Parametric + analytic function integration

Click For Summary

Discussion Overview

The discussion revolves around the integration of a product of a parametric function and an analytic function over a volume. Participants explore the mathematical tools and definitions necessary for such integration, particularly in the context of physics applications like calculating spectral-angular density of radiation from a moving charge.

Discussion Character

  • Exploratory
  • Technical explanation
  • Debate/contested
  • Mathematical reasoning

Main Points Raised

  • Some participants inquire about the definition of integrating a parametric function over a volume, questioning how to properly formulate the integration.
  • There is a suggestion that the product of the parametric function and the analytic function would only be defined along the curve described by the parametric function.
  • One participant proposes using Dirac delta functions to avoid the issue of zero volume when integrating a curve, while others challenge the mathematical validity of this approach.
  • Concerns are raised about the clarity of the role of the parameter 't' in the integration process and whether the formulation of the problem is correct.
  • Participants discuss the nature of the radiation density to be calculated, including whether it should be averaged over time and space or defined as a function of both.
  • There is a proposal to express the average radiation density in terms of nested integrals, with some participants questioning the feasibility of this approach.

Areas of Agreement / Disagreement

Participants express differing views on the mathematical formulation of the integration problem, particularly regarding the use of Dirac delta functions and the definition of the radiation density. The discussion remains unresolved with multiple competing perspectives on how to approach the integration.

Contextual Notes

Participants highlight limitations in the definitions and formulations presented, particularly concerning the integration of a curve over a volume and the role of the parameter 't'. There is also uncertainty regarding the mathematical validity of certain proposed approaches.

sukharef
Messages
54
Reaction score
0
Hello.
Let's imagine that we have a parametric function f1(x(t),y(t),z(t)) and an analytic one f2(x,y,z) and we have to integrate their product over some volume dx dy dz.
So what are analytical tools for it?
Thanks!
 
Physics news on Phys.org
Do you mean that the function f1(x(t),y(t),z(t)) is defined on a curve (x(t),y(t),z(t)) ? The product of f1 and f2 woud only be defined on that curve. So what is your definition of integrating a curve over a volume ?

I think you should give a specific example.
 
Stephen Tashi said:
Do you mean that the function f1(x(t),y(t),z(t)) is defined on a curve (x(t),y(t),z(t)) ? The product of f1 and f2 woud only be defined on that curve. So what is your definition of integrating a curve over a volume ?
I think you should give a specific example.
Thank you for your response.
I mean that function f1 represents a curve that can be defined only as parametric. And when i want to calculate an integral f1*f2 over dxdydz i need to turn all my functions into either parametric or into ordinary view as far as i understand. So the question is how can i do it ?
An example can be given as follows:
2d:
f1 = {
x = r1*cos(t)
y = r2*sin(t).
}
f2 = x^2+y^2;
Integral[f1*f2,{x,-1,1}{y,-1,1}];
 
The integral of the usual sort of curve over an area or volume will be zero because the usual sort of curve has zero area and zero volume.

It would make sense to ask about the integral of the product of two parameterized curves: [itex]\int_{t_0}^{t_1} { f_1(x(t),y(t)) f2(x(t),y(t))} dt.[/itex].

It would make sense to ask about a "line integral". Are you asking about line integrals?
 
Last edited:
Stephen Tashi said:
The integral of the usual sort of curve over an area or volume will be zero because the usual sort of curve has zero area and zero volume.

It would make sense to ask about the integral of the product of two parameterized curves: [itex]\int_{t_0}^{t_1} { f_1(x(t),y(t)) f2(x(t),y(t))} dt.[/itex].

It would make sense to ask about a "line integral". Are you asking about line integrals?
To avoid "zero volume" problem let's put f1 into delta-function.
Something like this : DiracDelta[x-x(t)] DiracDelta[y-y(t)] f2 . So after using properties of DiracDelta, integration will be done easily. That's right?
 
sukharef said:
To avoid "zero volume" problem let's put f1 into delta-function.
Something like this : DiracDelta[x-x(t)] DiracDelta[y-y(t)] f2 . So after using properties of DiracDelta, integration will be done easily. That's right?

