Momentum dealing with decay, special relativity

Click For Summary

Homework Help Overview

The discussion revolves around a particle decay problem in the context of special relativity, where a mother particle A decays into two daughter particles B and C. The participants are tasked with calculating the momenta of the daughter particles, given that the mother particle is initially at rest.

Discussion Character

  • Exploratory, Conceptual clarification, Mathematical reasoning

Approaches and Questions Raised

  • Participants discuss using conservation of momentum and energy to relate the momenta of the daughter particles. There is mention of using relativistic invariants and the four-momentum approach to simplify calculations. Some participants express uncertainty about whether their methods adequately account for special relativity.

Discussion Status

Participants have offered various approaches, including numerical examples to verify results and suggestions to avoid complex algebra by using relativistic relationships. There is an ongoing exploration of how to express the momenta without directly involving energy, and some participants are questioning their understanding of the relationships between the momenta and masses of the particles.

Contextual Notes

There is a noted concern about the complexity of calculations and whether certain assumptions or conventions are being correctly applied, particularly regarding the distinction between four-momentum and three-dimensional momentum. Participants are also considering the implications of mass differences between the daughter particles on their momenta.

Cocoleia
Messages
293
Reaction score
4

Homework Statement


A particle A (mother particle) with a mass of mA decays to two particles B and C (daughter
particles) with mass values of respectively mB and mC. Calculate momentum of the two
daughter particles, pB and pC. (at first the mother particle is at rest)

Homework Equations


upload_2018-5-25_10-43-53.png


The Attempt at a Solution


I would do conservation of momentum which would give me that pB=-pC since pA is 0 if it is at rest. then to do conservation of energy, before the decay E=mAc^2 and energy after the decary would be just replacing for the respective masses and momentums, and then solving for pB (or pC).

Using Symbolab:
upload_2018-5-25_10-46-3.png

Where x is the momentum pB and a=mass of a, b=mass of b, m=mass of c and then c is the speed of light constant

Is this okay ? I am a bit unsure if I am missing something because of special relativity.
 

Attachments

  • upload_2018-5-25_10-43-53.png
    upload_2018-5-25_10-43-53.png
    2.6 KB · Views: 475
  • upload_2018-5-25_10-46-3.png
    upload_2018-5-25_10-46-3.png
    1.5 KB · Views: 453
Physics news on Phys.org
You can check your result by making up a numerical example or two. For example, suppose m0A = 1000 MeV/c2, m0B = 700 MeV/c2 and m0C = 250 MeV/c2. Calculate the momentum of B and C after the decay using your result, then the energies of A, B, and C. Do the energies add up properly?

[added] Tip: if your energy unit is MeV, and your mass unit is MeV/c2, then the corresponding momentum unit is MeV/c.
 
Last edited:
In general, these sorts of problems are much easier to solve using relativistic invariants than with a straight-up, brute-force application of the quadratic formula. Let ##p_A##, ##p_B##, and ##p_C## denote the four-momenta of the three particles. Then ##p_A = p_B + p_C##. Rearranging this equation in two different ways gives: $$\begin{align*} p_B &= p_A - p_C \\ p_C &= p_A - p_B \end{align*}$$ Now, take the relativistic dot product of each of these equations with itself. This should give simple expressions for the energies ##E_B## and ##E_C##. From there it's pretty straightforward to get the momenta.

EDIT: Just an additional hint--once you have the energies, you *could* use the invariant of each particle (e.g., ##E_B^2 - c^2 p_B^2 = m_B^2 c^4##) to directly solve for the momenta. But this leads to some gross algebra which can be avoided by relativistically squaring the first equation we looked at---i.e., ##p_A = p_B + p_C##---and substituting in the values you just found for ##E_B## and ##E_C##, remembering that we must have ##\vec{p}_B = -\vec{p}_C## (where over-arrows indicate three-momenta, not four-momenta).

In general, if you're using the quadratic formula, it's probable that you're missing a simpler solution.
 
