For this Partial Derivative -- Why are different results obtained?

Click For Summary

Homework Help Overview

The discussion revolves around calculating the derivative of a function F(x,y) = A*x*x*y with respect to the variable (1/x). Participants explore different approaches to this derivative, including a change of variable and direct substitution, leading to differing results.

Discussion Character

  • Exploratory, Assumption checking, Mathematical reasoning

Approaches and Questions Raised

  • Participants discuss using a change of variable (u = 1/x) to derive the function and compare it with directly substituting (1/x) into the original function. Questions arise about the validity of these methods and the reasons for obtaining different results.

Discussion Status

Some participants provide insights into the chain rule and the importance of consistent variable treatment. There is ongoing exploration of the implications of treating x and (1/x) as independent variables, with no clear consensus reached on the differences in results.

Contextual Notes

Participants note potential confusion stemming from mixing variable representations and the need for clarity in function definitions when applying differentiation rules.

Silvia2023
Messages
6
Reaction score
0
Homework Statement
dF(x,y)/d(1/x)
Relevant Equations
dF(x,y)/d(1/x)
Given a function F(x,y)=A*x*x*y, calculate dF(x,y)/d(1/x), to calculate this derivative I make a change of variable, let u=1/x, then the function becomes F(u,y)=A*(1/u*u)*y, calculating the derivative with respect to u, we have dF/du=-2*A*y*(1/(u*u *u)) replacing we have dF/d(1/x)=-2*A*x*x*x*y
On the other hand, if we create the same original function, but as a function of (1/x), F(x,y)=A*(1/x)*(1/x)*x*x*(x*x) *y we derive with respect to (1/x) we have dF/d(1/x)= A *x*x*x*y Why are different results obtained?. Maybe I am wrong in something simple, but fundamental. Could you help me?
Best regards
Silvia
 
Physics news on Phys.org
Silvia2023 said:
Homework Statement: dF(x,y)/d(1/x)
Relevant Equations: dF(x,y)/d(1/x)

Given a function F(x,y)=A*x*x*y, calculate dF(x,y)/d(1/x), to calculate this derivative I make a change of variable, let u=1/x, then the function becomes F(u,y)=A*(1/u*u)*y, calculating the derivative with respect to u, we have dF/du=-2*A*y*(1/(u*u *u)) replacing we have dF/d(1/x)=-2*A*x*x*x*y
On the other hand, if we create the same original function, but as a function of (1/x), F(x,y)=A*(1/x)*(1/x)*x*x*(x*x) *y we derive with respect to (1/x) we have dF/d(1/x)= A *x*x*x*y Why are different results obtained?. Maybe I am wrong in something simple, but fundamental. Could you help me?
Best regards
Silvia
Think about the chain rule. ##\frac{\partial F}{\partial x} = \frac{\partial F}{\partial u} \cdot ?##
 
Thanks for your answer; I'm thinking about the chain rule, but that doesn't answer my question about why the difference between these 2 ways, one with a change of variable and the other replacing the variable with respect to which I want to derive the function in the original function
 
I cannot figure out what you are trying to do in the second part.
 
  • Like
Likes   Reactions: berkeman
Silvia2023 said:
Given a function F(x,y)=A*x*x*y, calculate dF(x,y)/d(1/x), to calculate this derivative I make a change of variable, let u=1/x, then the function becomes F(u,y)=A*(1/u*u)*y, calculating the derivative with respect to u, we have dF/du=-2*A*y*(1/(u*u *u)) replacing we have dF/d(1/x)=-2*A*x*x*x*y
The function definition says to form the product of A, the square of the first argument, and the second argument. So wouldn't F(u, y) be ##Au^2y##?

In any case, what you want is this:
$$\frac{\partial F(x, y)}{\partial (1/x)}$$
Per the chain rule
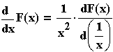
$$\frac{\partial F(x, y)}{\partial (1/x)} = \frac{\partial F(x, y)}{\partial x} \cdot \frac{dx}{d(1/x)}$$
The 2nd fraction on the right side is the reciprocal of ##\frac d {dx}\left(1/x\right)##.
Using this logic I get exactly what you got.
Silvia2023 said:
On the other hand, if we create the same original function, but as a function of (1/x), F(x,y)=A*(1/x)*(1/x)*x*x*(x*x) *y we derive with respect to (1/x) we have dF/d(1/x)= A *x*x*x*y Why are different results obtained?.
I can't make sense of this, either.
 
  • Like
Likes   Reactions: PeroK
Mark44 said:
So wouldn't F(u, y) be Au2y?
No, the OP was correct. F(u,y)=Ay/u2
 
Frabjous said:
No, the OP was correct. F(u,y)=Ay/u2
I don't see why -- The function is given as ##F(x, y) = Ax^2y##, so ##F(3, y) = A(3)^2y## and ##F(u, y) = Au^2y##. You can't just willy-nilly change the role of the function parameters.
 