Using Dirac Delta functions doesn't define a mathematical problem.

For example let [itex]f_2(x,yz)[/itex] to be the constant function [itex]f_2(x,y) = 1[/itex]. Let [itex]f_1(x(t),y(t))[/itex] be the line [itex]f_1(x(t),y(t)) = (t,0)[/itex].

Are you asking about whether the notation [itex]\int_0^1 \int_0^1 \delta(x-x(t)) \delta(y-y(t)) (1)\ dy\ dx[/itex] has a mathematical definition? It doesn't. The role of [itex]t[/itex] is unclear.
 
Stephen Tashi said:
Using Dirac Delta functions doesn't define a mathematical problem.

For example let [itex]f_2(x,yz)[/itex] to be the constant function [itex]f_2(x,y) = 1[/itex]. Let [itex]f_1(x(t),y(t))[/itex] be the line [itex]f_1(x(t),y(t)) = (t,0)[/itex].

Are you asking about whether the notation [itex]\int_0^1 \int_0^1 \delta(x-x(t)) \delta(y-y(t)) (1)\ dy\ dx[/itex] has a mathematical definition? It doesn't. The role of [itex]t[/itex] is unclear.
that's the question, then. parameter t is the only way to define the curve. so what can we do here? we either have to find an analytical way to define the curve without "t" or to find some math tool that modifies the expression that takes into account "t" somehow , i don't know. that's what I'm looking for.
 
sukharef said:
that's the question, then. parameter t is the only way to define the curve. so what can we do here? we either have to find an analytical way to define the curve without "t" or to find some math tool that modifies the expression that takes into account "t" somehow , i don't know. that's what I'm looking for.

The most likely scenario is that you have incorrectly formulated a situation as a mathematical problem.. What situation do you think you are solving by writing down an expression the requires integrating a curve over a volume? For example, if this is supposed to solve a problem in physics, what is the statement of that problem?
 
Stephen Tashi said:
The most likely scenario is that you have incorrectly formulated a situation as a mathematical problem.. What situation do you think you are solving by writing down an expression the requires integrating a curve over a volume? For example, if this is supposed to solve a problem in physics, what is the statement of that problem?
the problem is to calculate spectral-angular density ("sad") of radiation produced by electron that moves through spiral curve along it's axis.
so basic expression for "sad" is :
01abadc34059.jpg
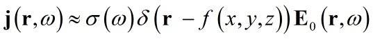
, where k - wave vector, j - current density. To make it simple current desity can be represented as
1c7af96223fe.jpg
where G - conductivity, E0 - field of the particle and f(x(t),y(t),z(t)) == r(t) represents the spiral cerve of "zero-volume" (i'm doing it to avoid problem with an object of non-zero volume let's say).
So after this problem of the integration appears:
fc7d54ff07cb.jpg
.
 
  • #10
As I understand the situation, you have a point charge that moves along a path. It's motion causes an time varying E&M field and you can associate a time varying E&M energy flux with that field. At a given point (x,y,z) in space there is a time varying E&M flux. What is the definition of the radiation density that you want to calculate? Is it an average radiation density - averaged over both space and time ? Or is it a radiation density that is a function of (x,y,z) and time t ?
 
  • #11
Stephen Tashi said:
As I understand the situation, you have a point charge that moves along a path. It's motion causes an time varying E&M field and you can associate a time varying E&M energy flux with that field. At a given point (x,y,z) in space there is a time varying E&M flux. What is the definition of the radiation density that you want to calculate? Is it an average radiation density - averaged over both space and time ? Or is it a radiation density that is a function of (x,y,z) and time t ?
radiation density - at large distances, field energy that contains withing a solid angle - dOmega - , frequency range - domega - , with towards wave vector k. Here "radiation" is diffraction radiation, produced by induced currents that caused by a point charge's field.
 
