Pressure and Lift around a Wing

  • Thread starter Thread starter fog37
  • Start date Start date
  • Tags Tags
    Lift Pressure
AI Thread Summary
Airflow around a wing creates a pressure difference, with lower pressure above the wing and higher pressure below, resulting in lift. The downward motion of air is essential for generating this lift, as the wing diverts airflow downward, leading to an upward force on the wing. Bernoulli's principle indicates that faster-moving air has lower pressure, but understanding the molecular interactions behind this can be complex. Computational Fluid Dynamics (CFD) and wind tunnel tests are crucial for accurately modeling and verifying lift calculations. The discussion emphasizes the importance of recognizing the fundamental principles of aerodynamics while avoiding oversimplifications.
  • #101
It's almost trivial. No energy is added as the fluid flows through the system. So the average magnitude of the velocity vectors of the molecules remain constant. At position C, the velocity vectors point more in the direction of flow than they do at A. Because their average length has not increased, there are smaller velocity components in the direction pressing on the red horizontal lines at ##P_C## than at ##P_A##. That means static pressure ##P_C < P_A##.
 
Last edited:
Physics news on Phys.org
  • #102
fog37 said:
My dilemma was about ##P_A ## and ##P_C##
In addition to the reasoning used by @FactChecker...

In order for the flow to be as you assert with V2 > V1, it must be the case that there is a pressure gradient causing the flow to accelerate rightward (or decellerate leftward in the case of a flow moving right to left). Either way, ##P_a > P_c##
 
  • #103
Ok, thanks. So you are saying that the velocity vector magnitude at B is the same as the magnitude at point A and point C

"so the average velocity vectors of the molecules remain constant magnitude."

From the figure below, the pressure ##P_B < P_A## but the velocity vector at B is angle downward with a nonzero component towards the horizontal red surface A increasing the pressure while at point A the fluid particles don't have a bulk fluid velocity component perpendicular to the red surface. But that is not what happens since ##P_B < P_A## . I would argue that may the fact the fluid is incompressible and has to pass through a smaller cross-section it has to speed up hence the magnitudes of the velocity vectors at points A,B,C are different, with the fluid being the fastest at point C.

what about the pressure at point C where the tube is not sloped anymore? The pressure ##P_C <P_B##.

upload_2018-6-13_13-41-10.png
 

Attachments

  • upload_2018-6-13_13-41-10.png
    upload_2018-6-13_13-41-10.png
    2 KB · Views: 535
  • #104
I should have been more careful in my wording. To have constant energy, the magnitude of the velocity vectors, averaged over all molecules at a point, should remain constant. They will all point in random directions if there is no flow. If there is flow, they will tend to point toward the direction of flow. In any case, the amount of flow does not change the average magnitude -- only the direction they tend to point.

You have drawn the red line at position B horizontal, so it is not a static pressure. For it to be a static pressure, it should be tilted along a flow line. Otherwise, it will include some dynamic pressure. Because ##P_B## includes some dynamic pressure, you can not be sure that ##P_B < P_A##
 
Last edited:
  • #105
fog37 said:
Thank again. The more correct situation would be this:

View attachment 226925

Pressure ##P_B >P_C## and ##P_D>P_B##. My dilemma was about ##P_A ## and ##P_C## and why would one be smaller from the other from the conceptual point of view. These pressures are called "static" but was is static is the red measuring surface, not the fluid. If the fluid was stopped, the pressures at these two locations would be different than when the fluid is in motion and be about equal (neglecting the difference in depth).

"Static" pressure is so named because it is the pressure associated with the state of the fluid rather than the motion of it. In other words, it is the thermodynamic pressure associated with the fluid's equation of state. It has nothing to do with what is or isn't moving, and it is not frame-dependent.
 
  • Like
Likes FactChecker
  • #106
thanks boneh3ad.

So, "static" pressure is essentially the thermodynamic pressure which does not depend on the fluid state of motion but only on the fluid temperature, density and fluid composition.

That said, how do we call that gauge pressure that we measure with vertical piezometric tubes attached to the walls of a pipe having a fluid flowing inside?

