My conclusions regarding "the laws of nature"

Click For Summary

Discussion Overview

The discussion centers around the interpretation of the statement that "the laws of nature are the same in inertial frames," particularly in the context of Newton's laws and electromagnetism. Participants explore the implications of this statement within the frameworks of Newtonian mechanics and relativity, examining the validity and invariance of various laws of physics.

Discussion Character

  • Debate/contested
  • Technical explanation
  • Conceptual clarification

Main Points Raised

  • Some participants propose that the validity of Newton's second law implies the validity of the first law, but the reverse is not necessarily true.
  • Others argue that Newton's second law is not exactly correct in any inertial frame, challenging the premise that it can be used to derive conclusions about invariance.
  • A participant suggests that the laws of electromagnetism share a similar kind of invariance to Newton's laws, but this is contested based on the framework used (Newtonian vs. relativistic).
  • There is a discussion about the formulation of Newton's second law in the context of relativity, with some asserting that it does not remain invariant under Lorentz transformations.
  • One participant presents an invariant equation involving proper time and questions its applicability to all systems, noting that it only holds for objects with constant invariant mass.
  • Concerns are raised about the interpretation of terms like "invariance" and "principle of relativity," suggesting that these concepts can have different meanings in different contexts.
  • A participant emphasizes the need for mathematical rigor in discussing these topics, cautioning against reasoning based on ordinary language.

Areas of Agreement / Disagreement

Participants express disagreement on the interpretation of the invariance of laws of nature in inertial frames, with multiple competing views on the validity of Newton's laws and their relationship to electromagnetism. The discussion remains unresolved, with no consensus reached on the implications of the statements made.

Contextual Notes

There are limitations in the assumptions made regarding the applicability of Newton's laws in different frames, as well as the definitions of invariance and the contexts in which these laws are considered. The discussion highlights the complexity of transitioning from Newtonian to relativistic frameworks without resolving these nuances.

davidge
Messages
553
Reaction score
21
You may know I started a thread on this forum asking questions about the statement in General Relativity that "the laws of nature are the same in inertial frames". Guessing about the answers I got, I arrived in the following conclusion. I'd like to know whether these make sense & are correct or not.

On the Newton's laws:

1 - The validity of the second law implies the validity of the first law;
2 - The second law not being valid does not imply that the first law is not valid;
3 - The first law being valid or not does not imply the validity of the second law.

On (Maxwell's) electromagnetism & Newton's laws:

4 - The laws of electromagnetism have the same kind of invariance* than those of Newton.

Having these in mind, we could conclude:

Reason for invariance of light speed in inertial frames: Suppose there are two reference frames in which Newton's second law applies; from 1 above they are both inertial frames. Furthermore, as Newton's second law is invariant between them, so are Maxwell's equations (from 4). Conclusion: Speed of light is the same in both of them.

Newton's second law: Newton's second law is no longer valid in the relativistic theory because it doesn't remain invariant between two frames related by a Lorentz transformation, even that they are inertial frames (from 2).

I followed a response Dr. Greg gave me and arrived in the following invariant equation:

$$m \frac{d^2}{d \tau^2} x^\alpha = f^\alpha$$

where ##m## is the inertial mass and ##\tau## is the particle proper time (of a given particle, lol). This is invariant because it's the same in two inertial frames, in fact in all frames, since it's the time measured by a clock in the particle's reference frame. The equation above is not the same as Newton's second equation for two things; the first is that the time in the derivative is not the coordinate time and the other thing is that we are now dealing with four-vectors, which also means the force on the RHS is no longer the force on the corresponding RHS of Newton's second law. Note: I considered a Minkowskian framework on the equation above.

Main conclusion (because it motivated me to start the other thread): The statement that the laws of nature are the same in all inertial frames is not quite correct. Better would to say that they are valid as long as we keep ourselves in a theory where a invariance like the one in (*) exists. So I think one should specify in what theory they are going to talk about the laws of nature, because the invariance of laws of nature seems to depend up on the kind of invariance that equations obey.

