link223
- 70
- 12
- Homework Statement
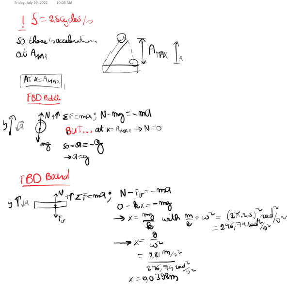
- A diving board oscillates with simple harmonic motion of frequency 2.5 cycles per second.
What is the maximum amplitude with which the end of the board can oscillate in order that a pebble placed there does not lose contact with the board during the oscillation?
- Relevant Equations
- SMH
How am I supposed to solve this problem?
I did it in a way that's analytically not correct at all lol..
As a first I was thinking about how to relate it to the motion equations to no avail.. (of course with having the condition that normal force board on pebble = force of gravity on pebble)
Then I turned to the fact that the normal force on the board needs to equal the 'spring' force of the board that creates that oscillating motion so...
FBD pebble > ##-mg + N_{board} = 0## > ##N_{board} = mg##
Now.. this is where my analysis is incorrect.
I basically assumed that ##N_{pebble on board} = F_s > mg = kx (1)## where Normal force on board is the same as pebble on board due to nt's 3rd law)
subsituting ##k = \frac {m}{\omega^2}## becomes:
## mg = mx \omega^2##
and then ##x = g \omega^2## with ##\omega = 2 \pi f = 5\pi \frac {rad}{s}##
thus solution: ##x = 0.0398m##
The problem here is that the normal force on the board = spring force has an acceleration , or is that not true.. Meaning.. how should I make an actual correct analysis, because at that point is where I kind of lose the understanding of why I can assume what I assumed I guess.
Edit: also, the acceleration shouldn't be 0 at A_max, so why can we say THA\T ##(1)## is true?
Last edited:
