My conclusions regarding "the laws of nature"

Click For Summary

Discussion Overview

The discussion centers around the interpretation of the statement that "the laws of nature are the same in inertial frames," particularly in the context of Newton's laws and electromagnetism. Participants explore the implications of this statement within the frameworks of Newtonian mechanics and relativity, examining the validity and invariance of various laws of physics.

Discussion Character

  • Debate/contested
  • Technical explanation
  • Conceptual clarification

Main Points Raised

  • Some participants propose that the validity of Newton's second law implies the validity of the first law, but the reverse is not necessarily true.
  • Others argue that Newton's second law is not exactly correct in any inertial frame, challenging the premise that it can be used to derive conclusions about invariance.
  • A participant suggests that the laws of electromagnetism share a similar kind of invariance to Newton's laws, but this is contested based on the framework used (Newtonian vs. relativistic).
  • There is a discussion about the formulation of Newton's second law in the context of relativity, with some asserting that it does not remain invariant under Lorentz transformations.
  • One participant presents an invariant equation involving proper time and questions its applicability to all systems, noting that it only holds for objects with constant invariant mass.
  • Concerns are raised about the interpretation of terms like "invariance" and "principle of relativity," suggesting that these concepts can have different meanings in different contexts.
  • A participant emphasizes the need for mathematical rigor in discussing these topics, cautioning against reasoning based on ordinary language.

Areas of Agreement / Disagreement

Participants express disagreement on the interpretation of the invariance of laws of nature in inertial frames, with multiple competing views on the validity of Newton's laws and their relationship to electromagnetism. The discussion remains unresolved, with no consensus reached on the implications of the statements made.

Contextual Notes

There are limitations in the assumptions made regarding the applicability of Newton's laws in different frames, as well as the definitions of invariance and the contexts in which these laws are considered. The discussion highlights the complexity of transitioning from Newtonian to relativistic frameworks without resolving these nuances.

  • #31
davidge said:
I want just a little clarification on this.

The usual Lorentz force you talked about is a 3-vector equation. We have ##\vec{F} = q (\vec{E} + \vec{v} \times \vec{B})##. Is your last statement quoted above equivalent to saying that under a Galilean transformation ##\vec{F}## does not transform such that ##\vec{F}{}' = \vec{F}##?

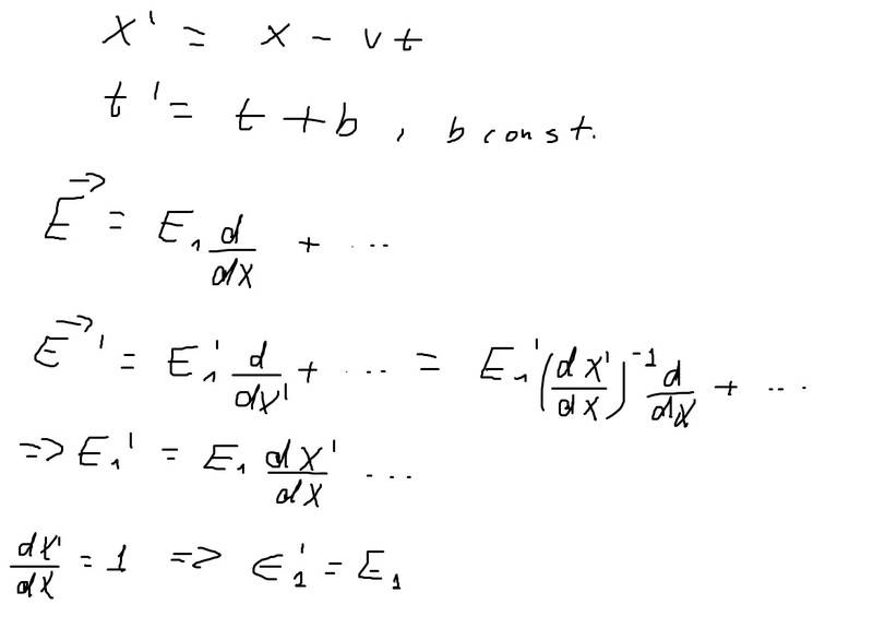
I'm going to show a simple calculation

View attachment 211363. The same should hold true for the vector ##\vec{v} \times \vec{B}##. Therefore the Lorentz force should be invariant under Galilean transforms. Am I doing something wrong? OBS: I've made use of ##d / dx##, etc because they transform as vectors. But I think I should have used ##e_x, e_y, e_z## instead.
Of course, if you do a non-relativistic calculation you cannot expect that it's giving the correct transformation laws. The most simple way is to use a covariant notation. For the mostion of a charged particle in an external electromagnetic field, given in terms of the Faraday tensor ##F_{\mu \nu}## the relativistic equations of motion read
$$m \frac{\mathrm{d}^2 x^{\mu}}{\mathrm{d} \tau^2} = \frac{q}{c} F^{\mu \nu}(x)\frac{\mathrm{d} x^{\nu}}{\mathrm{d} \tau}.$$
Here ##\tau## is the proper time of the particle. As it must be, both sides transform as contravariant vector components under Lorentz transformations.

For more details and also simple examples, see
http://th.physik.uni-frankfurt.de/~hees/pf-faq/srt.pdf

I don't see too much merit of studying non-relativistic electrodynamics (except in the usual cases, where the non-relativistic treatment of the matter particles is sufficient).
 
  • Like
Likes   Reactions: Dale
Physics news on Phys.org
  • #32
Umaxo said:
I meant "transform correctly" in this mathematical way. Does it make sense?

It's still playing with words. See below.

Umaxo said:
I didnt say you end up with maxwell equations, just that you end up with equality.

In other words, you're ok with still calling it "equality" when the physics predicted by the "equality" is changed. That's not a useful definition of "equality" in a discussion about physics, particularly not when the topic under discussion is precisely the question of the invariance of the physics under transformations from one frame to another.
 
  • Like
Likes   Reactions: Dale
  • #33
@PeterDonis , it's not said there that the two times ##t'## and ##t## are equal. I think you looked at the question, not the answer, because it's the questioner who says ##t'=t##.

Dale said:
Yes, this approach is not showing what you want to show. What we are trying to show is how the whole equation transforms. So we want to show that when you transform ##F=q(E+v\times B)## you get ##F'=q'(E'+v'\times B')##. Under the Galilean transform ##v'=v+u## and ##F'=F## from the definition of the Galilean transform and the Galilean invariance of Newton's 2nd law. I don't remember the reasoning why ## q=q'## but I am sure you can dig that up somewhere.

So consider ##u=-v##, then ##q'E'=F'=F=q(E+v\times B) \ne q E##. Similarly for B.
I see. As ##q'=q## we have to conclude that ##E' \neq E##. But what about the link I posted just before your post? Maybe you want to look up the answer to the question that is posed there.
 
  • #34
davidge said:
it's not said there that the two times ##t'## and ##t## are equal

Nor is that what I was talking about. Go back and read my post again, carefully.
 
  • #35
Dale said:
Yes, this approach is not showing what you want to show. What we are trying to show is how the whole equation transforms. So we want to show that when you transform ##F=q(E+v\times B)## you get ##F'=q'(E'+v'\times B')##. Under the Galilean transform ##v'=v+u## and ##F'=F## from the definition of the Galilean transform and the Galilean invariance of Newton's 2nd law. I don't remember the reasoning why ## q=q'## but I am sure you can dig that up somewhere.

So consider ##u=-v##, then ##q'E'=F'=F=q(E+v\times B) \ne q E##. Similarly for B.
I can't say what you are doing with Galilei transformations, and it's way more complicated to consider non-relativistic electrodynamics than the full theory, because the literally natural realm of electromagnetism is relativistic physics. That's why historically relativity has been discovered by many people at the beginning of the 20th century (and finalized and fully understood by Einstein in 1905 and Minkowski in 1908) by thinking about electromagnetic phenomena.