There remains one question: how can we know whether a given reference frame is inertial? Apart from the obvious way of making an experiment to see whether Newton's first law works.* What I mean is that all vectors appearing in Maxwell's equations obey the same invariance rule than the one appearing on Newton's second law (the acceleration vector): $$ \vec{A} = (A_1 , A_2 , A_3) \\ (A_1)^2 + (A_2)^2 + (A_3)^2 = \text{constant} \\ $$ Obs. : usual metric above.
 
Last edited:
Physics news on Phys.org
I think you are not prepared to understand the debunking of your misconceptions and perhaps PF is not the place for that.
 
  • Like
Likes   Reactions: davidge
davidge said:
The statement that the laws of nature are the same in all inertial frames is not quite correct.
You may have missed an important subtlety from the previous thread. Newton's second law is not exactly correct in any inertial frame so it is not a law of nature; therefore the principle of relativity should not be expected to apply. And because the second law is not exactly correct in any inertial frame, your chain of logic starting from "Suppose there are two reference frames in which Newton's second law applies..." is based on a false premise ("suppose something that doesn't exist exists") so does not lead to valid conclusions.

Of course the four-vector formulation ##\vec{F}=d\vec{p}/dt## in Minkowski space is exactly correct - but it is not equivalent to the three-vector formulation that we know as Newton's second law, it's a different law that makes different and more accurate predictions. This is in contrast with Maxwell's equations, where the three-vector ##\vec{E}##, ##\vec{B}## formulation is exactly equivalent to the four-vector formulation written in terms of the faraday tensor.
 
Last edited:
  • Like
Likes   Reactions: Physics Footnotes and davidge
davidge said:
Guessing about the answers I got

You should not guess. You should not reason about this at all in ordinary language. To really understand this topic, you need to look at the actual math, and frame questions in terms of what the math is telling you. Even the most basic ordinary language words, like "principle of relativity" and "invariance", have shifting meanings in this context.

davidge said:
On the Newton's laws

Which ones? Newton's laws, as in Newtonian mechanics? Or Newton's laws, as in the modified versions we end up with when we take relativity into account and formulate the laws the way they need to be formulated in relativity?

If you are talking about Newton's laws, as in Newtonian mechanics, then your statement 1 is true, and your statements 2 and 3 make no sense. If you are talking about relativity, then your statement 1 makes no sense, your statement 2 is true, and your statement 3 makes no sense.

davidge said:
On (Maxwell's) electromagnetism & Newton's laws

Formulated in which framework? In the framework of Newtonian mechanics, where we use Galilean transformations to transform between inertial frames, Maxwell's Equations are not frame invariant; they are only valid in one particular inertial frame, and in any other inertial frame, they are invalid. Whereas Newton's laws are valid in all inertial frames.

But in the framework of relativity, where we use Lorentz transformations to transform between inertial frames, Maxwell's Equations are frame invariant (since they are Lorentz invariant), Newton's first law is still valid (and Lorentz invariant), Newton's second law in its usual form is not valid (since it isn't even formulated correctly to begin with), and there is a way to come up with an equation that "sort of looks like" Newton's second law and is valid (and Lorentz invariant).

None of the above scenarios make your statement 4 look correct.

davidge said:
Having these in mind, we could conclude

From here on your post is mostly speculation based on incorrect premises.

davidge said:
I followed a response Dr. Greg gave me and arrived in the following invariant equation:
$$
m \frac{d^2}{d \tau^2} x^\alpha = f^\alpha
$$
where mm is the inertial mass and ##\tau## is the particle proper time (of a given particle, lol). This is invariant because it's the same in two inertial frames, in fact in all frames, since it's the time measured by a clock in the particle's reference frame

This is correct, with the stipulation that it only applies to objects or systems whose invariant mass ##m## is constant in time. Not all objects and systems meet this requirement. For those that don't, there is a more general equation that is still valid, and invariant, and reduces to the one you wrote for the ##m## constant case.

However, it's also highly instructive to look at the physical interpretation of this equation. What is ##x^\alpha##? What is ##f^\alpha##? What do they mean in some particular concrete example?

davidge said:
The statement that the laws of nature are the same in all inertial frames is not quite correct

Sure it is. It just means that the laws of nature are Lorentz invariant. All of the known laws are.

davidge said:
how can we know whether a given reference frame is inertial? Apart from the obvious way of making an experiment to see whether Newton's first law works

That's the only way.
 
