Need help understanding this step in simplifying a limit equation

  • Context: Undergrad 
  • Thread starter Thread starter mody mody
  • Start date Start date
  • Tags Tags
    Limit Simplifying
Click For Summary
SUMMARY

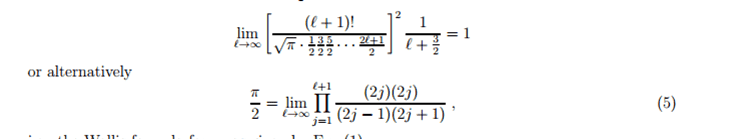
The discussion centers on the conversion of a limit equation as presented in a specific paper. The key transformation involves recognizing that the continued product from 1 to l+1 results in ((l+1)!)^2. Additionally, the terms in the numerator can be simplified by dividing by the denominator, which includes a sequence of odd integers squared. The manipulation of the denominator's terms, particularly the inclusion of (2j-1)/2 and (2j+1)/2, is crucial for achieving the desired formula (5). Furthermore, the term √π is squared and repositioned to the numerator, while the algebraic simplification of 1/(2l+3)/2 to 2/(2l+3) is also highlighted.

PREREQUISITES
  • Understanding of factorial notation and properties, specifically ((l+1)!)^2
  • Familiarity with continued products and their applications in limit equations
  • Knowledge of algebraic manipulation involving square roots and fractions
  • Basic comprehension of sequences, particularly odd integer sequences
NEXT STEPS
  • Study the properties of factorials and their role in limit equations
  • Research continued products and their significance in mathematical analysis
  • Explore algebraic techniques for simplifying complex fractions and square roots
  • Investigate sequences of odd integers and their applications in mathematical proofs
USEFUL FOR

Mathematicians, students studying advanced calculus, and anyone involved in mathematical research or analysis of limit equations.

mody mody
Messages
10
Reaction score
0
I read a paper and i can't understand how can we make the conversion (that attached in photo)
i mean how i get formula (5) from previous one
 

Attachments

  • rrrr.png
    rrrr.png
    6.7 KB · Views: 546
Physics news on Phys.org
I think I figured this one out. The continued product of each ## j ## from ## 1 ## to ## l+1 ## is the ## ((l+1)!)^2 ##. The 2's in the numerator actually can be divided in the denominator. The sequence of 1*3*5*7...(squared) in the denominator takes on two forms depending whether the last term is ## (2l+1)/2 ## or includes the ## (l+\frac{3}{2}) ## term, thereby the continued product of ## (2j-1)/2 ## and ## (2j+1)/2 ## in the denominator. The ## \sqrt{\pi} ## in the denominator gets squared and moved to the numerator of the other side, and the ## \frac{1}{2} ## is a simple algebraic term because ## \frac{1}{(2l+3)/2}=\frac{2}{2l+3} ##.
 

Similar threads

  • · Replies 9 ·
Replies
9
Views
3K
  • · Replies 53 ·
2
Replies
53
Views
7K
  • · Replies 2 ·
Replies
2
Views
4K
  • · Replies 26 ·
Replies
26
Views
3K
  • · Replies 8 ·
Replies
8
Views
2K
  • · Replies 16 ·
Replies
16
Views
3K
  • · Replies 1 ·
Replies
1
Views
3K
  • · Replies 5 ·
Replies
5
Views
2K
  • · Replies 4 ·
Replies
4
Views
2K
  • · Replies 100 ·
4
Replies
100
Views
7K