So why is electric charge a scalar? Using the Maxwell equations alone (no need for closing the system by the mechanical equations for the matter thanks to gauge invariance), you get
$$\partial_t \rho + \vec{\nabla} \cdot \vec{j}=0.$$
You can write this in a covariant way as
$$\partial_{\mu} j^{\mu}=0,$$
and now using the 4D Gauss's integral theorem you find out that indeed the total charge
$$Q=\int_{\mathbb{R}^3} \mathrm{d}^3 \vec{x} \rho=\int_{\mathbb{R}^3} \mathrm{d}^3 \vec{x}' \rho'=\text{const}.$$
For the detailed argument, see

http://th.physik.uni-frankfurt.de/~hees/publ/kolkata.pdf (pages 18+19)
 
  • Like
Likes   Reactions: davidge
  • #36
PeterDonis said:
So, contrary to the claim made in the link you gave, we do not have ##\partial / \partial t = \partial / \partial t'##.
Sorry, but there's no such claim on there.
I ask you to please revisit the page and look at the most-liked answer.
 
  • #37
davidge said:
please revisit the page and look at the most-liked answer.

It would have been helpful to make it clear that that particular item on the page was what you were referring to. I'll take a look.
 
  • #38
PeterDonis said:
I'll take a look.

After taking a look I'm not sure I agree with the most-liked answer's derivation either. The problem I see is the claim that the Lorentz force doesn't depend on acceleration, therefore ##\vec{F}' = \vec{F}## under Galilean transformation is true.

What is known to be true under Galilean transformation is that Newton's second law remains invariant, i.e., ##m \vec{a}' = m \vec{a}##. (We're assuming that ##m## is invariant since we're talking about a single particle.) But the claim being made is that the Lorentz force formula holds in both frames, i.e., that ##m \vec{a}' = q \left( \vec{E}' + \vec{v}' \times \vec{B}' \right)## if ##m \vec{a} = q \left( \vec{E} + \vec{v} \times \vec{B} \right)##. I'm not sure this is correct; in any event, the argument given does not establish this claim.

The original post in the Stack Exchange thread links to a paper discussing a very different argument due to Feynman:

https://arxiv.org/pdf/hep-ph/0106235.pdf

I'm looking at that now.
 
  • #39
PeterDonis said:
But the claim being made is that the Lorentz force formula holds in both frames, i.e., that ##m \vec{a}' = q \left( \vec{E}' + \vec{v}' \times \vec{B}' \right)## if ##m \vec{a} = q \left( \vec{E} + \vec{v} \times \vec{B} \right)##. I'm not sure this is correct

This claim is equivalent to the claim that an accelerometer attached to our test particle will read the same in both frames, is it not?
 
  • #40
Nugatory said:
This claim is equivalent to the claim that an accelerometer attached to our test particle will read the same in both frames, is it not?

No. That claim is the claim that ##\vec{a}' = \vec{a}##.

The claim I'm questioning is the claim that the relationship between ##\vec{a}## and the fields ##\vec{E}## and ##\vec{B}## and the velocity ##\vec{v}##, which is what the Lorentz Force equation expresses, is the same in both frames. That claim is a claim about the relationship between accelerometer measurements, velocity measurements, and field strength measurements. It's not a claim about accelerometer measurements alone.
 
  • #41
PeterDonis said:
I'm looking at that now.

Having looked, I don't think Feynman's derivation is relevant here, since it assumes that position and velocity do not commute (equation 2 of the paper). While this is very interesting from the standpoint of relating non-relativistic electrodynamics to quantum mechanics, it is irrelevant to this discussion since we are comparing classical (non-quantum) Newtonian mechanics and special relativity.
 