  • Like
Likes   Reactions: davidge
davidge said:
Y
* What I mean is that all vectors appearing in Maxwell's equations obey the same invariance rule than the one appearing on Newton's second law (the acceleration vector): $$ \vec{A} = (A_1 , A_2 , A_3) \\ (A_1)^2 + (A_2)^2 + (A_3)^2 = \text{constant} \\ $$ Obs. : usual metric above.
That's not invariance, that's the definition of the magnitude of a three-vector in Euclidean space. It's trivially true for for all three-vectors (including velocities and accelerations) in all reference frames. In general, however, the values of the individual components and the constant will be different in different reference frames, and that is as true of the electrical and magnetic fields as it is of velocities and accelerations.
 
  • Like
Likes   Reactions: davidge
Special relativity is not Newtonian mechanics, and F=ma just doesn't work in special relativity. Sorry. Bur rather than leave it at that, let's look at what does work. What does work is F = dp/dt, where p is momentum. So force is the rate of change of momentum with time. This works for both Newtonian mechanics and special relativity.

In Newtonian mechanics, the momentum is mass ##\cdot## velocity, so that p=mv, thus F = dp/dt = d(mv)/dt = m (dv/dt) = ma, as m is constant. (I suppose now is a good time to mention that by m, I mean the invariant mass, it's a concept of mass that's a property of an object and doesn't depend on the objects velocity).

In special relativity we have a different formula for momentum. Instead of p=mv, we write p =## \frac{mv}{\sqrt{1-(v/c)^2}}##

That's basically all there is to it. People get over-attached to F=ma (I can only guess why), and are reluctant to let go of it.
 
  • Like
Likes   Reactions: davidge
@pervect thanks for your contribution and hint.

Nugatory said:
Newton's second law is not exactly correct in any inertial frame so it is not a law of nature
Ah, ok. This is so "physically speaking", correct? Because when we go to the math..., see below
PeterDonis said:
In the framework of Newtonian mechanics, where we use Galilean transformations to transform between inertial frames, Maxwell's Equations are not frame invariant

So, @Nugatory and @PeterDonis I think I should have been more clear on what I mean. So I'm going to add more details on what I meant in the opening post by invariance on electromagnetism and Newtonian mechanics.

The vector appearing in one side of Newton's equation is the (3-vector) acceleration: ##d^2 \vec{x}/dt^2##. If the equation is to be keep form invariant, then we must end up in another "primed" coordinate system with ##d^2 \vec{x'}/dt'^2##. As we know in Galilean transforms time ##t'## can be different from ##t## at most by a constant factor. So ##dt' = dt##. As ##\vec{x}## is a three-vector which obeys (components here) ##x^2 + y^2 + z^2 = x'^2 + y'^2 + z'^2##, then our acceleration vector is indeed a vector. What I said in the opening post about invariance of Maxwell's equations, I was talking about the separate equations, for example ##\vec{\nabla} \times \vec{E} = -d \vec{B}/dt##. This is by construction a 3-vector whose components obey the same relation I wrote earlier on for the position vector. So it seems that the separate Maxwell's equations are invariant under Galilean transformations.

Now, the so called wave equation is not invariant.

I hope you understand what I'm trying to say.
 
davidge said:
So it seems that the separate Maxwell's equations are invariant under Galilean transformations
No, they are not. You are assuming that the Galilean transformation law for E and B are E=E' and B=B', but that would make the Lorentz force transform wrong. To save the Lorentz force law the Galilean transform for E and B are ##E'=E +v \times B## and ##B'=B-v \times E##. Plug those in and you save the Lorentz force law, but then Maxwell's equations don't transform right.
 
davidge said:
The vector appearing in one side of Newton's equation is the (3-vector) acceleration: ##d^2 \vec{x}/dt^2##. If the equation is to be keep form invariant, then we must end up in another "primed" coordinate system with ##d^2 \vec{x'}/dt'^2##.

That's not enough. You need the whole equation to take the same form, not just one side. So if in the original frame you have

$$
\vec{F} = m \frac{d^2 \vec{x}}{dt^2}
$$

then when you transform into the new frame, you must have

$$
\vec{F}' = m \frac{d^2 \vec{x}'}{dt'^2}
$$

davidge said:
As ##\vec{x}## is a three-vector which obeys (components here) ##x^2 + y^2 + z^2 = x'^2 + y'^2 + z'^2##, then our acceleration vector is indeed a vector.