I get what the stagnation pressure is: it is juts the pressure that we measure when a flowing fluid is brought to rest by a surface oriented perpendicular to the fluid direction. The stagnation pressure is alway larger than the pressure measured by a surface oriented in any other direction.

When the surface is horizontal, like at point A and point C in my sketch in #103, the pressure should be the same (but it is not) if does not depend on the state of motion of the fluid. The fluid at C is faster hence the pressure is lower...
 
  • #107
fog37 said:
That said, how do we call that gauge pressure that we measure with vertical piezometric tubes attached to the walls of a pipe having a fluid flowing inside?
Gauge pressure is just any pressure measured with a gauge, having a readng with respect to a reference. It doesn't denote a specific type of pressure (static, dynamic, steam, water, whatever). The alternative is absolute pressure, which is measured against or converted to a zero reference pressure.

You can measure/express static or total pressure in gauge or absolute form. Velocity pressure is by nautre a gauge pressure (achieved by subtraction).
 
Last edited:
  • #108
Those vertical piezometers measure gauge pressure relative to the atmosphere: the height reached by the fluid in the vertical tube linearly correlates with the gauge pressure: zero height means the pressure inside the fluid has the same value as atmospheric pressure. I think I am correct on this.

The height in those piezometric tubes varies depending on the pressure and in regions where the pressure is lower the height is lower. The pressure is not the stagnation pressure but the pressure measured when the red surface is oriented parallel to the flow like ##P_A## in thread#103.
 
  • #109
fog37 said:
So, "static" pressure is essentially the thermodynamic pressure which does not depend on the fluid state of motion but only on the fluid temperature, density and fluid composition.

It certainly does depend on the fluid's state of motion. If a fluid accelerates through a nozzle, the static pressure decreases. This is what Bernoulli's equation is essentially saying. It can be derived from a momentum balance or an energy balance, but either way, it shows an inverse relationship between pressure and velocity. It is still a state variable, and as it changes, so to do the fluid density and temperature according to an equation of state (e.g. the ideal gas law).

fog37 said:
When the surface is horizontal, like at point A and point C in my sketch in #103, the pressure should be the same (but it is not) if does not depend on the state of motion of the fluid. The fluid at C is faster hence the pressure is lower...

No they should not be the same. At those two points, the fluid velocity is different, so the static pressures will be different. What I meant by the comment about static pressure being a state variable and not an artifact of the fluid's velocity relative to some frame of reference. It fundamentally arises from the random motion of molecules, not the bulk motion of the fluid. A fish tank sitting on a truck driving by you will have the same pressure inside as a fish tank sitting still that you drive by in your car. The dynamic pressure, such as the concept even makes sense in this context, would be different.

However, static pressure must still obey the laws of thermodynamics, which means if a fluid accelerates without changing its total energy, that increase in kinetic energy had to come from somewhere. Static pressure represents one of the possible pools of energy from which kinetic energy (dynamic pressure) can be drawn.
 
  • Like
Likes FactChecker
  • #110
fog37 said:
So, "static" pressure is essentially the thermodynamic pressure which does not depend on the fluid state of motion but only on the fluid temperature, density and fluid composition.
I think "does not depend" is not exactly correct since there is often a trade-off between static and dynamic pressure if no energy is added. It's better to say that static pressure represents the remaining energy after the dynamic energy of fluid velocity has been accounted for. When the trade-off between static and dynamic pressure changes, such as a gas going through a venturi, the temperature instantly changes accordingly. The temperature in the throat of a venturi is lower.

One way of looking at this is the following: Suppose there is a fluid whose molecules have a given set of velocity vectors. You can determine the average motion and velocity, ##V_{avg}##, of the fluid by averaging all the velocity vectors of the molecules. That tells you how much energy can be represented by the dynamic motion of the fluid. Now suppose that we subtract ##V_{avg}## from every molecular velocity vector. The result is a set of vectors with no direction. That represents the static pressure. The temperature is directly associated with the static pressure. The more fluid flow, the greater the magnitude of ##V_{avg}##, and (given constant total energy) the lower the remaining static pressure is.