  • #42
vanhees71 said:
I can't say what you are doing with Galilei transformations, and it's way more complicated to consider non-relativistic electrodynamics than the full theory, because the literally natural realm of electromagnetism is relativistic physics
I agree 100%. I am very likely making mistakes with the Galilei transformations since I see little value in spending a lot of effort learning how to do a wrong thing correctly.
 
  • Like
Likes   Reactions: vanhees71
  • #43
davidge said:
Maybe you want to look up the answer to the question that is posed there.
I did read it, but an incomplete subset of Maxwell's equations is of fairly limited applicability. EM requires all of them and also the Lorentz force law to be complete.

Maybe you want to read the more complete treatment: http://fisica.unipv.it/percorsi/pdf/jmll.pdf
 
  • #44
@PeterDonis, I think your disconfort with the invariance of the Lorentz force, i.e. ##F' = F## can be resolved by noticing that for a particle ##q(E + v \times B) = d (m v) / dt##, i.e. the RHS is Newton's second law, which is invariant under Galilean transformations. So we must have invariance of the Lorentz force too. I think this is the reasoning of the author of that post.
Dale said:
Maybe you want to read the more complete treatment: http://fisica.unipv.it/percorsi/pdf/jmll.pdf
I will read it when I have the time.
 
  • #45
davidge said:
the RHS is Newton's second law, which is invariant under Galilean transformations

Sorry, you are still ignoring the actual point I'm making. Go read my post #38 in response to @Nugatory.

davidge said:
So we must have invariance of the Lorentz force too

This reasoning is invalid. Again, go read post #38.
 
  • #46
PeterDonis said:
No. That claim is the claim that ##\vec{a}' = \vec{a}##.

The claim I'm questioning is the claim that the relationship between ##\vec{a}## and the fields ##\vec{E}## and ##\vec{B}## and the velocity ##\vec{v}##, which is what the Lorentz Force equation expresses, is the same in both frames. That claim is a claim about the relationship between accelerometer measurements, velocity measurements, and field strength measurements. It's not a claim about accelerometer measurements alone.
As I said before, it's much simpler to study the exact special-relativistic equation. There's no merit in the non-relativistic limit here at all. Of course you can get easily the non-relativistic limit in the usual way:

The covariant equation reads
$$m \ddot{x}^{\mu}=\frac{q}{c} F^{\mu \nu} \dot{x}_{\nu},$$
where dots denote derivatives wrt. proper time, ##m## the invariant mass of the particle (scalar), ##q## the charge of the particle (scalar), and ##F^{\mu \nu}## the components of the Faraday tensor of the given field.

First of all, not all four EoMs are independent since, as it must be the equation is compatible with the constraint, following from the definition of proper time
$$\dot{x}_{\mu} \dot{x}^{\nu}=c^2 =\text{const}.$$
Thus it is sufficient to consider the spatial components only, and that reads very familiar when expressed in the (1+3)-form of the equation in the given reference frame:
$$m \ddot{\vec{x}}=q \left (\vec{E}+\frac{\dot{\vec{x}}}{c} \times \vec{B} \right).$$
Although this looks like the non-relativistic equation, it's not, because the dot denotes a derivative wrt. to proper time, ##\tau##, rather than "coordinate time" ##t##. Nevertheless this equation is form-invariant unter Lorentz transformations since it's derived from a equation only involving tensor components.

Then, in any frame, where the non-relativistic approximation is valid, i.e., in a frame, where (during the considered time!) at all times
$$\left |\frac{\mathrm{d} \vec{x}}{\mathrm{d} t} \right| \ll c.$$
Then you can approximate
$$\dot{f}=\frac{\mathrm{d} f}{\mathrm{d} t} \frac{\mathrm{d} t}{\mathrm{d} \tau} = \mathrm{d}_t f \frac{1}{\sqrt{1-(\mathrm{d}_t \vec{x})^2/c^2}} = \mathrm{d}_t f [1+\mathcal{O}(v^2/c^2)]$$
with ##v=|\mathrm{d}_t \vec{x}|##.