  • #12
The solid angle is referenced to some origin. Is it (0,0,0) ? Because the particle moves, the radiation density within a solid angle referenced to (0,0,0) is not constant in time - is that correct?
 
  • #13
Stephen Tashi said:
The solid angle is referenced to some origin. Is it (0,0,0) ? Because the particle moves, the radiation density within a solid angle referenced to (0,0,0) is not constant in time - is that correct?
Yes. The thing is that we want to see "integrated over time" field energy , so it will be constant in time withing the solid angle.
 
  • #14
Then I think the problem has the form:

average radiation density = [itex]\int_{T}\ [\ \int_{(X,Y,Z)} f(x(t),y(t),z(t)) \ dx\ dy\ dz)\ ]\ dt[/itex]

The integral [itex]\int_{(X,Y,Z)} f(x(t),y(t),z(t))\ dx\ ,dy\ dz[/itex] is computed regarding [itex]t[/itex] as a constant. This is not the integral of a function along a line. It is the integral of a time varying function defined everywhere within a volume.

Can you compute it as:

average radiation density = [itex]\int_{(X,Y,Z)} \ [ \ \int_{T} f(x(t),y(t),z(t)) dt\ ]\ dx\ dy\ dz[/itex]

?
 
  • #15
Stephen Tashi said:
Then I think the problem has the form:

average radiation density = [itex]\int_{T}\ [\ \int_{(X,Y,Z)} f(x(t),y(t),z(t)) \ dx\ dy\ dz)\ ]\ dt[/itex]

The integral [itex]\int_{(X,Y,Z)} f(x(t),y(t),z(t))\ dx\ ,dy\ dz[/itex] is computed regarding [itex]t[/itex] as a constant. This is not the integral of a function along a line. It is the integral of a time varying function defined everywhere within a volume.

Can you compute it as:

average radiation density = [itex]\int_{(X,Y,Z)} \ [ \ \int_{T} f(x(t),y(t),z(t)) dt\ ]\ dx\ dy\ dz[/itex]

?
i guess it's not an option because [itex]\ \int_{T} f(x(t),y(t),z(t)) dt\[/itex] does not depend on any x,y,z ( x(t) = r1*cos(t), y(t) = ... , z(t) = ... ) so integration over x,y,z in [itex]\int_{(X,Y,Z)} dx\ dy\ dz[/itex] will give us V.
 
  • #16
sukharef said:
i guess it's not an option because [itex]\ \int_{T} f(x(t),y(t),z(t)) dt\[/itex] does not depend on any x,y,z ( x(t) = r1*cos(t), y(t) = ... , z(t) = ... ) so integration over x,y,z in [itex]\int_{(X,Y,Z)} dx\ dy\ dz[/itex] will give us V.

If we are consider a fixed point in space [itex](x,y,z)[/itex], the E&M field at that point depends on the distance between the [itex](x,y,z)[/itex] and the position of the particle [itex](x_p(t),y_p(t),z_p(t))[/itex] The function we need to integrate can be expressed as [itex]f( x - x_p(t), y - y_p(t), z - z_p(t) )[/itex] so
[itex]\int_T f(x - x_p(t),y - y_p(t), z - z_p(t)) dt = g(x,y,z)[/itex] This is defined for each [itex](x,y,z)[/itex] in a volume.
 