There are other ways to look at the same thing and they all tell the same story -- Bernouli is correct. You can look at it as the pressure differential causing the increased velocity in a venturi. You can also look at it as conservation of total energy. When something is true, there are often many ways to convince yourself of the truth.

PS. I doubt that my explanation is very formally correct. I like the intuative, geometric aspect of it. But for the real formal explanation, I would recommend the posts of @boneh3ad ,@jbriggs444 , and @russ_watters
 
Last edited:
  • #111
Thanks FactChecker.

So, for the same overall kinetic energy, when the fluid is moving faster, the fluid trades some of the chaotic kinetic energy that was first used by the colliding molecules to produce static pressure for kinetic energy that is now used by the molecules to move in a more organized fashion in a specific direction. For a compressible fluid like a gas, when the static pressure decreases, also the fluid temperature decreases (this does not happen in incompressible fluids).

In the extreme case when the fluid is not moving, i.e. when ##V_{avg} = 0##, all the pressure is static (hydrostatic).
 
  • Like
Likes FactChecker
  • #112
fog37 said:
Thanks FactChecker.

So, for the same overall kinetic energy, when the fluid is moving faster, the fluid trades some of the chaotic kinetic energy that was first used by the colliding molecules to produce static pressure for kinetic energy that is now used by the molecules to move in a more organized fashion in a specific direction. For a compressible fluid like a gas, when the static pressure decreases, also the fluid temperature decreases (this does not happen in incompressible fluids).

In the extreme case when the fluid is not moving, i.e. when ##V_{avg} = 0##, all the pressure is static (hydrostatic).
That's how I like to look at it. I doubt that my explanation is very formally correct. I like the intuative, geometric aspect of it. But for the real formal explanation, I would recommend the posts of @boneh3ad ,@jbriggs444 , and @russ_watters
 
  • #113
I like the intuitive perspective.

I think the splitting of pressure, defined as the normal compressive force per unit area on an infinitesimal surface, into static and dynamic terms is confusing and confused me. Pressure is one and always isotropic and can be affected by the speed of the flow and by how we measure it. For example the dynamic pressure term becomes a contribution to pressure when the flow is brought to rest at a stagnation point at which the isotropic pressure, being the in that case the sum of the static and dynamic pressures, is increased. But even the fluid is moving and not stopped, its pressure is affected by the fluid speed via the term ##0.5 \rho v^2##.
 
  • #114
fog37 said:
For example the dynamic pressure term becomes a contribution to pressure when the flow is brought to rest at a stagnation point at which the isotropic pressure, being the in that case the sum of the static and dynamic pressures, is increased.
That seems wrong. I think the total sum of the static and dynamic pressures is a constant unless energy is added.
 
  • #115
I agree that the sum of the two pressures is constant. But there is really only one pressure, which is ##p##. The dynamic pressure is the extra pressure that would build up in addition to the static pressure if the fluid was brought to a stop. The dynamic pressure at some point in a flow is a hypothetical pressure, i.e. the pressure if the fluid was brought to rest. It is the pressure increase obtained from integrating the deceleration along a streamline so that the pressure stops the fluid from moving.
 
  • #116
Not sure i should even get involved here but here goes. I am a x glider pilot. One of the maneuvers we did when being towed up to altitude was a called "boxing the wake" Starting from 200 feet directly behind the tow plane we would descend until we encountered the turbulence of the wake from the tow plane. We would keep going through the turbulent area until we were below it. We would then move to the left of the wake rise up then move to the right of the wake and descend to the bottom of the wake. Then rise up in the center of the wake.

Having been 200 feet behind a tow plane and getting bounced around by the extreme turbulence my take is that it is the air coming off the bottom of the wing and being forced down that develops a upward force on the plane.

You might look for a gliding club and ask about it or even take a rede.
 
  • Like
Likes CWatters
  • #117
rootone said:
The shape of the wing forces air to go 'down', so therefore the wing obtains a force going 'up' (lift).
It is the angle of attack of the wing that forces the air to go down.
 
