Potential Difference Problem - setting up the integral

Click For Summary

Homework Help Overview

The discussion revolves around a potential difference problem involving the setup of an integral for calculating voltage, specifically using the equation V=kq/x. Participants are examining different approaches to integrating the expression and the implications of variable changes in their calculations.

Discussion Character

  • Exploratory, Assumption checking, Mathematical reasoning

Approaches and Questions Raised

  • The original poster attempts to understand why their initial integration approach, which uses a different variable setup, leads to an incorrect answer. They question the validity of both methods presented. Other participants discuss the implications of changing integration variables and the importance of maintaining consistent variable naming to avoid confusion.

Discussion Status

Participants are actively engaging with the original poster's confusion, providing clarifications about variable changes and their effects on the integration process. There is a constructive exchange of ideas, with some participants offering insights into potential pitfalls in variable naming and integration limits.

Contextual Notes

There appears to be a focus on the correct setup of the integral and the handling of variable changes, with an emphasis on ensuring clarity in variable definitions. The original poster expresses uncertainty about their approach, indicating a need for deeper understanding rather than a straightforward solution.

Taulant Sholla
Messages
96
Reaction score
5

Homework Statement


Untitled.png


Homework Equations


V=kq/x​

The Attempt at a Solution


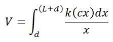
I know the correct solution. It's...​
Capture.JPG

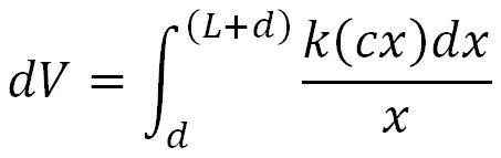
On my first attempt, rather than use (d+x) in the denominator and integrate from 0 to L, I instead used (x) and integrated from (d) to (L+d).
der.JPG

This produces the wrong answer, but why does it produce the wrong answer? Both approaches seem to capture the setup and handle the integration correctly. Obviously I'm wrong, but - again - why/how am I wrong? Thank you.
 

Attachments

  • Capture.JPG
    Capture.JPG
    3.5 KB · Views: 643
  • Untitled.png
    Untitled.png
    7.5 KB · Views: 822
  • der.JPG
    der.JPG
    6.4 KB · Views: 395
  • der.JPG
    der.JPG
    3 KB · Views: 365
  • der.JPG
    der.JPG
    10.1 KB · Views: 326
Physics news on Phys.org
##\lambda## is no longer ##cdx## if you change variables. You can avoid this kind of oversight by using a different integration variable name, e.g. ##u ## or ##v##, but not the same name ##x##
 
Thank you! However, question: where did I "change variables" and/or why is λ no longer cdx?
 
You changed the integration variable ##x## that runs from 0 to L into a variable with name e.g. ##u## that runs from d to d + L. In other words ##u = x+d##. When ##x = 0##, ##\lambda = cx=0##, but when ##u=d##, then ##\lambda \ne cu##.
 
Ah, thank you so much. This is very helpful. I appreciate your explanation very much!
 
You're welcome. That's what PF is for... :biggrin:
 

Similar threads

Replies
1
Views
2K
  • · Replies 1 ·
Replies
1
Views
1K
Replies
7
Views
3K
  • · Replies 7 ·
Replies
7
Views
3K
Replies
2
Views
1K
  • · Replies 14 ·
Replies
14
Views
2K
  • · Replies 2 ·
Replies
2
Views
2K
  • · Replies 4 ·
Replies
4
Views
3K
  • · Replies 7 ·
Replies
7
Views
2K