Mark44 said:
I don't see why -- The function is given as ##F(x, y) = Ax^2y##, so ##F(3, y) = A(3)^2y## and ##F(u, y) = Au^2y##. You can't just willy-nilly change the role of the function parameters.
You are overthinking it. The OP defined u=1/x.
 
Frabjous said:
You are overthinking it. The OP defined u=1/x.
So ##F(u, y) = Au^2y = A(1/x)^2y = F(1/x, y)##
Am I missing something?
 
  • Like
Likes   Reactions: SammyS
  • #10
Mark44 said:
So ##F(u, y) = Au^2y = A(1/x)^2y = F(1/x, y)##
Am I missing something?
The OP is doing a change of variables, not a substitution.
 
  • #11
Silvia2023 said:
if we create the same original function, but as a function of (1/x), F(x,y)=A*(1/x)*(1/x)*x*x*(x*x) *y
No, that's not correct. If you insist on writing ##F((1/x), y)## instead of doing the much more convenient change of variable you did already, then you will have

$$
F((1/x), y) = A \frac{1}{(1/x)} \frac{1}{(1/x)} y
$$

Applying the chain rule to this will work the same as the change of variable version you already did.
 
  • Like
Likes   Reactions: Frabjous
  • #12
Frabjous said:
I cannot figure out what you are trying to do in the second part.
In the second part I am building the same original function, but with (1/x), if you look closely it is the same function as the original, the 2 elements of (1/x) are canceled with x*x and the original function remains, this is F(x,y)= A*((1/x)*(1/x)*x*x)*x*x*y , and then I differentiate with respect to (1/x)...............dF(x,y)d(1/x)=A*x*x*x*y
 
  • #13
Silvia2023 said:
In the second part I am building the same original function, but with (1/x), if you look closely it is the same function as the original, the 2 elements of (1/x) are canceled with x*x and the original function remains, this is F(x,y)= A*((1/x)*(1/x)*x*x)*x*x*y , and then I differentiate with respect to (1/x)...............dF(x,y)d(1/x)=A*x*x*x*y
It is not obvious how you got that answer. See post 11 for the proper way to go along that path.
 
  • #14
Silvia2023 said:
In the second part I am building the same original function, but with (1/x)
And you did so incorrectly, as I pointed out in post #11.
 
  • #15
Silvia2023 said:
F(x,y)= A*((1/x)*(1/x)*x*x)*x*x*y
If you are going to treat this as a function of ##(1 / x)## and differentiate it, then you need to write it as:

$$
F((1/x), y) = A (1 / x) (1 / x) \frac{1}{(1 / x)} \frac{1}{(1 / x)} \frac{1}{(1 / x)} \frac{1}{(1 / x)} y
$$

(And of course the obvious thing to do here before differentiating would be to cancel out factors of ##(1 / x)## to get the simpler expression I gave in post #11.)

In other words, you cannot treat ##x## as a variable independent of ##(1 / x)##. To do things properly you have to either write ##F## entirely in terms of ##x##, or entirely in terms of ##(1 / x)##. You can't mix the two and pretend that ##F## is a function of ##x## and ##(1 / x)## separately.
 
  • Like
Likes   Reactions: Silvia2023
  • #16
Frabjous said:
I cannot figure out what you are trying to do in the second part.
In other words, I give another example:
F(x,y)=B*x*x*y*y*y=B*(x*y)*(x*y)*y
dF(x,y)/d(xy)= B*x*y*y I handle the product of x by y as a single variable, it is the same as I want to do in the previous case, but with the factor (1/ x)
 
  • #17
Silvia2023 said:
I give another example
Please take a look at post #11 (and #15) before you post again.
 
  • Like
Likes   Reactions: Frabjous
  • #18
PeterDonis said:
If you are going to treat this as a function of ##(1 / x)## and differentiate it, then you need to write it as:

$$
F((1/x), y) = A (1 / x) (1 / x) \frac{1}{(1 / x)} \frac{1}{(1 / x)} \frac{1}{(1 / x)} \frac{1}{(1 / x)} y
$$

(And of course the obvious thing to do here before differentiating would be to cancel out factors of ##(1 / x)## to get the simpler expression I gave in post #11.)

In other words, you cannot treat ##x## as a variable independent of ##(1 / x)##. To do things properly you have to either write ##F## entirely in terms of ##x##, or entirely in terms of ##(1 / x)##. You can't mix the two and pretend that ##F## is a function of ##x## and ##(1 / x)## separately.
Ok, I understand what you mean, thanks
 
  • #19
Post 11:
PeterDonis said:
$$
F((1/x), y) = A \frac{1}{(1/x)} \frac{1}{(1/x)} y
$$
This may seem obvious to you, but you lost me here. Since ##F(x, y) = Ax^2y## why wouldn't ##F(1/x, y)## be ##A(1/x)^2y## or ##A\frac y {x^2}##?

