Moment of Inertia for Simple Polygon

Click For Summary
SUMMARY

The discussion centers on calculating the moment of inertia for a square polygon using a specific function. The user initially calculated a moment of inertia of 32, while the correct value, based on the formula J = a^4/6, where a is the length of the sides, is 42.666. The user referenced the formulas for Ixx and Iyy, which are (bh^3)/12, but these are not applicable for the polar moment of inertia in this context. The correct approach confirms that the polar moment of inertia for a square is indeed 42.666.

PREREQUISITES
  • Understanding of moment of inertia concepts
  • Familiarity with polygon geometry
  • Knowledge of mathematical formulas for Ixx and Iyy
  • Basic programming skills to implement functions
NEXT STEPS
  • Study the derivation of the polar moment of inertia formula J = a^4/6
  • Explore the differences between Ixx, Iyy, and polar moment of inertia
  • Implement and test moment of inertia calculations in Python or MATLAB
  • Research applications of moment of inertia in engineering and physics
USEFUL FOR

Students, engineers, and developers working with physics simulations, computational geometry, or any professionals needing to calculate moments of inertia for polygon shapes.

Jack2927
Messages
1
Reaction score
0
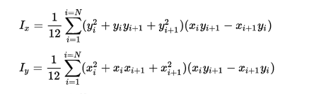
I am trying to determine if a function I have is working correctly. The function computes the moment of inertia for a polygon. To test the function I created a polygon that has 4 points and represents a square of 4 units by 4 units. The answer I am getting is 32. I believe the answer should be 42.6 based on J0= Ixx +Iyy, where Ixx = (bh^3)/12 and Iyy = (hb^3)/12.

The function I have is implementing the following.
upload_2016-7-8_18-15-57.png


Which is correct 32 or 42.6?
 
Engineering news on Phys.org
The correct polar moment of inertia for a square: J = a^4/6 where a= length of the sides
In your case: J = 4^4/6 = 42.666...
 

Similar threads

  • · Replies 5 ·
Replies
5
Views
5K
  • · Replies 4 ·
Replies
4
Views
3K
  • · Replies 3 ·
Replies
3
Views
3K
  • · Replies 15 ·
Replies
15
Views
2K
Replies
11
Views
4K
Replies
2
Views
2K
  • · Replies 4 ·
Replies
4
Views
6K
  • · Replies 6 ·
Replies
6
Views
6K
  • · Replies 2 ·
Replies
2
Views
15K
  • · Replies 2 ·
Replies
2
Views
3K