Normal form of the conic section equation

  • Context: High School 
  • Thread starter Thread starter PainterGuy
  • Start date Start date
  • Tags Tags
    Form Normal Section
Click For Summary

Discussion Overview

The discussion revolves around the classification and interpretation of the equation x²+y²+2ax+2by+c=0, referred to as the "normal form of the conic section equation." Participants explore its implications for different conic sections, particularly circles and hyperbolas, and question the terminology used to describe these equations.

Discussion Character

  • Debate/contested
  • Conceptual clarification
  • Mathematical reasoning

Main Points Raised

  • One participant expresses confusion about the term "normal form," suggesting that the equation primarily describes a circle and questioning its applicability to other conic sections.
  • Another participant agrees that the equation essentially represents a circle.
  • A different participant notes that the coefficients A and C can both equal zero, provided B is not, indicating a hyperbola.
  • There is a request for clarification on how to derive the hyperbola equation xy+F=0 from the normal form of the conic section equation.
  • Some participants discuss the terminology surrounding equation forms, suggesting that terms like "general" or "standard" might be more appropriate than "normal."
  • One participant provides a method for converting the equation xy=c into a different form, indicating a relationship between the two representations of hyperbolas.
  • Another participant seeks clarification on the origin of the transformation equations used for rotating axes by 45 degrees.
  • A later reply attempts to correct earlier mistakes regarding the definition and properties of hyperbolas.

Areas of Agreement / Disagreement

Participants do not reach a consensus on the terminology used for the equation forms, and multiple competing views remain regarding the interpretation of the normal form and its relation to various conic sections.

Contextual Notes

There are unresolved questions about the definitions and properties of conic sections, as well as the implications of different equation forms. Some participants express confusion over the terminology and its significance.

PainterGuy
Messages
938
Reaction score
73
TL;DR
Why this equation, x²+y²+2ax+2by+c=0, is called 'normal form of the conic section equation'.
Hi,

The following is called normal form of the conic section equation:
x²+y²+2ax+2by+c=0

A circle is one of the conic sections when considered as a special of ellipse. I'm confused as to why the the given equation is called "normal form of the conic section equation" when, in my opinion, the equation only describes a circle, a point which could be said to be a special case of circle, imaginary locus or imaginary circle; as I understand it the equation has nothing to do with the conic sections other than the circle which is a special case. Could it represent any other conic section?

The shown below is equation in its context:

?hash=3ec9a72c83dc9a5c9e2ce1c60870a5f9.jpg


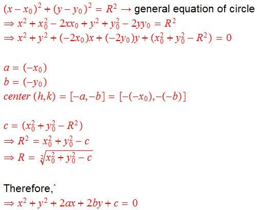
I have tried below to relate the "normal form of the conic section equation" to general equation of a circle with radius R and center at (x₀, y₀).

?hash=3ec9a72c83dc9a5c9e2ce1c60870a5f9.jpg


Thank you for your help and time!
 

Attachments

  • normal_equation_conic.jpg
    normal_equation_conic.jpg
    36.8 KB · Views: 664
  • general_equation_circle.jpg
    general_equation_circle.jpg
    20.5 KB · Views: 696
Mathematics news on Phys.org
I don't know why the term "normal" is used. Your analysis agrees with what is given in the extract. Essentially, it's a circle.
 
  • Like
Likes   Reactions: PainterGuy
A and C both may = 0 as long as B is not. (hyperbola)
 
Thank you!

mathman said:
A and C both may = 0 as long as B is not. (hyperbola)

I'm sorry but I don't follow your point. Could you please elaborate a bit? Thanks.

?hash=d73e364b9a54376f63a4ab55d4b63554.jpg
 

Attachments

  • normal_equation_conic_hyperbola.jpg
    normal_equation_conic_hyperbola.jpg
    34.6 KB · Views: 413
A little more generally, equation forms might be called "general", "standard", or other kinds ("vertex form"). Why then need to use any designation of "normal"? Maybe to know if an equation is general or standard or something else and why, might be good.
 
  • Like
Likes   Reactions: PainterGuy
##xy+F=0## is an equation for a hyperbola.
 
  • Like
Likes   Reactions: PainterGuy
Thank you!

mathman said:
##xy+F=0## is an equation for a hyperbola.

Thanks for pointing this out that xy+F=0 represents a hyperbola but how can one derive "xy+F=0" from this so-called 'normal form of the conic section equation' x²+y²+2ax+2by+c=0? I don't see a way.

By the way, another related question is that how one can convert the general equation of hyperbola, (x-x₀)²/a² - (y-y₀)²/b² = 1, into xy=c or xy+c=0.

symbolipoint said:
A little more generally, equation forms might be called "general", "standard", or other kinds ("vertex form"). Why then need to use any designation of "normal"? Maybe to know if an equation is general or standard or something else and why, might be good.

I'd say that many a time terminology and definitions vary from one source to another and one should not worry oneself with the terminology unless it seems really important. I tried to find the answer about the difference between 'standard form', 'normal form', 'general form', etc. and got confused so left it halfway because it didn't seem much important to me.

