Matching Equations to Spheres: Solving the Mystery

  • Thread starter Thread starter Turbodog66
  • Start date Start date
  • Tags Tags
    Graph Sphere
Click For Summary

Homework Help Overview

The discussion revolves around matching four equations of spheres to their corresponding graphical representations. Participants are attempting to identify which equation corresponds to which sphere based on their centers and radii, but they are facing challenges due to unclear images and potential errors in their calculations.

Discussion Character

  • Mixed

Approaches and Questions Raised

  • Participants are analyzing the equations to determine their centers and radii, with some expressing uncertainty about their calculations. Questions arise regarding the clarity of the images and whether the original problem was stated correctly. There are discussions about potential sign errors and the implications for the radius of the spheres.

Discussion Status

Some participants have provided guidance on checking calculations and interpreting the images, while others are still exploring different interpretations of the equations and their corresponding spheres. There is a recognition of the difficulty in visually matching the spheres to the equations, and some participants have reached out for additional help.

Contextual Notes

Participants note that the problem may involve typos or inaccuracies in the original equations, which could affect the matching process. The clarity of the images is also a significant constraint in determining the correct associations.

Turbodog66
Messages
13
Reaction score
0
Member warned about posting without the HW template
I have been given a problem with 4 equations, that need to be matched up to the corresponding image. I have worked the equations already and determined their center, but for the life of me I cannot seem to figure out which graph goes with which equation. The images are not that easy to read which is most of my issue. Here is an example:

x2−4x+y2−4y+z2−2z = -35/4 (original equation)

(x-2)^2 + (y-2)^2 + (z-1)^2 -9 = -35/4

(x-2)^2 + (y-2)^2 + (z-1)^2 = -35/4 + 9 >> √1/4 >> 1/2
C = (2,2,1) r = 1/2


This would give me a center of (2,2,1). However, none of the spheres I am provided appear to match this. Am I blind or does my math appear to be off?
spheres.PNG
 
Last edited:
Physics news on Phys.org
(D) could fit. There are sign errors in your absolute values (doesn't influence the center, but influences the radius) - with your current number you would not get a sphere because the equation has no solution.
 
mfb said:
(D) could fit. There are sign errors in your absolute values (doesn't influence the center, but influences the radius) - with your current number you would not get a sphere because the equation has no solution.
I see that, I have it written down correctly on my notebook, resulting in a r of 1/2. I appreciate your response, at this point I am more concerned with getting the correct values than matching to the correct graph. There are 4 total equations, and if even one of the choices are wrong it marks the entire problem wrong. Prevents guessing I suppose, but not very helpful otherwise.
 
Turbodog66 said:
I have been given a problem with 4 equations, that need to be matched up to the corresponding image. I have worked the equations already and determined their center, but for the life of me I cannot seem to figure out which graph goes with which equation. The images are not that easy to read which is most of my issue. Here is an example:

x2−4x+y2−4y+z2−2z = -35/4 (original equation)

(x-2)^2 +4 (y-2)^2 +4 (z-1)^2 +1 = -35/4

(x-2)^2 + (y-2)^2 + (z-1)^2 + 9 = -35/4


This would give me a center of (2,2,1). However, none of the spheres I am provided appear to match this. Am I blind or does my math appear to be off?View attachment 104840

##x^2 - 4x = x^2 - 4x + 4 - 4 = (x-2)^2 -4##, etc. So, you should have ##-9## as the constant on the left of your final equation, not the ##+9## that you wrote. I cannot see what work you did to get your solution, so I don't know what steps you took.
 
Ray Vickson said:
##x^2 - 4x = x^2 - 4x + 4 - 4 = (x-2)^2 -4##, etc. So, you should have ##-9## as the constant on the left of your final equation, not the ##+9## that you wrote. I cannot see what work you did to get your solution, so I don't know what steps you took.
My apologies for the typo, I corrected it in the original post. Ultimately, I have what I believe is the correct values, but I am not seeing a sphere whose center is (2,2,1) with a radius of 1/2. The attachment is the image with the spheres, I'm not sure if it shows up embedded in the first post or not.
 
Turbodog66 said:
My apologies for the typo, I corrected it in the original post. Ultimately, I have what I believe is the correct values, but I am not seeing a sphere whose center is (2,2,1) with a radius of 1/2. The attachment is the image with the spheres, I'm not sure if it shows up embedded in the first post or not.

I cannot see any sphere with center (2,2,1), or even close to it. Are you sure you copied down the original problem correctly?
 
Ray Vickson said:
I cannot see any sphere with center (2,2,1), or even close to it. Are you sure you copied down the original problem correctly?