That's not the question you're trying to answer. The question you are trying to answer is whether the full equation of the second law takes the same form when we transform it from one inertial frame to another. Just showing that ##\vec{x}## "is a vector" isn't sufficient for that.

@Dale has already responded to your incorrect claim about Maxwell's Equations.
 
  • #10
davidge said:
As we know in Galilean transforms time ##t'## can be different from ##t## at most by a constant factor. So ##dt' = dt##.

That's not how you transform a function of ##t##. The quantity ##d^2 \vec{x} / dt^2## is not a fraction. It's a second derivative. In the original frame you have a function ##\vec{x} (t)##. When you transform this function into the new frame, you get a different function ##\vec{x}' (t)##. You need to show that these two functions have the same second derivative (assuming that you have already shown that the force ##\vec{F}## is unchanged by a Galilean transformation, i.e., that ##\vec{F}' = \vec{F}##). What you have said so far is irrelevant to answering that question.
 
  • #11
@Dale I got it. But why should we prefer Lorentz force being invariant over the Maxwell's equations? Why shoud'nt we keep Maxwell's equations invariant and let the Lorentz force not variant?

@PeterDonis ok, but since we are talking about a equation, that is, an equality, so I guess it suffices to show that one side is correct -- the other side will automatically be true for the equation to be a equation.
 
  • #12
davidge said:
@Dale I got it. But why should we prefer Lorentz force being invariant over the Maxwell's equations? Why shoud'nt we keep Maxwell's equations invariant and let the Lorentz force not variant?
The Lorentz force is how E and B are defined usually. So I don't know how you could "opt out" of it.
 
  • Like
Likes   Reactions: davidge
  • #13
Nugatory said:
Of course the four-vector formulation ##\vec{F}=d\vec{p}/dt## in Minkowski space is exactly correct - but it is not equivalent to the three-vector formulation that we know as Newton's second law, it's a different law that makes different and more accurate predictions.

I was under the impression that ##\vec{F}=d\vec{p}/dt## (as a three-vector relation) is valid in special relativity. Is this not true?
 
  • #14
Dale said:
The Lorentz force is how E and B are defined usually
If we find a definition of E and B other than that, so is it ok to keep Maxwell invariant instead of the Lorentz force?
 
  • #15
davidge said:
since we are talking about a equation, that is, an equality, so I guess it suffices to show that one side is correct -- the other side will automatically be true for the equation to be a equation

We are talking about taking an equation that is valid in one frame, and transforming both sides, and seeing if it is still valid in the new frame. To check this, you have to check both sides, because you transformed both sides; the fact that they were equal before the transform does not automatically guarantee that they will be equal after the transform.
 
  • Like
Likes   Reactions: davidge
  • #16
davidge said:
If we find a definition of E and B other than that, so is it ok to keep Maxwell's invariant instead of the Lorentz force?
If you find one in the professional scientific literature that does that using the Galilean transform then it would be fine.
 
  • Like
Likes   Reactions: davidge
  • #17
Mister T said:
I was under the impression that ##\vec{F}=d\vec{p}/dt## (as a three-vector relation) is valid in special relativity. Is this not true?

It's just a definition.
 
  • #18
Dale said:
The Lorentz force is how E and B are defined usually
Dale said:
that would make the Lorentz force transform wrong
I want just a little clarification on this.

The usual Lorentz force you talked about is a 3-vector equation. We have ##\vec{F} = q (\vec{E} + \vec{v} \times \vec{B})##. Is your last statement quoted above equivalent to saying that under a Galilean transformation ##\vec{F}## does not transform such that ##\vec{F}{}' = \vec{F}##?

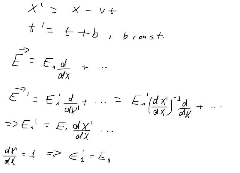
I'm going to show a simple calculation

eylo5GN.jpg
. The same should hold true for the vector ##\vec{v} \times \vec{B}##. Therefore the Lorentz force should be invariant under Galilean transforms. Am I doing something wrong? OBS: I've made use of ##d / dx##, etc because they transform as vectors. But I think I should have used ##e_x, e_y, e_z## instead.
 
