Problem about dot product in probability density problem

Click For Summary

Homework Help Overview

The discussion revolves around a problem involving the dot product in the context of probability density, specifically related to quantum mechanics and vector calculus. Participants are examining an equation that involves the divergence of a product of wave functions and vector potentials.

Discussion Character

  • Mixed

Approaches and Questions Raised

  • Participants are attempting to understand the validity of an equation involving the divergence of a product of wave functions and vector potentials. There are questions about the transition between scalar and vector representations of the variable "A". Some participants are exploring the implications of potential errors in the original solution and discussing the necessary assumptions for the problem.

Discussion Status

The discussion is ongoing, with various participants providing insights and raising questions about the correctness of the original equation and the assumptions made. Some participants suggest that there are errors in the printed solutions, while others are exploring different interpretations of the terms involved. There is no explicit consensus, but several productive lines of reasoning are being explored.

Contextual Notes

Participants note potential issues with typos in the provided solutions and question the assumptions, such as the use of the Coulomb gauge. The discussion highlights the complexity of the problem and the need for clarity regarding the definitions and roles of the variables involved.

Another
Messages
104
Reaction score
5
Homework Statement
probability density in magnetic field
Relevant Equations
## ∇ ⋅ (fg) = ∇f ⋅g + f(∇ ⋅ g) ##
prpblemm11.png

I don't understand why ?
## \Psi ∇ ⋅ (A \Psi^ *) + \Psi ^* ∇ ⋅ (A \Psi ) = 2 ∇ ⋅(A \Psi ^* \Psi) ##
form
## ∇ ⋅ (fg) = ∇f ⋅ g + f(∇ ⋅ g) ##
Attempt at a Solution
## \Psi ∇ ⋅ (A \Psi^ *) + \Psi ^* ∇ ⋅ (A \Psi ) = 2 ∇ ⋅ (A \Psi ^* \Psi) - ∇\Psi ^* ⋅ A\Psi - ∇\Psi ⋅ (A\Psi ^*) ##
 
  • Like
Likes   Reactions: Delta2
Physics news on Phys.org
Another said:
Could you clarify the difference in meaning of "##A##" and "A" (going from lines 1 and 2, to line 3, in your attachment)? It looks like a scalar has changed to a vector.
 
Steve4Physics said:
Could you clarify the difference in meaning of "##A##" and "A" (going from lines 1 and 2, to line 3, in your attachment)? It looks like a scalar has changed to a vector.
this is full solution
http://www.physics.drexel.edu/~pgautam/wf/PHYS517/PHYS517HW1.pdf
You can see this problem in problem 2b in above link

I think ##A## is modulus of vector potential ##A = \sqrt(A^2)## and A is a vector quantities of vector potential vector A = A_x i + A_y j + A_zk
 
Another said:
this is full solution
http://www.physics.drexel.edu/~pgautam/wf/PHYS517/PHYS517HW1.pdf
You can see this problem in problem 2b in above link

I think ##A## is modulus of vector potential ##A = \sqrt(A^2)## and A is a vector quantities of vector potential vector A = A_x i + A_y j + A_zk
I can’t answer your question but will note the following.

Going from line 2 to line 3 (in your Post #1 attachment) it appears that the scalar "##A##" (let’s assume it's the magnitude of A) magically changes to the vector A. If this is correct, it then raises the question: where did the additional information needed for A’s direction come from?

This makes no sense to me at all. My naturally cynical and suspicious nature makes me think it's an incorrect 'bodge' which accidentally works. But I'm no vector calculus expert and am more than happy to be corrected!

You might get more help if you posted in the “Advanced Physics Homework Help Forum” rather than here (the introductory forum).
 
  • Like
Likes   Reactions: Delta2
If f and g are Scalars then:
##\nabla.(gf) ## has no meaning! One of them should be a vector. Further, in the attachment you provided in post #2, I found a lot of typos. Also, are you using any assumption for example: Coloumb Gauge(This problem can be solved without even assuming that gauge)?
 
