Power and RMS Value of a Signal

Click For Summary

Discussion Overview

The discussion revolves around the calculation of power and RMS (Root Mean Square) values for signals, specifically focusing on two different methods for determining these values. Participants explore theoretical and practical aspects of these calculations, including the implications of different signal forms.

Discussion Character

  • Technical explanation
  • Debate/contested
  • Mathematical reasoning

Main Points Raised

  • One participant presents two methods for calculating power and RMS values of a signal, using the equation $$x(t) = 7\cos(20t + \frac{\pi}{2})$$.
  • Method #1 involves calculating power using the limit of the integral of the square of the signal over time, while Method #2 suggests using the amplitude squared divided by two to find power.
  • Another participant questions the validity of the equation $$P_{rms} = \sqrt{P_x}$$, pointing out dimensional inconsistencies and suggesting that the RMS value should not be denoted with a "P".
  • A later reply emphasizes that the average power for a signal with a constant term cannot simply be derived from the amplitude squared divided by two, indicating that Method #2 is not universally applicable.
  • One participant clarifies that the average power for a periodic signal can be computed by integrating the squared signal over one period, and that the RMS value is the square root of this average power.

Areas of Agreement / Disagreement

Participants express differing views on the correctness of the methods presented, with some arguing that Method #2 is only valid for specific signal forms, while others advocate for Method #1 as a more universally applicable approach. The discussion remains unresolved regarding which method is definitively correct.

Contextual Notes

There are limitations in the assumptions made about the signal forms, particularly regarding the presence of constant terms and their impact on power calculations. The discussion highlights the need for careful application of mathematical principles in different contexts.

JamesBennettBeta
Messages
10
Reaction score
1
Homework Statement
How to determine the power and RMS value of the given signals.
Relevant Equations
$$ P_{x} \ =\ \lim _{T\ \\rightarrow\infty } \ \frac{1}{T}\int _{-T/2}^{+T/2\ } x^{2} \ ( t) \ dt,$$

$$ P_{x} \ =\ \frac{A^{2}}{2},$$
I need to calculate the power and RMS value of some equations. The problem is, I found two methods to do that and don't know which is the right method.

I have few equations to find the power and RMS value, but here is one equation.

$$x( t) \ =\ 7\cos\left( 20t+\frac{\pi }{2}\right),$$
Method #1

To find the power value,
$$ P_{x} \ =\ \lim _{T\ \rightarrow\infty } \ \frac{1}{T}\int _{-T/2}^{+T/2\ } x^{2} \ ( t) \ dt ,$$

To find the RMS value,
$$ P_{rms} \ =\ \sqrt{P_{x}},$$

This seems the right method for me, but later I found a YouTube video with a completely different approach.

Methods #2

To find the power value,

$$ P_{x} \ =\ \frac{A^{2}}{2},$$

A is the amplitude of the equation.To find the RMS value,

$$ P_{rms} \ =\ \sqrt{P_{x}},$$
 
Physics news on Phys.org
Hi @JamesBennettBeta. Some of what you have written appears wrong/confusing. For example ##P_{rms} \ =\ \sqrt{P_{x}}## cannot be correct if “P” represents power, because the 2 sides of the equation would have different dimensions.
Maybe you are actually being asked to find the mean square value, and the rms value, of some function x(t). But that’s just a bit of a wild guess.

Can you post the complete, original question, word-for-word?
 
Last edited:
  • Like
Likes   Reactions: JamesBennettBeta
1625234872515.png


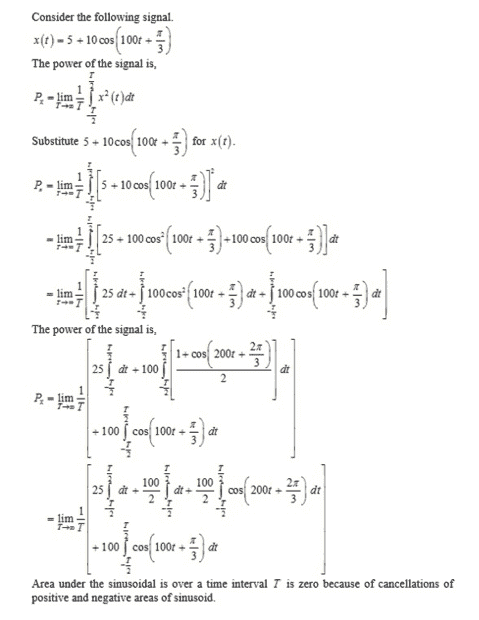
Thanks for your reply, the question is this. A problem raised since I have found two ways to solve this. Anyway, I don't know either one is correct or not.

