vector named "r" as well. It can get very confusing.

Well when you describe a vector in 2D cartesian coords, you list it as:
[tex]\vec{m} = m_x\hat{x}+m_y\hat{y}[/tex]

Although it can be a bit more confusing, you can do the same in 2d polar coords for any general vector:
[tex]\vec{m} = m_r\hat{r}+m_{\theta}\hat{\theta}[/tex]

So you just need to understand how the dot products are related to the coefficients.

Note: If you are afraid of this, then you can always be on the safe side and convert your polar unit vectors to cartesian unit vectors and get the same answer.
 
Untitled-1.png


Okay, so if I set it up like this, everything is the same except the coordinate system. So I get

[tex]-(m \bullet \widehat{r}) \widehat{r} = -m cos ( \theta ) \widehat{r}[/tex]

[tex]-(m \bullet \widehat{\theta}) \widehat{\theta} = m sin ( \theta ) \widehat{\theta}[/tex]

...I don't know why the \bullet or hats aren't showing up, but the left side of those equations are supposed to be dot products with the hat vectors.

LectureNotesChapter5141.jpg


I'm just not seeing how when you add those two things together, you get m.
 
Last edited:
You could use the latex command "\cdot" for dot products.

Also, when you take the dot product of a vector with a unit vector, then you are actually getting the component length of that vector in that direction. For example, the component of the m-vector in the x-direction is:

[tex]\vec{m}\cdot\hat{x} = m_x[/tex]

In your case you would have polar coordinates instead.

EDIT: The proof is for cartesian (the same for polar as well)...

[tex]\vec{m} = m_x \hat{x} + m_y \hat{y}[/tex]
by definition...

so taking the dot product with x-hat, we get:

[tex]\vec{m}\cdot\hat{x} = m_x (\hat{x}\cdot\hat{x}) + m_y (\hat{y}\cdot\hat{x})[/tex]
[tex]\vec{m}\cdot\hat{x} = m_x[/tex]
 
Wait, I'm still not seeing this.

Wouldn't that leave

[tex]-(m \cdot \widehat{r}) \widehat{r} = -m_{r} \widehat{r}[/tex]

and

[tex]-(m \cdot \widehat{\theta}) \widehat{\theta} = -m_{\theta} \widehat{\theta}[/tex]
 
Yes, and when you add those two values you get a vector in polar coordinates.
 

Similar threads

  • · Replies 1 ·
Replies
1
Views
2K
  • · Replies 1 ·
Replies
1
Views
3K
  • · Replies 5 ·
Replies
5
Views
4K
  • · Replies 4 ·
Replies
4
Views
3K
  • · Replies 1 ·
Replies
1
Views
3K
  • · Replies 3 ·
Replies
3
Views
5K
  • · Replies 1 ·
Replies
1
Views
4K
Replies
1
Views
2K
  • · Replies 1 ·
Replies
1
Views
3K
Replies
7
Views
2K