  • Like
Likes   Reactions: Delta2
Another said:
I don't understand why ?
## \Psi ∇ ⋅ (A \Psi^ *) + \Psi ^* ∇ ⋅ (A \Psi ) = 2 ∇ ⋅(A \Psi ^* \Psi) ##
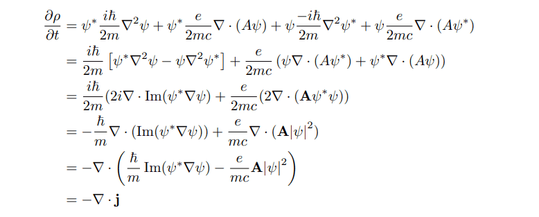
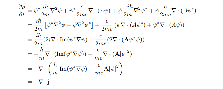
This equation is not correct.

As @Abhishek11235 noted, there are several errors in the printed solutions. All of the ##A##'s should be boldface except for the terms with ##A^2##.

Here are the errors I found in the first few lines of the solutions:

1607314310392.png


In the next to last line, I've underlined a term in green. It's important to note that the divergence operator in this term acts on ##\mathbf A \psi## and not just on ##\mathbf A ##. So, you can see that the original solution is missing a term in the last line, which I underlined in yellow in the corrected version.

Similar corrections occur for the conjugated equation. With these corrections, you should be able to eventually get the desired result for ##\mathbf j##.
 
  • Like
Likes   Reactions: JD_PM, PhDeezNutz, Steve4Physics and 2 others
@TSny i don't think we should add that term that is underlined in yellow. The term ##\nabla\cdot (\mathbf{A}\psi)## contains it because it is $$\nabla\cdot (\mathbf{A}\psi)=(\nabla\cdot \mathbf{A}) \psi+\mathbf{A}\cdot\nabla\psi$$ .
 
Delta2 said:
@TSny i don't think we should add that term that is underlined in yellow. The term ##\nabla\cdot (\mathbf{A}\psi)## contains it because it is $$\nabla\cdot (\mathbf{A}\psi)=(\nabla\cdot \mathbf{A}) \psi+\mathbf{A}\cdot\nabla\psi$$ .
Leaving out the messy constants, I find $$\left( -i\nabla - \mathbf A \right)^2 \psi = \left( -i\nabla - \mathbf A \right) \cdot \left( -i\nabla - \mathbf A \right) \psi = \left( -i\nabla - \mathbf A \right) \cdot \left( -i\nabla \psi -( \mathbf A \psi) \right)$$ $$= -\nabla^2 \psi + i\nabla \cdot (\mathbf A \psi)+ i \mathbf A \cdot \nabla \psi + A^2 \psi$$ $$= -\nabla^2 \psi + i(\nabla \cdot \mathbf A )\psi+2 i \mathbf A \cdot \nabla \psi + A^2 \psi$$
 
TSny said:
Leaving out the messy constants, I find $$\left( -i\nabla - \mathbf A \right)^2 \psi = \left( -i\nabla - \mathbf A \right) \cdot \left( -i\nabla - \mathbf A \right) \psi = \left( -i\nabla - \mathbf A \right) \cdot \left( -i\nabla \psi -( \mathbf A \psi) \right)$$ $$= -\nabla^2 \psi + i\nabla \cdot (\mathbf A \psi)+ i \mathbf A \cdot \nabla \psi + A^2 \psi$$ $$= -\nabla^2 \psi + i(\nabla \cdot \mathbf A )\psi+2 i \mathbf A \cdot \nabla \psi + A^2 \psi$$
I have my doubts about the first line, cause instead of calculating the square of the operator directly, you first apply the operator to the function ##\psi##, i just don't think your first equality is correct but i am not sure i might be wrong as well.
 
  • #10
My result is close to the one mentioned in the OP but off by a factor of 2 maybe someone can spot my error (assuming the rest of my approach is right)

LaTeX plugin messed up so here's a picture of my work. Again I’m off by a factor of 2 somewhere.