Last edited:
  • #19
PeterDonis said:
We are talking about taking an equation that is valid in one frame, and transforming both sides, and seeing if it is still valid in the new frame. To check this, you have to check both sides, because you transformed both sides; the fact that they were equal before the transform does not automatically guarantee that they will be equal after the transform.

I would say it does quarantee, does it not? If you transform everything correctly, then the equation must still hold. Those are vector equations, so they are valid no matter the coordinates you are using. (I´d say it is true for general equation, not only vector equations, it is just that the transformation laws for those objects will be nontrivial)

However, in different coordinates the actual form of the equation will be different. And then, you are interested which set of coordinate transformations keeps the equation invariant in form - like in Newtonian mechanics those are galileo transformations.
 
  • Like
Likes   Reactions: davidge
  • #20
Umaxo said:
I would say it does quarantee, does it not? If you transform everything correctly, then the equation must still hold.
Yes, but only if you assume that the equations are consistent with your underlying assumptions. One of the reasons we ended up with relativity is that Maxwell's equations don't transform consistently under Galilean transforms. So I think one should be wary of "this half looks right, the other half must be".
 
  • #21
Ibix said:
Yes, but only if you assume that the equations are consistent with your underlying assumptions.

Which underlying assumptions are you referring to?

Ibix said:
So I think one should be wary of "this half looks right, the other half must be".

I didnt try to say anything like that. I said, the equality holds, but not the form. Therefore both halves of the equation must be checked to see wheter the form remained same or not. If so, then the solutions to the equations are mathematicly the same and therefore the physics cannot distinguish between one frame and the other. If form is not the same, as it is with maxwell equations under galilean transformations, then solutions also don't look the same (in general) so physics can (in general) distinguish between those frames.

That is why first attempts after realizing that Maxwell equations are not invariant under galilean transformations was to find the special frame of reference or some kind of dynamical explanation instead of developing modified mechanics to keep principle of relativity (I believe einstein was in fact the first one who took later approach after 20 years of research in the area, and it is the reason why not even poincare nor lorentz could recognize new mechanics even though they have basically everything ready?).
 
  • #22
Umaxo said:
If you transform everything correctly, then the equation must still hold.

Not unless you define "transform correctly" to make the equation still hold. For example, if you want Maxwell's Equations to still hold after being "transformed correctly", then you have to define "transform correctly" as "Lorentz transformation". But you can't just arbitrarily define what "transform correctly" means in general; your physical theory is supposed to tell you that. Newtonian mechanics says "transform correctly" is defined as "Galilean transformation", not "Lorentz transformation", so in Newtonian mechanics, Maxwell's Equations do not still hold after being transformed, even if you "transform correctly".

Umaxo said:
I said, the equality holds, but not the form

This is playing with words. If you transform Maxwell's Equations with a Galilean transformation, you don't end up with Maxwell's Equations in the new frame; you end up with different equations. Saying "well, the equality holds, but not the form" just obfuscates this obvious fact. Nobody cares about "equality" if the "form" changes; it's the "form" that contains the physics.
 
  • #23
It's astonishing I'm obtaining that some of Maxwell's equations are invariant under Galilean transformations. I have done the calculations all the way here.
 
  • #24
davidge said:
It's astonishing I'm obtaining that some of Maxwell's equations are invariant under Galilean transformations. I have done the calculations all the way here.

Please show your work.
 
  • #25
SiennaTheGr8 said:
It's just a definition.

I agree. Being a definition it's valid, by definition. :smile:

Looking back, I think I misunderstood the comment made by @Nugatory.
 
  • #27
davidge said:
Am I doing something wrong?
Yes, this approach is not showing what you want to show. What we are trying to show is how the whole equation transforms. So we want to show that when you transform ##F=q(E+v\times B)## you get ##F'=q'(E'+v'\times B')##. Under the Galilean transform ##v'=v+u## and ##F'=F## from the definition of the Galilean transform and the Galilean invariance of Newton's 2nd law. I don't remember the reasoning why ## q=q'## but I am sure you can dig that up somewhere.

