grangr
- 8
- 0
Homework Statement
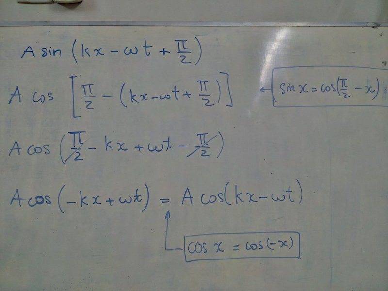
The equation y = A sin(kx - wt + pi/2) is the same as
a. y = -A sin(kx - wt + pi/2)
b. y = A cos(kx - wt)
c. y = -A cos(kx - wt)
d. y = -A sin(kx - wt - pi/2)
e. y = A sin(kx - wt + (3pi)/2)
b. y = A cos(kx - wt)
c. y = -A cos(kx - wt)
d. y = -A sin(kx - wt - pi/2)
e. y = A sin(kx - wt + (3pi)/2)
Homework Equations
- y = A sin[(2pi)/lamda * x - (2pi)/period * t + (phase constant)]
- sin(x) = cos(pi/2 - x)
The Attempt at a Solution
My attempted answer was d., while the correct answer given was b.
I do not understand why d. is wrong, as after a left shift of pi (from the '-pi/2' in the phase constant) in the sine function, when the sign is inverted (given the '-' before A), the resulting y should be the same. No?
I do not get why b. is the correct answer, either. Even with the fact that sin(x) = cos(pi/2 - x), wouldn't you get y = A cos(-kx + wt) then?Thanks in advance for your help!
(And it's good to know that both b) and d) are correct!
As it turns out, it wasn't a physics problem to me, but more of a math problem... 