Period of a simple pendulum with a magnet under it

Click For Summary

Homework Help Overview

The discussion revolves around the period of a simple pendulum influenced by a magnet, with participants debating the relationship between force and gravitational acceleration in this context.

Discussion Character

  • Conceptual clarification, Assumption checking, Mixed

Approaches and Questions Raised

  • Participants explore the correctness of the ratio F/mg, with some suggesting that gravity must be considered in the presence of the magnet. Others raise questions about the effects of eddy currents and superconductivity on the pendulum's motion.

Discussion Status

The discussion is ongoing, with multiple interpretations being explored regarding the forces acting on the pendulum. Some participants express agreement with the original poster's reasoning, while others introduce additional factors that may influence the outcome.

Contextual Notes

There is mention of varying assumptions regarding the presence of gravity and the effects of eddy currents, as well as a reference to superconductivity, which may complicate the analysis.

MatinSAR
Messages
673
Reaction score
205
Homework Statement
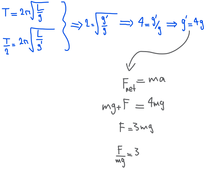
The period of a simple pendulum with an iron ball is T. If we put a magnet under it, its period becomes T/2. What is F/mg equal to?(F is the force that is exerted by the magnet.)
Relevant Equations
T = 2π Square root of√L/g
Hi ...
I have answered this question and I think that F/mg equals 3.
But I've asked it from someone and he told me that F/mg is 4.
Can someone help me find out which one is correct ???

My answer :
1672009637887.png
 
Physics news on Phys.org
I'm with you.
My guess is the other solver forgot gravity still acts when the magnet is present.
 
  • Like
Likes   Reactions: MatinSAR
haruspex said:
My guess is the other solver forgot gravity still acts when the magnet is present.
Yes he said he ignored gravity.
Thank you for your time.
 
Just to be nit picking, there would be an additional force due to eddy currents induced in the iron ball as it swings past the magnet that will damp the motion.
 
  • Like
Likes   Reactions: MatinSAR
kuruman said:
Just to be nit picking, there would be an additional force due to eddy currents induced in the iron ball as it swings past the magnet that will damp the motion.
Owing to a breakthrough in metallurgy, it is superconducting.
 
  • Like
Likes   Reactions: malawi_glenn and MatinSAR
kuruman said:
Just to be nit picking, there would be an additional force due to eddy currents induced in the iron ball as it swings past the magnet that will damp the motion.
What if we ignore eddy currents ? Because if it is not omitted, the periodicity is not defined for movement.
Do you agree with F/mg=3 in this case ?

haruspex said:
Owing to a breakthrough in metallurgy, it is superconducting.
I didn't understand ...
Can you please tell me if you disagree with my answer ...
 
MatinSAR said:
I didn't understand ...
Can you please tell me if you disagree with my answer ...
It was just an attempt at a humorous response to @kuruman's nitpick.
I agree with your answer.
 
  • Like
Likes   Reactions: MatinSAR
haruspex said:
It was just an attempt at a humorous response to @kuruman's nitpick.
I agree with your answer.
I understand ...
Thanks again ...
 
I too agree with your answer. I am sorry that my attempt at levity confused you.
 
  • Like
Likes   Reactions: MatinSAR
  • #10
kuruman said:
I too agree with your answer. I am sorry that my attempt at levity confused you.
I'm sorry I'm not a native speaker of English and this is why I didn't understand.
Thank you ...
 

Similar threads

  • · Replies 20 ·
Replies
20
Views
2K
  • · Replies 14 ·
Replies
14
Views
2K
  • · Replies 9 ·
Replies
9
Views
3K
  • · Replies 27 ·
Replies
27
Views
2K
Replies
3
Views
2K
  • · Replies 32 ·
2
Replies
32
Views
3K
Replies
17
Views
3K
  • · Replies 16 ·
Replies
16
Views
2K
  • · Replies 7 ·
Replies
7
Views
6K