  • #17
Stephen Tashi said:
If we are consider a fixed point in space [itex](x,y,z)[/itex], the E&M field at that point depends on the distance between the [itex](x,y,z)[/itex] and the position of the particle [itex](x_p(t),y_p(t),z_p(t))[/itex] The function we need to integrate can be expressed as [itex]f( x - x_p(t), y - y_p(t), z - z_p(t) )[/itex] so
[itex]\int_T f(x - x_p(t),y - y_p(t), z - z_p(t)) dt = g(x,y,z)[/itex] This is defined for each [itex](x,y,z)[/itex] in a volume.
i don'e get it. Parameter t has only one definition - parametric parameter of the curve, spiral curve. Has it anything to do with the position of the particle [itex](x_p(t),y_p(t),z_p(t))[/itex] ? we have to take into account parametric parameter in the integration over the volume. or maybe I'm wrong?
 
  • #18
sukharef said:
i don'e get it. Parameter t has only one definition - parametric parameter of the curve, spiral curve.
That is correct. let [itex]t =[/itex] time.

Has it anything to do with the position of the particle [itex](x_p(t),y_p(t),z_p(t))[/itex] ? we have to take into account parametric parameter in the integration over the volume. or maybe I'm wrong?

Let (x,y,z) be a point in the volume. A point on the path of the electron is [itex](x_p(t),y_p(t),z_p(t))[/itex].

At each point [itex](x,y,z)[/itex] the the volume, the radiation field depends on the distance between [itex](x,y,z)[/itex] and the electron. The radiation field is a function of
[itex]\frac{1}{r^2} = \frac{1}{(x - x_p(t))^2 + (y - y_p(t))^2 + (z - z_p(t))^2}[/itex]. So the field and field density is a function F(x,y,z,t).

[itex]\int_T F(x,y,z,t) dt = G(x,y,z)[/itex] There is no variable [itex]t[/itex] in G(x,y,z). We can integrate G(x,y,z) over the volume.
 
  • #19
Stephen Tashi said:
That is correct. let [itex]t =[/itex] time.
Let (x,y,z) be a point in the volume. A point on the path of the electron is [itex](x_p(t),y_p(t),z_p(t))[/itex].

At each point [itex](x,y,z)[/itex] the the volume, the radiation field depends on the distance between [itex](x,y,z)[/itex] and the electron. The radiation field is a function of
[itex]\frac{1}{r^2} = \frac{1}{(x - x_p(t))^2 + (y - y_p(t))^2 + (z - z_p(t))^2}[/itex]. So the field and field density is a function F(x,y,z,t).

[itex]\int_T F(x,y,z,t) dt = G(x,y,z)[/itex] There is no variable [itex]t[/itex] in G(x,y,z). We can integrate G(x,y,z) over the volume.
i believe that is not exactly right, because there is also dependence on the path that the electron has covered and this dependence takes into account the spiral curve and it's shape, because it is the source of the radiation we consider.
 
  • #20
sukharef said:
i believe that is not exactly right, because there is also dependence on the path that the electron has covered.

The dependence on the path the electron has covered is implemented when we do the integration with respect to [itex]t[/itex]. Of course you have to know the correct function to integrate with respect to t.
 
  • #21
yes, but what about the spiral curve and it's shape?
Stephen Tashi said:
The dependence on the path the electron has covered is implemented when we do the integration with respect to [itex]t[/itex]. Of course you have to know the correct function to integrate with respect to t.
that's right, but i don't have it because field itself is the electron field and radiation field. And to find the last one i have to solve Maxwell's equation first and then do the next step whatever it is. The thing is that to find spectral-angular density i don't have to know radiation field itself, only coordinate dependence.
 

Similar threads

  • · Replies 4 ·
Replies
4
Views
2K
  • · Replies 4 ·
Replies
4
Views
2K
  • · Replies 1 ·
Replies
1
Views
3K
  • · Replies 3 ·
Replies
3
Views
2K
  • · Replies 1 ·
Replies
1
Views
2K
  • · Replies 11 ·
Replies
11
Views
4K
  • · Replies 7 ·
Replies
7
Views
2K
  • · Replies 6 ·
Replies
6
Views
2K
  • · Replies 3 ·
Replies
3
Views
2K
  • · Replies 11 ·
Replies
11
Views
3K