Thus, using the correct relativistic equation and the correct transformation between frames (Lorentz transformation) leads to the conclusion that also the non-relativistic approximation is forminvariant in all frame it applies. I don't know whether the somewhat cumbersome calculation with Galilei transformations here really helps. In any case you have to take the corresponding limit of the transformation law for the field components too. The above covariant approach, however, suggests that this should lead to the same conclusion if done properly (i.e., taking consistent approximations in powers of ##v/c## on both sides of the equation).
 
  • #47
Dale said:
I agree 100%. I am very likely making mistakes with the Galilei transformations since I see little value in spending a lot of effort learning how to do a wrong thing correctly.
This is so, because the non-relativistic limit of E&M is not as trivial as it seems. There are even two different limits (an "electric" and a "magnetic" one), depending on the actual physical situation. I think the relevant work by LeBellac et al has been already cited in this thread.
 
  • #48
vanhees71 said:
This is so, because the non-relativistic limit of E&M is not as trivial as it seems. There are even two different limits (an "electric" and a "magnetic" one), depending on the actual physical situation. I think the relevant work by LeBellac et al has been already cited in this thread.
Levy-leblond has written a lot of nice papers about this and other issues in non-relativistic physics already in the '60s. One non-relativistic limit can be regarded as the c --> oo limit in which the replacement current vanishes. From my memory this replacement current term is exactly the term which spoils Galilei-covariance and enforces Poincaré-invariance on the Maxwell equations.

In my thesis I worked out a bit of the spacetime-covariant form of the Galilei-transformations and its metrical structure. It's textbook material, but maybe some finds it usefull (page 36,37):

http://www.rug.nl/research/portal/p...ed(fb063f36-42dc-4529-a070-9c801238689a).html
 
  • Like
Likes   Reactions: vanhees71
  • #50
vanhees71 said:
What I had in mind was the classical paper on the subject,

M. LeBellac, J.-M. Levi-Leblond, Galilean Electromagnetism, Nuovo. Cim. 14, 217 (1973)

Also see the references in

https://en.wikipedia.org/wiki/Galilean_electromagnetism

particularly Ref. 1.

In #41, @Dale posted a link to a scan of that document (the link is also in the Wikipedia entry).

I have had a long interest (my posts from 2005 2006) in that paper due to this article
  • "If Maxwell had worked between Ampère and Faraday: An historical fable with a pedagogical moral"
    Max Jammer, John Stachel , American Journal of Physics -- January 1980 -- Volume 48, Issue 1, pp. 5-7, http://dx.doi.org/10.1119/1.12239

and how it relates to Cayley-Klein geometry
  • "Possible Kinematics"
    Henri Bacry, Jean‐Marc Lévy‐Leblond, Journal of Mathematical Physics 9, 1605 (1968); http://dx.doi.org/10.1063/1.1664490
  • "A simple non-Euclidean geometry and its physical basis : an elementary account of Galilean geometry and the Galilean principle of relativity"
    I.M. Yaglom (1969,1979) https://archive.org/details/ASimpleNon-euclideanGeometryAndItsPhysicalBasis
which I regard as a way to formalize the classical Galilean limits and the geometrical analogies between spacetime and the Cayley-Klein Geometries.

Note: one should not confuse "Galilean Electromagnetism"
with a journal with a similar name (which was raised in a old 2008 PF thread: Galilean Electrodynamics? )
 
  • Like
Likes   Reactions: vanhees71

Similar threads

Replies
7
Views
2K
  • · Replies 10 ·
Replies
10
Views
2K
  • · Replies 4 ·
Replies
4
Views
1K
  • · Replies 7 ·
Replies
7
Views
2K
  • · Replies 5 ·
Replies
5
Views
3K
  • · Replies 3 ·
Replies
3
Views
1K
  • · Replies 18 ·
Replies
18
Views
7K
  • · Replies 11 ·
Replies
11
Views
2K
  • · Replies 57 ·
2
Replies
57
Views
8K
  • · Replies 4 ·
Replies
4
Views
2K