Probability more than one claim filed?

  • Context: MHB 
  • Thread starter Thread starter schinb65
  • Start date Start date
  • Tags Tags
    Probability
Click For Summary

Discussion Overview

The discussion revolves around the modeling of the number of claims filed by an individual under an automobile policy over a three-year period. Participants explore the mathematical formulation of probabilities associated with filing claims, specifically focusing on the transition from a summation of probabilities to a closed-form expression. The inquiry includes clarifications on geometric series and the calculation of probabilities for filing more than one claim.

Discussion Character

  • Technical explanation
  • Mathematical reasoning
  • Homework-related

Main Points Raised

  • One participant presents a model where the probability of filing claims is defined recursively as $p_{n+1} = \frac{1}{5} p_n$.
  • Another participant identifies the summation $\sum_{k=0}^{\infty}\frac{1}{5}^k p_0$ as a geometric series and explains its evaluation to $\frac{p_0}{1-\frac{1}{5}}$.
  • Some participants express uncertainty about how the calculation of $P[n>1]$ is integrated into the solution, suggesting it should be approached as $P[n>1]=1-P[n=0]-P[n=1]$.
  • One participant acknowledges a potential oversight in not recognizing the full context of the problem while reviewing the solution.

Areas of Agreement / Disagreement

Participants generally agree on the mathematical formulation of the geometric series, but there is uncertainty regarding the application of this to the calculation of $P[n>1]$. The discussion remains unresolved regarding the integration of this probability into the overall solution.

Contextual Notes

Participants reference an attachment containing a full solution, which includes steps not fully detailed in the discussion. There is an acknowledgment of the need to clarify how the probabilities for $n=0$ and $n=1$ are derived and used in the context of calculating $P[n>1]$.

schinb65
Messages
12
Reaction score
0
In modeling the number of claims filed by an individual under an automobile policy
during a three-year period, an actuary makes the simplifying assumption that for all
integers n ≥ 0, $p_n+1 = \frac{1}{5} p_n$ , where $p_n$ represents the probability that the policyholder files $n$ claims during the period.
Under this assumption, what is the probability that a policyholder files more than one
claim during the period?

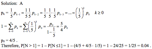
So my question is the solution which I have attached. How do we go from
$\sum_{k=0}^{\infty}\frac{1}{5}^kp_0$ to the next step $\frac{p_0}{1-\frac{1}{5}}$

Thank you.
 

Attachments

  • Picture 1.png
    Picture 1.png
    7.6 KB · Views: 121
Physics news on Phys.org
Re: Probability more then one claim filed?

schinb65 said:
In modeling the number of claims filed by an individual under an automobile policy
during a three-year period, an actuary makes the simplifying assumption that for all
integers n ≥ 0, $p_n+1 = \frac{1}{5} p_n$ , where $p_n$ represents the probability that the policyholder files $n$ claims during the period.
Under this assumption, what is the probability that a policyholder files more than one
claim during the period?

So my question is the solution which I have attached. How do we go from
$\sum_{k=0}^{\infty}\frac{1}{5}^kp_0$ to the next step $\frac{p_0}{1-\frac{1}{5}}$

Thank you.

Welcome to MHB, schinb65! :)

What you have is a so called geometric series:

$a+ar+ar^2+ar^3+ar^4+\cdots = \displaystyle\sum_{k=0}^\infty ar^k = \dfrac{a}{1-r}$​

In your case you have $a=p_0$ and $r=\frac 1 5$, so:

$p_0 + \frac 1 5 p_0 + (\frac 1 5)^2 p_0 + (\frac 1 5)^3 p_0 + (\frac 1 5)^4 p_0 + ... = \displaystyle\sum_{k=0}^{\infty} \left(\frac{1}{5}\right)^k p_0 = \dfrac{p_0}{1-\frac 1 5}$​
(Btw, I suspect you intended $p_{n+1} = \frac{1}{5} p_n$.)
 
Re: Probability more then one claim filed?

ILikeSerena said:
Welcome to MHB, schinb65! :)

What you have is a so called geometric series:

$a+ar+ar^2+ar^3+ar^4+\cdots = \displaystyle\sum_{k=0}^\infty ar^k = \dfrac{a}{1-r}$​

In your case you have $a=p_0$ and $r=\frac 1 5$, so:

$p_0 + \frac 1 5 p_0 + (\frac 1 5)^2 p_0 + (\frac 1 5)^3 p_0 + (\frac 1 5)^4 p_0 + ... = \displaystyle\sum_{k=0}^{\infty} \left(\frac{1}{5}\right)^k p_0 = \dfrac{p_0}{1-\frac 1 5}$​

(Btw, I suspect you intended $p_{n+1} = \frac{1}{5} p_n$.)

Hi ILikeSerena, :)

I can't spot an error in this but I don't see where you used the fact that we are calculating $P[n>1]$. I would say we need to solve it this way: $P[n>1]=1-P[n=0]-P[n=1]$. Is that what you did in fact?
 
Re: Probability more then one claim filed?

Jameson said:
Hi ILikeSerena, :)

I can't spot an error in this but I don't see where you used the fact that we are calculating $P[n>1]$. I would say we need to solve it this way: $P[n>1]=1-P[n=0]-P[n=1]$. Is that what you did in fact?

Hi Jameson ;)

The attachment in the OP contains the full solution including what you just mentioned.
I only clarified the step in it that schinb65 asked about.
 
Re: Probability more then one claim filed?

ILikeSerena said:
Hi Jameson ;)

The attachment in the OP contains the full solution including what you just mentioned.
I only clarified the step in it that schinb65 asked about.

(Headbang) Doh! Sorry about that. I just saw the full solution just before reading you reply. I'll try to be more observant in the future, haha. :)
 

Similar threads

  • · Replies 1 ·
Replies
1
Views
2K
  • · Replies 3 ·
Replies
3
Views
4K
  • · Replies 1 ·
Replies
1
Views
3K
  • · Replies 1 ·
Replies
1
Views
4K
Replies
1
Views
2K
  • · Replies 13 ·
Replies
13
Views
2K
  • · Replies 4 ·
Replies
4
Views
19K
  • · Replies 2 ·
Replies
2
Views
2K
  • · Replies 2 ·
Replies
2
Views
1K
Replies
16
Views
4K