This is the original problem, directly from my assignment. #1 is the one in question. I will say that I failed to use "^" on the 3 variables to plainly indicate that they are squared, but I treated them as such and completed the squares.
upload_2016-8-18_13-8-59.png

Just in case the attachment doesn't work, x^2 - 4x +y^2 - 4y +z^2 - 2z = -35/4
 
Turbodog66 said:
This is the original problem, directly from my assignment. #1 is the one in question. I will say that I failed to use "^" on the 3 variables to plainly indicate that they are squared, but I treated them as such and completed the squares.
View attachment 104848
Just in case the attachment doesn't work, x^2 - 4x +y^2 - 4y +z^2 - 2z = -35/4

One of these equations fits one of the diagrams perfectly (as far as my eyes can make out). I can't say more without giving a way the solution.
 
Ray Vickson said:
One of these equations fits one of the diagrams perfectly (as far as my eyes can make out). I can't say more without giving a way the solution.
I agree, I have worked out the other 3 equations and was able to match 2 of them with a diagram fairly easily. But I still have to figure out which one matches the 1st equation(all 4 equations are supposed to be represented in the diagram). Are you saying you do see one with (2,2,1)? If so that's good enough for me, and I will keep staring until I see it, haha. In any case I appreciate the help.
 
  • #10
I see a sphere where (2,2,1) as center would fit. You cannot extract the coordinates from the images reliably (2 vs. 3 dimensions), but you can go the opposite way: see where (2,2,1) is in each image, and see if that matches the center of the sphere in the plane.
 
  • #11
Turbodog66 said:
I agree, I have worked out the other 3 equations and was able to match 2 of them with a diagram fairly easily. But I still have to figure out which one matches the 1st equation(all 4 equations are supposed to be represented in the diagram). Are you saying you do see one with (2,2,1)? If so that's good enough for me, and I will keep staring until I see it, haha. In any case I appreciate the help.

As I said, I don't see any sphere with center near (2,2,1), but, apparently, others can.
 
  • #12
Ray Vickson said:
As I said, I don't see any sphere with center near (2,2,1), but, apparently, others can.
Neither can I see any sphere with center near (2,2,1) .
 
  • #13
Do we see the same image?

sphere.png
 
  • #14
mfb said:
Do we see the same image?

View attachment 104851

To me it looks like the center is at about (0,1.5,0). However, as you said before, some of the figures are not very clear.
 
  • #15
mfb said:
Do we see the same image?

View attachment 104851

One thing is certain, this problem is more of a test of your visual skills rather than testing your ability to solve an equation.. I have reached out to my TA to see if there is any help they can provide as well. I appreciate the help everyone
 
  • #16
Ray Vickson said:
To me it looks like the center is at about (0,1.5,0). However, as you said before, some of the figures are not very clear.
You cannot uniquely determine the center of a 3D point from a 2D drawing without any additional help. The sphere in D is at the place where a sphere around (2,2,1) has to appear, and no other sphere fits.
 
  • #17
mfb said:
You cannot uniquely determine the center of a 3D point from a 2D drawing without any additional help. The sphere in D is at the place where a sphere around (2,2,1) has to appear, and no other sphere fits.

Assuming, of course, that the person setting the problem has not given an erroneous statement.
 
  • #18
Why?
Sorry, I don't understand the problem. We are supposed to find the right sphere for this equation, there is exactly one sphere that fits. What needs further discussion?
 
  • #19
mfb said:
Why?
Sorry, I don't understand the problem. We are supposed to find the right sphere for this equation, there is exactly one sphere that fits. What needs further discussion?

Whether it is correct that every one of the equations will, in fact, fit one of the displayed spheres. In other words, is the wording of the problem accurate?

Sometimes problem statements given in this Forum have turned out to be wrong, more often than not because of typos, or whatever. Certainly, typos are not so rare as to be dismissable right away.
 
  • #20
Ray Vickson said:
Whether it is correct that every one of the equations will, in fact, fit one of the displayed spheres. In other words, is the wording of the problem accurate?
Just one of the four equations has been posted here, but this one fits to exactly one sphere.

Ray Vickson said:
Certainly, typos are not so rare as to be dismissable right away.
If the problem statement doesn't seem to be right: sure. But here there is no problem with the problem statement. If you have to pick the answer to "5+5" and the options are "9", "10" and "15", you wouldn't expect a problem with the problem statement, right?
 
  • #21
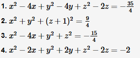
Here is the problem in its entirety. I didn't include everything initially because I did not have a problem with the other 3. My intention was to present it as if it was simply a problem with a single equation and provided with 6 possible solutions, knowing that one of them must be correct.
upload_2016-8-18_18-55-21.png
 
  • #22
Last edited:

Similar threads

Replies
1
Views
2K
Replies
2
Views
2K
Replies
3
Views
2K
  • · Replies 2 ·
Replies
2
Views
2K
Replies
7
Views
2K
  • · Replies 9 ·
Replies
9
Views
2K
Replies
1
Views
1K
  • · Replies 18 ·
Replies
18
Views
4K
  • · Replies 12 ·
Replies
12
Views
2K
  • · Replies 8 ·
Replies
8
Views
2K