Last edited:
VKint said:
In general, these sorts of problems are much easier to solve using relativistic invariants than with a straight-up, brute-force application of the quadratic formula. Let ##p_A##, ##p_B##, and ##p_C## denote the four-momenta of the three particles. Then ##p_A = p_B + p_C##. Rearranging this equation in two different ways gives: $$\begin{align*} p_B &= p_A - p_C \\ p_C &= p_A - p_B \end{align*}$$ Now, take the relativistic dot product of each of these equations with itself. This should give simple expressions for the energies ##E_B## and ##E_C##. From there it's pretty straightforward to get the momenta.

EDIT: Just an additional hint--once you have the energies, you *could* use the invariant of each particle (e.g., ##E_B^2 - c^2 p_B^2 = m_B^2 c^4##) to directly solve for the momenta. But this leads to some gross algebra which can be avoided by relativistically squaring the first equation we looked at---i.e., ##p_A = p_B + p_C##---and substituting in the values you just found for ##E_B## and ##E_C##, remembering that we must have ##\vec{p}_B = -\vec{p}_C## (where over-arrows indicate three-momenta, not four-momenta).

In general, if you're using the quadratic formula, it's probable that you're missing a simpler solution.
Hi, thanks for the help. I'm just stuck at one point. I assume it very simple and I'm just not realizing it.

Here is what i have done so far:
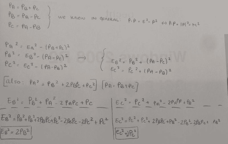
upload_2018-5-28_4-41-41.png


How do I somehow "finalize" the answer to get expressions for the momentum that don't involve the energy? I know I could use the definition but as you said it would involve some long algebra. I am confused with what you said about how to avoid the algebra.

If I do it, I get Pb=(sqrt2/2) mb, I am thinking this is wrong because the mass would be different for the two particles so there is no way that the momentum can be the same for the answer I found
 

Attachments

  • upload_2018-5-28_4-41-41.png
    upload_2018-5-28_4-41-41.png
    51.1 KB · Views: 432
Last edited:
You're making it too complicated. Here's an example of what the kind of calculation you want to do. Let ##p_\text{A}##, ##p_\text{B}##, and ##p_\text{C}## denote the four-momenta of the respective particles. Conservation of momentum and energy gives you ##p_\text{A} = p_\text{B} + p_\text{C}##. Now suppose you square this equation. You get
$$p_\text{A}^2 = (p_\text{B}+p_\text{C})^2 = p_\text{B}^2 + 2 p_\text{B}\cdot p_\text{C} + p_\text{C}^2.$$ But ##p_\text{A}^2 = m_\text{A}^2##, ##p_\text{B}^2 = m_\text{B}^2##, and ##p_\text{C}^2 = m_\text{C}^2##, so we get
$$m_\text{A}^2 = m_\text{B}^2 + 2p_\text{B}\cdot p_\text{C} + m_\text{C}^2.$$ The only thing left involving energies and momenta is the dot product.

To solve the problem, use VKint's suggestion about rearranging the conservation-of-four-momentum equation and take advantage of the fact that ##\vec{p}_\text{A}=0## because A is at rest.
 
vela said:
You're making it too complicated. Here's an example of what the kind of calculation you want to do. Let ##p_\text{A}##, ##p_\text{B}##, and ##p_\text{C}## denote the four-momenta of the respective particles. Conservation of momentum and energy gives you ##p_\text{A} = p_\text{B} + p_\text{C}##. Now suppose you square this equation. You get
$$p_\text{A}^2 = (p_\text{B}+p_\text{C})^2 = p_\text{B}^2 + 2 p_\text{B}\cdot p_\text{C} + p_\text{C}^2.$$ But ##p_\text{A}^2 = m_\text{A}^2##, ##p_\text{B}^2 = m_\text{B}^2##, and ##p_\text{C}^2 = m_\text{C}^2##, so we get
$$m_\text{A}^2 = m_\text{B}^2 + 2p_\text{B}\cdot p_\text{C} + m_\text{C}^2.$$ The only thing left involving energies and momenta is the dot product.