Method #1

1625235166813.png

1625235192468.png


Method #2
Method two was explained in a video from an Indian Dr. I tried to solve the above problem using his way,
$$ \begin{array}{l}

5+10 cos \left( 100t+\frac{\pi }{3}\right)

Using\ the\ form\ A\ cos( \omega _{0} t\ +\ \theta )\\
Power\ of\ the\ signal,\\
\\
Px\ =\ \frac{A^{2}}{2} =\frac{10^{2}}{4} \ =\ 50w\\
\\
RMS\ value\ of\ the\ signal\\
\\
P_{RMS} \ =\ \sqrt{50} \ =\ 5\sqrt{2}
\end{array}$$

The answers are completely different. I want to know what is the right method.
 
JamesBennettBeta said:
A problem raised since I have found two ways to solve this. Anyway, I don't know either one is correct or not.
.
The answers are completely different. I want to know what is the right method.
A couple of general points first:

1. The rms value of a signal is not a power (it is the square-root of a power); it has the same dimensions as the signal itself. So do not use ##P_{rms}## as the symbol for the rms value of a signal; use (for example) ##x_{rms}##. So you could write ##x_{rms} = √P_x##.

(I will also note here that we are not using the term ‘power’ in the conventional sense of energy per unit time.)

2. The average value of sin(ωt+φ) or cos(ωt+φ) over a full cycle is zero. The average value of sin²(ωt+φ) or cos²(ωt+φ) over the same cycle is ½. These facts can save you a lot of work if correctly applied. (By applying them early, you can often save a lot of algebra.)
___________________________________

Your worked example is for x(t) = 5 + 10cos(100t + π/3). But this is not one of the questions you list (a – e). So I’m a bit confused a little by that.

Without checking your algebra detail, one point I note is that you appear to have incorrectly applied Method 2 when working out the power for x(t) = 5 + 10cos(100t + π/3).

I think that is the problem.

For a signal of the form:
x(t) = Acos(ωt + φ)
the average power is the average value of x² which is A²/2 (see point 2, above).

But for x(t) = 5 + 10cos(100t + π/3) you cannot take the average power to be A²/2 because of the constant term (5). For example the average power for
x(t) = 5 + 0.0001cos(100t + π/3) is a little over 5² = 25
(If that’s not clear, imagine a constant signal of x=5 units. The power is constant (25).)

And note you can't simply add the 25 to A²/2.

So method 2 will only work for some signals (but will save you a lot of time when correctly used). Method 1 will always work, but will require more work.

Sorry if that was a bit long-winded. Hope that it makes some sense!

Minor edits made.
 
Last edited:
  • Like
Likes   Reactions: SammyS and FactChecker
The "power" of a signal is simply the average power dissipated by a 1 ohm resistor. For an aperiodic signal this is simply the limiting expression that you posted. For a periodic signal (like a sinusoid) this reduces to integrating the (magnitude) signal squared over one period and dividing by that period. The RMS value of a signal is the square root of the (quantity) integral of the signal squared divided by the period. For a sinusoid of the form A*cos(w*t + phi) this reduces to A/sqrt(2). The RMS value of a constant signal (like a DC signal) is simply the value of that DC signal etc. When doing these integrations it is helpful to have a table of trigonometric identities remembering that integrating a sinusoid over one period is always zero. E.g., when integrating cos(x)^2 convert to 0.5*(1 + cos(2*x)) which, over a period, integrates to 0.5 as the second integral vanishes.
 

Similar threads

  • · Replies 7 ·
Replies
7
Views
2K
  • · Replies 1 ·
Replies
1
Views
2K
  • · Replies 2 ·
Replies
2
Views
2K
  • · Replies 20 ·
Replies
20
Views
5K
  • · Replies 26 ·
Replies
26
Views
6K
  • · Replies 8 ·
Replies
8
Views
8K
  • · Replies 4 ·
Replies
4
Views
8K
  • · Replies 4 ·
Replies
4
Views
8K
  • · Replies 1 ·
Replies
1
Views
3K
  • · Replies 9 ·
Replies
9
Views
2K