Anyway, some of the links given below might be useful.

1: https://pages.mtu.edu/~shene/COURSES/cs3621/NOTES/geometry/simple.html
2: https://elsenaju.eu/Calculator/normal-form-to-vertex-form.htm
3: watch?v=cjXafzJ-gEk (add "https://www.youtube.com/" before "watch")
4: https://arxiv.org/pdf/1702.05789.pdf
5: https://mathbitsnotebook.com/Algebra1/Quadratics/QDVertexForm.html
6: https://www.physicsforums.com/threads/general-form-vs-standard-form-of-a-line.640797/
7: https://www.mathsisfun.com/algebra/quadratic-equation.html
8: https://www.analyzemath.com/quadraticg/quadraticg.htm
9: watch?v=-r4v9J0tn-o (add "https://www.youtube.com/" before "watch")
 
Look at what actual textbooks say for the kinds of or names of the equations' forms.
 
  • Like
Likes   Reactions: PainterGuy
To convert ##xy=c##, set ##x=x'+y'## and ##y=x'-y'## to get ##x'^2-y'^2+c=0##.
 
  • Like
Likes   Reactions: PainterGuy
  • #10
Thank you!

mathman said:
To convert ##xy=c##, set ##x=x'+y'## and ##y=x'-y'## to get ##x'^2-y'^2+c=0##.

xy=c --- equation 1
using x=x′+y′ and y=x′-y′
(x′+y′)(x′-y′)=c
(x′)²-x′y′+y′x′-(y′)²=c
(x′)²-(y′)²=c
letting x′=X, y′=Y
X²-Y²=c --- equation 2

Now let's graph the equations.

Graph #1:
xy=c
⇒y=c/x
let c=2
y=2/x

?hash=fcd193a231171e92ff8264d6a8bab7d1.jpg


Graph #2:
x²-y²+c=0
⇒-y²=-x²-c
⇒y²=x²+c
⇒y=√(x²+c)
let c=2
⇒y=√(x²+2)

?hash=fcd193a231171e92ff8264d6a8bab7d1.jpg


It's clear that both equations represent a hyperbola and one equation is rotated version of another. It's 45 degrees rotation.

These two equations, x=x′+y′ and y=x′-y′, are used to rotate the axes by 45 degrees. But I don't understand where these equations come from. The rotation of axes is given as follows.

?hash=fcd193a231171e92ff8264d6a8bab7d1.jpg


Could you please help me with this? Thank you!
 

Attachments

  • hyperbola_mathman2.jpg
    hyperbola_mathman2.jpg
    13.1 KB · Views: 477
  • hyperbola_mathman.jpg
    hyperbola_mathman.jpg
    20.4 KB · Views: 440
  • rotations_axes.jpg
    rotations_axes.jpg
    16.5 KB · Views: 443
  • #11
Hi,

Could someone please help me with the query from my last post?

The query was "These two equations, x=x′+y′ and y=x′-y′, are used to rotate the axes by 45 degrees. But I don't understand where these equations come from."

Thank you!
 
  • #12
Hi,

In post #10 above I made few mistakes so in this posting I would try to fix them.

The equation of a hyperbola in rectangular coordination is given as:

?hash=b16c846c00d2c40c4db3de006e092243.jpg


where (x₀,y₀) is center and "a" is distance from center to vertex and "b" is vertical distance from vertex to the asymptote, or distance from center to co-vertex. The given equation encapsulates definition of a hyperbola and assumes that the major axis is parallel to x-axis. For example, there cannot be "-1", "2", or "2.2" on the right side of equation. It can only be "1" because that's what the definition, i.e. equation, says.

245425


Also, if the major axis is parallel to y-axis instead, one can interchange x and y in the equation above. Sometimes one can find a conic section, including hyperbola, rotated and in such cases one can use transformation equations involving pure rotation shown below to find the final equation.

x′=xcos(α)+ysin(α)
y′=ycos(α)-xsin(α)

We know from post #10 that hyperbola represented by xy=c is a 45 degrees rotated version.

?hash=b16c846c00d2c40c4db3de006e092243.jpg


These two equations, x=x′+y′ and y=x′-y′, do not actually represent rotation; they are more of a conversion tool from one form to another.

Thank you!
 

Attachments

  • hyperbola_typical.jpg
    hyperbola_typical.jpg
    2.2 KB · Views: 412
  • hyperbola_rotate1.jpg
    hyperbola_rotate1.jpg
    40.7 KB · Views: 410
Last edited:

Similar threads

  • · Replies 18 ·
Replies
18
Views
3K
  • · Replies 5 ·
Replies
5
Views
2K
  • · Replies 1 ·
Replies
1
Views
4K
  • · Replies 3 ·
Replies
3
Views
2K
  • · Replies 3 ·
Replies
3
Views
5K
  • · Replies 4 ·
Replies
4
Views
14K
  • · Replies 1 ·
Replies
1
Views
3K
  • · Replies 3 ·
Replies
3
Views
2K
  • · Replies 1 ·
Replies
1
Views
3K
  • · Replies 6 ·
Replies
6
Views
2K