F2EE0090-EB79-409C-9BCF-65737673488C.jpeg
 
  • #11
If we keep the yellow-underlined term in post #6, we have
1607359603690.png

We are interested in the middle two terms. Since they have a common factor of ##\frac{e}{2mc}##, I will leave out this factor for now. So, we want to consider $$\nabla \cdot (\mathbf A \psi) + \mathbf A \cdot \nabla \psi$$ which may be written as $$ (\nabla \cdot \mathbf A) \psi+2\mathbf A \cdot \nabla \psi \,\,\,\,\,\,\,\, (1)$$

Similarly, the equation for ##\large \frac{\partial \psi^*}{\partial t}##, will yield $$ (\nabla \cdot \mathbf A) \psi^*+2\mathbf A \cdot \nabla \psi^* \,\,\,\,\,\,\,\, (2)$$

Multiply (1) by ##\psi^*##, (2) by ##\psi##, and add $$\psi^* \left[( \nabla \cdot \mathbf A) \psi+2\mathbf A \cdot \nabla \psi \right] + \psi \left[( \nabla \cdot \mathbf A) \psi^*+2\mathbf A \cdot \nabla \psi^* \right]$$ $$=2(\nabla \cdot \mathbf A) |\psi|^2 + 2\psi^* \mathbf A \cdot \nabla \psi + 2\psi \mathbf A \cdot \nabla \psi^*$$ $$=2\left[ (\nabla \cdot \mathbf A) |\psi|^2 + \mathbf A \cdot \nabla(\psi^*\psi)\right] = 2\nabla \cdot (\mathbf A |\psi|^2)$$ Putting back the factor ##\frac{e}{2mc}##, gives $$\nabla \cdot \left ( \frac{e}{mc}\mathbf A |\psi|^2 \right)$$ This is what we want for one of the terms of ##\mathbf j##.
 
  • Like
Likes   Reactions: Abhishek11235
  • #12
PhDeezNutz said:
My result is close to the one mentioned in the OP but off by a factor of 2 maybe someone can spot my error (assuming the rest of my approach is right)
You obtained
1607364459639.png


This may be written as ##\,\,\, 2 \nabla \cdot (|\psi|^2 \mathbf A) - \mathbf A \cdot \nabla |\psi|^2##

The first term is what we want. The second term ends up being canceled by the yellow-underlined term in post #6 (and the corresponding term in the ##\psi^*## equation).
 
  • Like
Likes   Reactions: PhDeezNutz
  • #13
Delta2 said:
I have my doubts about the first line, cause instead of calculating the square of the operator directly, you first apply the operator to the function ##\psi##, i just don't think your first equality is correct but i am not sure i might be wrong as well.
What @TSny did is correct. In fact, it's a good way to do the calculation when you're not sure you're doing it correctly.

A similar situation comes up when you calculate the commutator of ##\hat x## and ##\hat p##. If you make the same mistake, you get this:
\begin{align*}
[\hat x,\hat p] &= x\left(\frac \hbar i \frac \partial {\partial x}\right) - \left(\frac \hbar i \frac \partial {\partial x}\right)x \\
&= -i\hbar \left( x \frac \partial {\partial x} - \frac\partial {\partial x}x \right) \\
&= -i \hbar \left( x \frac \partial {\partial x} - 1\right)
\end{align*} The error arises because the derivative in the second term doesn't act on just ##x## but on everything to the right of it, including the implied function the commutator acts on.

If you throw in a test function ##f##, then it's easy to see how it's supposed to work out:
\begin{align*}
[\hat x,\hat p]f &= x\left(\frac \hbar i \frac \partial {\partial x}\right)f - \left(\frac \hbar i \frac \partial {\partial x}\right)xf \\
&= -i\hbar \left( x \frac {\partial f} {\partial x} - \frac\partial {\partial x}xf \right) \\
&= -i\hbar \left( x \frac {\partial f} {\partial x} - f - x\frac {\partial f} {\partial x} \right) \\
&= i\hbar f
\end{align*}
 
  • Like
Likes   Reactions: Delta2 and TSny

Similar threads

  • · Replies 0 ·
Replies
0
Views
2K
  • · Replies 9 ·
Replies
9
Views
2K
  • · Replies 4 ·
Replies
4
Views
2K
  • · Replies 6 ·
Replies
6
Views
3K
Replies
16
Views
3K
  • · Replies 9 ·
Replies
9
Views
3K
Replies
1
Views
2K
  • · Replies 8 ·
Replies
8
Views
2K
  • · Replies 21 ·
Replies
21
Views
2K
Replies
95
Views
8K