Parameters in Bohr-Mottelson Collective Hamiltonian

Click For Summary
SUMMARY

The discussion focuses on calculating the mass parameter "B" in the context of the Bohr-Mottelson Collective Hamiltonian for a five-dimensional square well potential. Participants seek guidance on determining the width of the potential well and request references to relevant literature. The Bohr-Mottelson Hamiltonian is essential for understanding nuclear collective motion, and precise calculations of parameters like "B" are critical for accurate modeling.

PREREQUISITES
  • Understanding of the Bohr-Mottelson Collective Hamiltonian
  • Familiarity with quantum mechanics and nuclear physics
  • Knowledge of potential well models, specifically five-dimensional square wells
  • Experience with mathematical modeling in physics
NEXT STEPS
  • Research methods for calculating mass parameters in the Bohr-Mottelson framework
  • Study the properties and applications of five-dimensional infinite potential wells
  • Examine relevant literature on nuclear collective motion and Hamiltonian dynamics
  • Explore advanced quantum mechanics textbooks that cover potential wells and their implications
USEFUL FOR

Physicists, nuclear researchers, and graduate students specializing in quantum mechanics and nuclear collective phenomena will benefit from this discussion.

patric44
Messages
308
Reaction score
40
Homework Statement
how do I find the value of the mass parameter and the width of the potential well present in the Bohr-Mottelson Hamiltonian?
Relevant Equations
-hbar^2/2B
Hi all
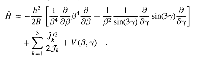
I was reading a certain paper that involves solving the Bohr-Mottelson Hamiltonian for a 5dimential square well potential, the B-M Hamiltoian reads:
1676748237636.png

my question is just how do I calculate the mass parameter "B" for a certain nuclei, and with a 5D infinite potential well how do I get the width of the potential well?
I will appreciate any help, thanks in advance.
 
Physics news on Phys.org
can any one suggest a paper or a book that address these points
 

Similar threads

  • · Replies 14 ·
Replies
14
Views
3K
  • · Replies 3 ·
Replies
3
Views
2K
  • · Replies 4 ·
Replies
4
Views
2K
Replies
1
Views
2K
Replies
3
Views
2K
  • · Replies 0 ·
Replies
0
Views
3K
  • · Replies 5 ·
Replies
5
Views
3K
  • · Replies 156 ·
6
Replies
156
Views
12K
Replies
3
Views
2K
  • · Replies 1 ·
Replies
1
Views
2K