As I wrote before, with the substitution u = 1/x, ##F(u, y) = Au^2y = A(1/x)^2y## which equals ##A\frac y {x^2}## if we undo the substitution.

Again, is there something I'm missing here?

Same questions with regard to post 15:
PeterDonis said:
$$F((1/x), y) = A (1 / x) (1 / x) \frac{1}{(1 / x)} \frac{1}{(1 / x)} \frac{1}{(1 / x)} \frac{1}{(1 / x)} y$$
 
  • #20
Mark44 said:
Again, is there something I'm missing here?
You're right. The others are using physicists' math and abusing notation.
 
  • Love
Likes   Reactions: SammyS and Mark44
  • #21
Mark44 said:
This may seem obvious to you, but you lost me here
It's a simple change of variable, but using the notation ##(1 / x)## for the new variable instead of ##u## to make clear the functional relationship to the old variable.

Mark44 said:
As I wrote before, with the substitution u = 1/x, ##F(u, y) = Au^2y = A(1/x)^2y## which equals ##A\frac y {x^2}## if we undo the substitution.
Now you're the one that's lost me. Undoing the change of variable should recover the original form of the function. If ##F(x, y) = A x^2 y##, and ##u = 1/x##, then ##F(u, y) = A (1 / u^2) y##, not ##A u^2 y##. Then undoing the variable change means setting ##x = 1 / u## and going back from ##F(u, y) = A (1 / u^2) y## to ##F(x, y) = A x^2 y##.
 
Last edited:
  • #22
Mark44 said:
Since ##F(x, y) = Ax^2y## why wouldn't ##F(1/x, y)## be ##A(1/x)^2y## or ##A\frac y {x^2}##?
Because, as I put it in post #15, ##(1 / x)## is not independent of ##x##, so you can't just plug ##(1 / x)## into the formula for ##F(x, y)## as if it were a separate, independent variable.
 
  • #23
Mark44 said:
In any case, what you want is this:
$$\frac{\partial F(x, y)}{\partial (1/x)}$$
Per the chain rule
$$\frac{\partial F(x, y)}{\partial (1/x)} = \frac{\partial F(x, y)}{\partial x} \cdot \frac{dx}{d(1/x)}$$
The 2nd fraction on the right side is the reciprocal of ##\frac d {dx}\left(1/x\right)##.
Using this logic I get exactly what you got.
Note that here you are, correctly, treating ##(1 / x)## as a function of ##x##, not an independent variable.
 
  • #24
Randomly bumped into this thread, but I think what Mark is trying to point out is basically, that if you have a function ##f(x)##, and you want to perform a substitution ##x = \tfrac{1}{u}##, what you get is not a function ##f(u)##, but rather a function ##g(u) = f(\tfrac{1}{u})##. Meaning that with ##f## we define a certain functional relation, which changes after substitution, and so if we just write ##f(u)##, we don't account for this change(or we do maybe, but we abuse the notation and so we gotta be aware of what we're doing).
This is effectively the same thing that's pointed out later in Peter's post, where he comments on ##x## and ##\tfrac{1}{x}## being dependent.

So in your scenario: ##F(x,y) = Ax^2y##, you perform the substitution, and you find ##F(\tfrac{1}{u},y) = A\tfrac{1}{u^2}y##, you have to substitute both inside ##F## and outside, not just on one side, because that's incorrect. If you write it this way, you see that you can't evade using chain rule, which you evaded in your first post and that was the mistake.
 
  • Like
Likes   Reactions: vela, Silvia2023, PeterDonis and 1 other person
  • #25
Hello, I need solve this Functional equation, thanks
1737419022865.png
 
  • #26
Thread closed for Moderation.
 
  • #27
Silvia2023 said:
Hello, I need solve this Functional equation, thanks View attachment 356141
@Silvia2023 -- Please post this new problem in a new thread here in the schoolwork forums, and show your work so that we can offer you help. You must show your work in order to get help here.

I will also send you some tips for how to post math equations at PF using LaTeX. This thread will remain closed.
 

Similar threads

  • · Replies 5 ·
Replies
5
Views
2K
Replies
5
Views
2K
  • · Replies 2 ·
Replies
2
Views
2K
  • · Replies 4 ·
Replies
4
Views
2K
Replies
4
Views
2K
Replies
8
Views
2K
  • · Replies 19 ·
Replies
19
Views
2K
  • · Replies 6 ·
Replies
6
Views
2K
  • · Replies 5 ·
Replies
5
Views
1K
  • · Replies 4 ·
Replies
4
Views
1K