To solve the problem, use VKint's suggestion about rearranging the conservation-of-four-momentum equation and take advantage of the fact that ##\vec{p}_\text{A}=0## because A is at rest.
But if I know that Pb^2=mb^2 then why do I have to do any other calculations ? I am just looking for these momentum , how did you find this.
Pb does not equal the mass, because Pb=-Pc and later on I am given an application where both particle do not have the same mass
 
Last edited:
Reading through your work in post #4, I'd strongly suggest you use the following convention: Let ##p## (normal typeface, without arrow) denote a relativistic four-momentum, and let ##\vec{p}## denote its corresponding *three-dimensional* momentum. I think you're confusing these two objects in your calculation.

Using this notation, the standard relativistic invariant is: ##p \cdot p = E^2 - c^2 | \vec{p} |^2 = m^2 c^4##. This is the fact Vela was referring to--however, it's standard practice to omit factors of ##c## (i.e., choose units in which ##c = 1##) for convenience, hence Vela's statement that "##p^2 = m^2##". Whichever version you use, this is the critical relationship that will allow you to solve this problem, and I don't see it showing up in your work.

For example: relativistically "squaring" (i.e., taking the relativistic dot product of both sides with themselves) the equation ##p_A = p_B + p_C## gives: $$\begin{align*} p_A \cdot p_A &= p_B \cdot p_B + 2 p_B \cdot p_C + p_C \cdot p_C \\ m_A^2 c^4 &= m_B^2 c^4 + 2 (E_B E_C - c^2 \vec{p}_B \cdot \vec{p}_C) + m_C^2 c^4 \end{align*}$$ Now, we know that ##\vec{p}_B = -\vec{p}_C##, because ##\vec{p}_B + \vec{p}_C = \vec{p}_A## (conservation of momentum holds for three-momenta, too), and ##\vec{p}_A = 0##. This allows you to simplify the above equation a little bit--but there are still the energies ##E_B## and ##E_C## to deal with.

What I meant when I advised you to avoid "using the quadratic formula" was this: You could use the facts that ##E_B^2 - c^2 | \vec{p}_B |^2 = m_B^2 c^4## and ##E_C^2 - c^2 | \vec{p}_C |^2 = m_C^2 c^4## to solve for the energies in terms of the three-momenta, and substitute these into the above equation. This is, however, a *terrible* use of time and misses a much prettier, more efficient solution based on rearranging the original conservation-of-momentum relation.

Indeed, if we relativistically square ##p_B = p_A - p_C##, we get the following: $$\begin{align*} p_B \cdot p_B &= p_A \cdot p_A - 2 p_A \cdot p_C + p_C \cdot p_C \\ m_B^2 c^4 &= m_A^2 c^4 - 2(E_A E_C - c^2 \vec{p}_A \cdot \vec{p}_C) + m_C^2 c^4 \\ m_B^2 c^4 &= m_A^2 c^4 - 2E_A E_C + m_C^2 c^4 \end{align*}$$ (The last line follows because ##\vec{p}_A = 0##.) Furthermore, since A is at rest, ##E_A = m_A c^2##. Substituting this into the above will allow you to solve for ##E_C## in terms of the masses, and squaring the equation ##p_C = p_A - p_B## will similarly allow you to solve for ##E_B##. Once you have these, you can just substitute the energies back into the first equation to solve for the three-momentum ##\vec{p}_B = -\vec{p}_C##.
 

Similar threads

  • · Replies 1 ·
Replies
1
Views
3K
  • · Replies 1 ·
Replies
1
Views
2K
  • · Replies 22 ·
Replies
22
Views
4K
  • · Replies 2 ·
Replies
2
Views
1K
  • · Replies 3 ·
Replies
3
Views
2K
  • · Replies 2 ·
Replies
2
Views
1K
  • · Replies 10 ·
Replies
10
Views
3K
  • · Replies 33 ·
2
Replies
33
Views
6K
  • · Replies 4 ·
Replies
4
Views
2K
  • · Replies 1 ·
Replies
1
Views
2K