So consider ##u=-v##, then ##q'E'=F'=F=q(E+v\times B) \ne q E##. Similarly for B.
 
  • #28
davidge said:
At a later time I found a page on web where the guy derives it in a way you and others here will probably accept as valid.

No, actually, I don't. Perhaps it will help to write down the correct expressions for transforming derivatives with respect to the coordinates. For simplicity, I'll consider the case of one spatial dimension, so the Galilean transformation is ##x' = x - vt##, ##t' = t##, and the inverse transformation is ##x = x' + v t'##, ##t = t'##. Then we have

$$
\frac{\partial}{\partial x'} = \frac{\partial x}{\partial x'} \frac{\partial}{\partial x} + \frac{\partial t}{\partial x'} \frac{\partial}{\partial t}
$$

$$
\frac{\partial}{\partial t'} = \frac{\partial x}{\partial t'} \frac{\partial}{\partial x} + \frac{\partial t}{\partial t'} \frac{\partial}{\partial t}
$$

From the inverse transform equations, we obtain ##\partial x / \partial x' = \partial t / \partial t' = 1##, ##\partial x / \partial t' = v##, and ##\partial t / \partial x' = 0##. This gives

$$
\frac{\partial}{\partial x'} = \frac{\partial}{\partial x}
$$

$$
\frac{\partial}{\partial t'} = v \frac{\partial}{\partial x} + \frac{\partial}{\partial t}
$$

So, contrary to the claim made in the link you gave, we do not have ##\partial / \partial t = \partial / \partial t'##.

Furthermore, when transforming the fields ##\vec{E}## and ##\vec{B}##, we have to remember that these are functions of the coordinates, and they will not, in general, be the same functions in both frames. For example, suppose we have an electric field that, in the unprimed frame, is that of a point charge at rest, i.e., ##\vec{E} = Q / r^2## and ##\vec{B} = 0##. In the primed frame, this will be the field of a moving charge, so at a given spatial point, the distance from the charge will vary with time (so ##\vec{E}'## will now be a function of ##t'## as well as ##r'##), and there will be a nonzero magnetic field ##\vec{B}'##. So you can't just assume that ##\vec{E}' = \vec{E}## and ##\vec{B}' = \vec{B}##.
 
  • #29
PeterDonis said:
Not unless you define "transform correctly" to make the equation still hold. For example, if you want Maxwell's Equations to still hold after being "transformed correctly", then you have to define "transform correctly" as "Lorentz transformation". But you can't just arbitrarily define what "transform correctly" means in general; your physical theory is supposed to tell you that. Newtonian mechanics says "transform correctly" is defined as "Galilean transformation", not "Lorentz transformation", so in Newtonian mechanics, Maxwell's Equations do not still hold after being transformed, even if you "transform correctly".

I´d say that equations says that certian mathematical object on the right side is the same as mathematical object on the left side. Thus if you transform it in whatever way, you are doing the same procedure on both sides, thus equality still holds. I meant "transform correctly" in this mathematical way. Does it make sense?

I was just curious because this is how i see equations, so when you said " the fact that they were equal before the transform does not automatically guarantee that they will be equal after the transform" it made me wondering.

PeterDonis said:
This is playing with words. If you transform Maxwell's Equations with a Galilean transformation, you don't end up with Maxwell's Equations in the new frame; you end up with different equations. Saying "well, the equality holds, but not the form" just obfuscates this obvious fact. Nobody cares about "equality" if the "form" changes; it's the "form" that contains the physics.

I didnt say you end up with maxwell equations, just that you end up with equality.
 

Similar threads

Replies
7
Views
2K
  • · Replies 10 ·
Replies
10
Views
2K
  • · Replies 4 ·
Replies
4
Views
1K
  • · Replies 7 ·
Replies
7
Views
2K
  • · Replies 5 ·
Replies
5
Views
3K
  • · Replies 3 ·
Replies
3
Views
1K
  • · Replies 18 ·
Replies
18
Views
7K
  • · Replies 11 ·
Replies
11
Views
2K
  • · Replies 57 ·
2
Replies
57
Views
8K
  • · Replies 4 ·
Replies
4
Views
2K