  • #118
arydberg said:
Not sure i should even get involved here but here goes. I am a x glider pilot. One of the maneuvers we did when being towed up to altitude was a called "boxing the wake" Starting from 200 feet directly behind the tow plane we would descend until we encountered the turbulence of the wake from the tow plane. We would keep going through the turbulent area until we were below it. We would then move to the left of the wake rise up then move to the right of the wake and descend to the bottom of the wake. Then rise up in the center of the wake.

Having been 200 feet behind a tow plane and getting bounced around by the extreme turbulence my take is that it is the air coming off the bottom of the wing and being forced down that develops a upward force on the plane.

You might look for a gliding club and ask about it or even take a rede.
Very interesting comment from pilot experience. But I think it would be practically impossible for a pilot to distinguish between air pushed down by impacting the bottom of the wing versus air directed down after going above the wing. In fact, calculations of force from air hitting the bottom of the wing usually come up way short of the actual lift force. So the complete story is more complicated than that.
 
Last edited:
  • #119
Interesting. Where can i find some of those calculations.
 
  • #120
arydberg said:
Interesting. Where can i find some of those calculations.
Do you mean the "correct" calculations or just the calculations of the impact on the bottom?
I have never seen any calculations only of the impact on the bottom. Just imagine ignoring all the air flow over the top that gets redirected in this photo. Obviously that would ignore a lot. I don't think there is a reason to do a serious calculation like that.
airflowAroundWing3.jpg


The reason for all that downward redirection of the flow over the wing is complicated. Any simple calculation is seriously flawed. The most "correct" calculations are done using Computational Fluid Dynamics (CFD). (see https://en.wikipedia.org/wiki/Computational_fluid_dynamics) Those calculations are massively complicated because everything effects everything else. Even the CFD results are very limited. They must be adjusted to agree with wind tunnel results and then adjusted again as each flight test is done.
 

Attachments

  • airflowAroundWing3.jpg
    airflowAroundWing3.jpg
    11.3 KB · Views: 493
  • #121
fog37 said:
I think the splitting of pressure, defined as the normal compressive force per unit area on an infinitesimal surface, into static and dynamic terms is confusing and confused me.
Some people find it useful or even prefer to consider these things as not being different types of pressure, probably for that reason (only wanting there to be one thing called "pressure"). Rather, they are different types of energy. Dynamic pressure can then be thought of as being the kinetic energy contained in a moving volume of air. The units (when simplified) actually match. Here's an example with Bernoulli's equation:
http://hyperphysics.phy-astr.gsu.edu/hbase/pber.html
 
  • #122
arydberg said:
Having been 200 feet behind a tow plane and getting bounced around by the extreme turbulence my take is that it is the air coming off the bottom of the wing and being forced down that develops a upward force on the plane.
Many peoples' first thought on lift comes from sticking their hand out a car window. You can feel the air hitting the bottom of your hand, lifting it up, and you feel nothing on the back of your hand. So it's all a push from below, right?

You will see some confusing and inconsistent perspective on the issue. Depending on who and how you ask, that interpretation is either correct or incorrect - or even both at the same time.

On the one hand, people will point out that all pressures are absolute and can only "push". That is indeed what you feel on your hand when you stick it out the car window. But what gets missed in that answer is the nuance that it is *changes* in pressure (from normal atmospheric) that result in an inequity between the top and bottom surface that you then feel as a "push". Due to the shape of the wing, the pressure on the bottom surface goes up and the pressure on the top surface goes down.
FactChecker said:
Very interesting comment from pilot experience. But I think it would be practically impossible for a pilot to distinguish between air pushed down by impacting the bottom of the wing versus air directed down after going above the wing. In fact, calculations of force from air hitting the bottom of the wing usually come up way short of the actual lift force. So the complete story is more complicated than that.
arydberg said:
Interesting. Where can i find some of those calculations.
Calculations are hard. Measurements are easy and the results easy to visualize:
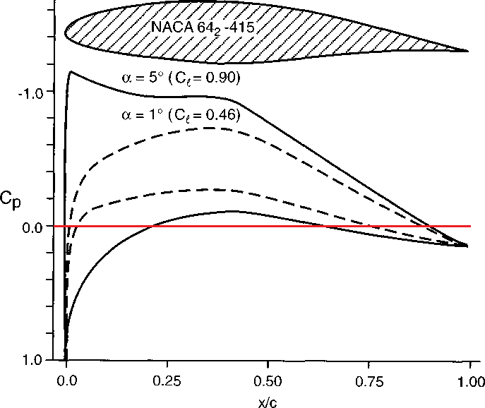
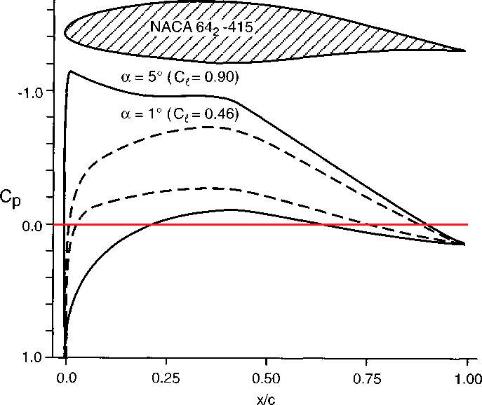
wing-lift.jpg

