Partial derivative of radial basis function

Click For Summary
SUMMARY

The discussion focuses on calculating the partial derivatives of a radial basis function defined as f(x,y) = a + b_1x + b_2y + ∑_{j=1}^{N}c_j((x-x_j)²+(y-y_j)²)^(3/2). The participants clarify the application of the chain rule in deriving the partial derivatives ∂f/∂x and ∂f/∂y. The correct expressions derived are ∂f/∂x = b_1 + ∑_{j=1}^{N}(3/2)c_j((x-x_j)²+(y-y_j)²)^(1/2)(2(x-x_j)) and ∂f/∂y = b_2 + ∑_{j=1}^{N}(3/2)c_j((x-x_j)²+(y-y_j)²)^(1/2)(2(y-y_j)).

PREREQUISITES
  • Understanding of partial derivatives
  • Familiarity with the chain rule in calculus
  • Knowledge of radial basis functions
  • Basic algebraic manipulation skills
NEXT STEPS
  • Study the application of the chain rule in multivariable calculus
  • Explore radial basis function networks and their applications
  • Learn about the properties of derivatives in higher dimensions
  • Investigate numerical methods for evaluating partial derivatives
USEFUL FOR

Students and professionals in mathematics, engineering, and data science who are working with multivariable functions and require a solid understanding of partial derivatives and radial basis functions.

Fritzmit
Messages
2
Reaction score
0

Homework Statement



Calculate the partial derivatives (∂f/∂x & ∂f/∂y)

Homework Equations

261hoq9.png

The Attempt at a Solution



really confusing me with the use of the summation and power to 3/2. This is my attempt, most definitely wrong but still tried.

∂f/∂x = x + c1*(2*(x-x1))*([( x-x1 )^2 + (y-y1)^2)]^(1/2)) + ... + cN*(2*(x-xN))*([( x - xN )^2 + (y-yN)^2)]^(1/2))

∂f/∂y = y + c1*(2*(y-y1))*([( x-x1 )^2 + (y-y1)^2)]^(1/2)) + ... + cN*(2*(y-yN))*([( x - xN )^2 + (y-yN)^2)]^(1/2))

sorry, I probably should know this, but I can't really think straight right now -_-
not sure if its just double chain rule or what...

thank you for any help
 
Physics news on Phys.org
looks close
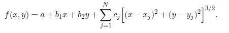
[tex] f(x,y) = a + b_1x + b_2y + \sum_{j=1}^{N}c_j((x-x_j)^2+(y-y_j)^2)^{\frac{3}{2}}[/tex]

there's no problem taking the partial derivative under the sum, so as you say it just becomes a chain rule question
[tex] f_x = \frac{\partial}{\partial x}f(x,y) = \frac{\partial}{\partial x}(a + b_1x + b_2y + \sum_{j=1}^{N}c_j((x-x_j)^2+(y-y_j)^2)^\frac{3}{2}[/tex]

[tex] f_x = b_1 + \sum_{j=1}^{N}\frac{\partial}{\partial x}c_j((x-x_j)^2+(y-y_j)^2)^\frac{3}{2}[/tex]

using the chain rule once gives
[tex] f_x = b_1 + \sum_{j=1}^{N}\frac{3}{2}c_j((x-x_j)^2+(y-y_j)^2)^\frac{1}{2} \frac{\partial}{\partial x}((x-x_j)^2+(y-y_j)^2)[/tex]

second time
[tex] f_x = b_1 + \sum_{j=1}^{N}\frac{3}{2}c_j((x-x_j)^2+(y-y_j)^2)^\frac{1}{2} 2(x-x_j)\frac{\partial}{\partial x}(x-x_j)[/tex]
 
Much appreciated lanedance, cheers
 

Similar threads

  • · Replies 2 ·
Replies
2
Views
2K
  • · Replies 6 ·
Replies
6
Views
2K
  • · Replies 4 ·
Replies
4
Views
1K
  • · Replies 5 ·
Replies
5
Views
2K
  • · Replies 3 ·
Replies
3
Views
2K
  • · Replies 6 ·
Replies
6
Views
2K
Replies
26
Views
4K
  • · Replies 8 ·
Replies
8
Views
2K
Replies
9
Views
2K
  • · Replies 3 ·
Replies
3
Views
3K