Magnitude and Direction of induced voltage

Click For Summary

Homework Help Overview

The discussion revolves around an electromagnetism problem related to the magnitude and direction of induced voltage, specifically involving concepts such as Faraday's Law and Lenz's Law.

Discussion Character

  • Exploratory, Conceptual clarification, Assumption checking

Approaches and Questions Raised

  • Participants explore the calculation of induced voltage through derivatives and question the need for constants. There is discussion about the application of the right hand rule for determining current direction and the relevance of magnetic flux in the problem. Some participants express confusion regarding the area involved in the flux calculation and the implications of varying flux density.

Discussion Status

Participants are actively engaging with the problem, raising questions about the setup and exploring different interpretations of the laws involved. Some guidance has been offered regarding the application of Faraday's Law and the relationship between magnetic flux and induced voltage, but no consensus has been reached on the specifics of the calculations or assumptions.

Contextual Notes

There are indications of missing information regarding the measurement of voltage and the shape of the area in question. Participants are also considering the implications of different flux densities across the area involved.

rzn972
Messages
34
Reaction score
0

Homework Statement


Hey everyone I have a physics e&m question: [/B]
http://blob:https%3A//www.physicsforums.com/aa779f37-be23-43d7-a888-d70263a3854b
upload_2016-5-3_1-7-6.png


Homework Equations

The Attempt at a Solution



upload_2016-5-3_1-7-31.png

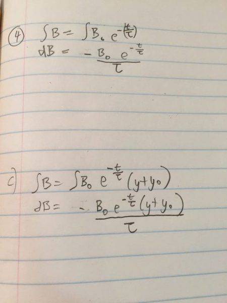
I took the derivative to find the magnitude of the induced voltage. (do I need to add a constant c?)
I am having trouble with the direction of the current flow though... Do I use the right hand rule?

Thanks![/B]
 

Attachments

  • upload_2016-5-3_1-7-3.png
    upload_2016-5-3_1-7-3.png
    53.4 KB · Views: 820
  • 13149919_10208146647058279_1036032380_n.jpg
    13149919_10208146647058279_1036032380_n.jpg
    22.3 KB · Views: 501
Physics news on Phys.org
rzn972 said:
I took the derivative to find the magnitude of the induced voltage. (do I need to add a constant c?)
I am having trouble with the direction of the current flow though... Do I use the right hand rule?
The constant "c" is usually either the speed of light in a vacuum or the constant of integration ... do either of these situation apply here?
The current flow is determined by the right hand rule in conjunction with a law of physics that applies to induced currents.
I'm puzzled you started at (c) ... did you do (a) and (b)?
 
4 a) Does the question ask for the magnetic (flux) ?

Oh, it should read the magnitude, not magnetic!

Shouldn't you use Faraday's law?
 
There might be a small gap in the lower right-hand part of the loop
 
  • Like
Likes   Reactions: Simon Bridge
Well spotted - there may well be.
 
Sorry! Yeah I meant magnitude.
 
Last edited:
Okay so the derivative of magnetic flux is the induced voltage. I am having trouble calculating flux. Flux = BA cos (theta). How do I get the area...?
 
What shape is the area in question?
 
  • #10
Ahh I forgot that they gave us the length of the square. I think I was able to get it.
13149837_10208152309959848_930633277_n_zpsdro9gsiq.jpg

Does this look right?
 
  • #11
in (c) and (d) the flux density is different in different parts of the square, how did you account for this?
(hint: the variable y should not be in your answer)
in (b) the question asks for the direction of the current
 
  • #12
For b) I say it is counterclockwise. My reasoning is that the field is decreasing as time passes (e^(-t)). The field will want to come out and the way to do that is for the induced current to flow counterclockwise.

I am not clear on c). Doesn't the y variable account for the different flux values for different y values?
 

Similar threads

  • · Replies 8 ·
Replies
8
Views
4K
Replies
4
Views
2K
  • · Replies 1 ·
Replies
1
Views
6K
  • · Replies 10 ·
Replies
10
Views
2K
  • · Replies 10 ·
Replies
10
Views
3K
  • · Replies 12 ·
Replies
12
Views
3K
  • · Replies 2 ·
Replies
2
Views
1K
  • · Replies 9 ·
Replies
9
Views
11K
Replies
8
Views
15K
Replies
5
Views
2K