This is a graphical representation of the static, gauge pressure distribution around a wing in flight. The short arrows on the bottom show pressures above atmospheric pressure and the longer arrows on top show pressures below atmospheric. In this case - as is common in level flight - the pressure reduction above is greater than the pressure increase below.

Engineers quantifies this in wind tunnel testing or CFD analysis by putting pressure ports all around the wing to measure those pressures. For actual measurement and calculation, you plot the results on a graph:

Wing-with-pressure-distribution.png


Note that the graph is inverted to match what is going on with the wing: "Negative" pressures are up and positive pressures are down. Again, by adding together (integrating) the pressure differential, you get the total lift.
arydberg said:
You might look for a gliding club and ask about it or even take a ride.
I have! Lots of fun!
 

Attachments

  • wing-lift.jpg
    wing-lift.jpg
    27.8 KB · Views: 2,376
  • Wing-with-pressure-distribution.png
    Wing-with-pressure-distribution.png
    5.8 KB · Views: 1,402
  • Like
Likes CWatters and FactChecker
  • #123
russ_watters said:
Calculations are hard. Measurements are easy and the results easy to visualize:
That is very true -- especially the visualizing part. But the wind tunnel time and making the model can be expensive. And it is a whole different ball game if the plane is just one of several conceptual designs. The experts have a reasonably good idea early on, but there can be nasty surprises. The bottom line is that even in programs with very good funding, the real numbers may not be adequately known till flight tests are done.
 
  • #124
russ_watters said:
Many peoples' first thought on lift comes from sticking their hand out a car window. You can feel the air hitting the bottom of your hand, lifting it up, and you feel nothing on the back of your hand. So it's all a push from below, right?

You will see some confusing and inconsistent perspective on the issue. Depending on who and how you ask, that interpretation is either correct or incorrect - or even both at the same time.

On the one hand, people will point out that all pressures are absolute and can only "push". That is indeed what you feel on your hand when you stick it out the car window. But what gets missed in that answer is the nuance that it is *changes* in pressure (from normal atmospheric) that result in an inequity between the top and bottom surface that you then feel as a "push". Due to the shape of the wing, the pressure on the bottom surface goes up and the pressure on the top surface goes down. Calculations are hard. Measurements are easy and the results easy to visualize:
View attachment 227024
This is a graphical representation of the static, gauge pressure distribution around a wing in flight. The short arrows on the bottom show pressures above atmospheric pressure and the longer arrows on top show pressures below atmospheric. In this case - as is common in level flight - the pressure reduction above is greater than the pressure increase below.

Engineers quantifies this in wind tunnel testing or CFD analysis by putting pressure ports all around the wing to measure those pressures. For actual measurement and calculation, you plot the results on a graph:

View attachment 227025

Note that the graph is inverted to match what is going on with the wing: "Negative" pressures are up and positive pressures are down. Again, by adding together (integrating) the pressure differential, you get the total lift.

I have! Lots of fun!
One very important issue here is angle of attack. It shoud be included.
 
  • #125
arydberg said:
One very important issue here is angle of attack. It shoud be included.
It is.
 
Back
Top