Missing Power Solving the PDE (Solution included)

Click For Summary
SUMMARY

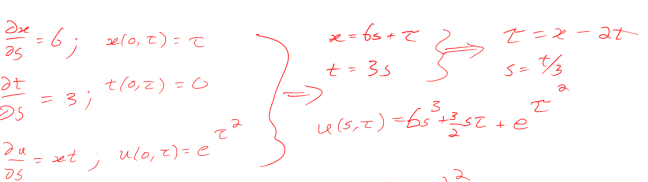
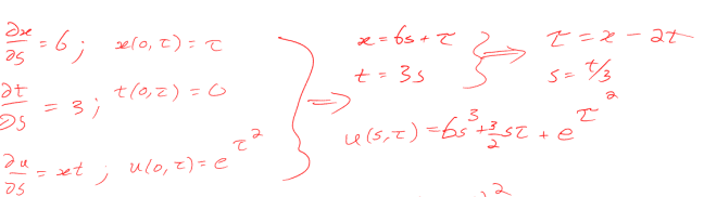
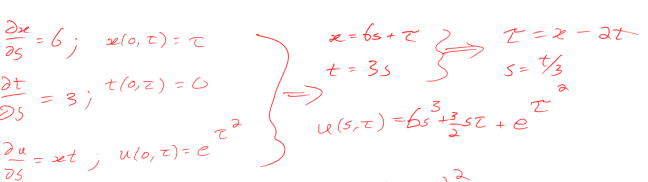
The discussion focuses on solving a partial differential equation (PDE) using the method of integration. The user attempts to integrate the expression xt = 18s² + 3sT, leading to the solution u(s,t) = 6s³ + (3/2)s²T + C, where C = eT². The user expresses confusion regarding the missing power of (3/2)sT in the final equation. The context suggests that the problem involves the Cauchy PDE with specified initial conditions.

PREREQUISITES
  • Understanding of partial differential equations (PDEs)
  • Familiarity with integration techniques in calculus
  • Knowledge of Cauchy problems in PDEs
  • Basic concepts of initial conditions in differential equations
NEXT STEPS
  • Review the method of solving Cauchy PDEs
  • Study integration techniques for polynomial expressions
  • Learn about initial value problems in the context of PDEs
  • Explore common pitfalls in integrating terms with multiple variables
USEFUL FOR

Students and educators in mathematics, particularly those studying differential equations, as well as researchers working on PDEs and their applications in various fields.

zr95
Messages
25
Reaction score
1

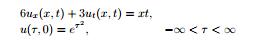
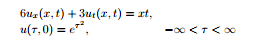
Homework Statement


upload_2016-5-1_18-56-40.png


Homework Equations

The Attempt at a Solution


integral[du]= Integral[xt ds]
xt=18s2+3sT
so,
u=Integral[18s2+3sT]
u=6s3+(3/2)s2T+C
C=eT2

This is what I did and the solution is below. I'm unsure where the missing power on the (3/2)sT went in the u(s,t) equation.[/B]
upload_2016-5-1_19-4-41.png
 
Physics news on Phys.org
zr95 said:

Homework Statement


View attachment 100094

Homework Equations



The Attempt at a Solution


integral[du]= Integral[xt ds]
xt=18s2+3sT
so,
u=Integral[18s2+3sT]
u=6s3+(3/2)s2T+C
C=eT2

This is what I did and the solution is below. I'm unsure where the missing power on the (3/2)sT went in the u(s,t) equation.
View attachment 100096
Let's make the initial image somewhat readable:
upload_2016-5-2_9-28-36.png


You reaaly need to give a complete statement of your problem in the body of your initial post. Here, are we to assume that you are asked to solve that PDE with the stated initial condition?
 
The goal is to solve the cauchy pde.
 

Similar threads

Replies
6
Views
3K
  • · Replies 4 ·
Replies
4
Views
2K
Replies
9
Views
3K
  • · Replies 3 ·
Replies
3
Views
3K
Replies
2
Views
2K
Replies
5
Views
2K
  • · Replies 14 ·
Replies
14
Views
3K
  • · Replies 7 ·
Replies
7
Views
3K
  • · Replies 5 ·
Replies
5
Views
3K
Replies
2
Views
2K