Problem integrating with the disk method

Click For Summary

Homework Help Overview

The discussion revolves around a problem involving integration using the disk method, specifically in the context of spherical coordinates. Participants are exploring the correct setup for integrating over specified regions defined by a cone and a half sphere.

Discussion Character

  • Exploratory, Assumption checking, Problem interpretation

Approaches and Questions Raised

  • Participants discuss the division of the region of integration into two areas, A1 and A2, and question the appropriateness of these regions. There are inquiries about the limits of integration and the shapes of the regions defined by the conditions given.

Discussion Status

The discussion is active, with participants providing feedback on the setup of the integration and suggesting corrections to the evaluation of integrals. Some guidance has been offered regarding the limits of integration, and there is an acknowledgment of errors in calculations.

Contextual Notes

There are indications of confusion regarding the correct limits of integration and the evaluation of integrals, with participants questioning assumptions about the regions being integrated over.

Amaelle
Messages
309
Reaction score
54
Homework Statement
look at the image
Relevant Equations
polar coordinates
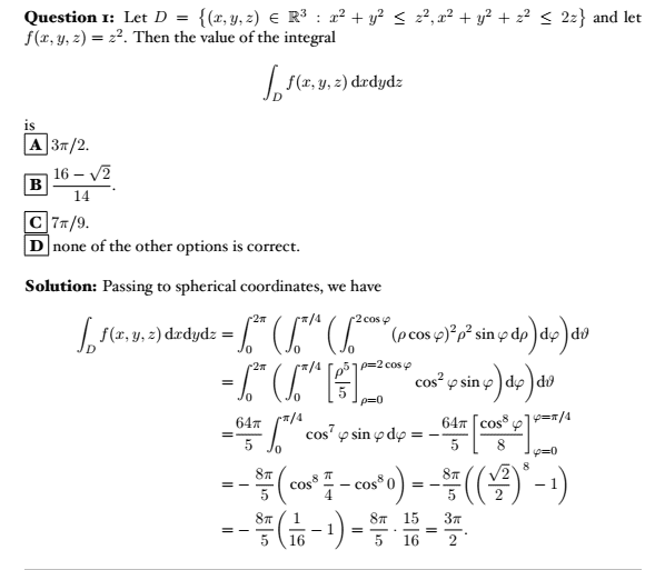
Good day I have the following exercice and it's solved using spherical coordinates
1613318590947.png

I totally agree with the solution but I have issue to find out why mine does not work
I used the the integration by disk
I divided the region of integration to 2 A1 and A2 (A2 is the upper half sphere and A1 is the region delimitated by the cone
1613318883639.png

1613318937608.png
Many thanks in advance!
 
  • Like
Likes   Reactions: docnet
Physics news on Phys.org
How did you decide that those two regions A1 and A2 were the correct regions to plot? Try plotting [itex]r = \sqrt{x^2 + y^2}[/itex] vs z for the two conditions given. What is the shape of the resulting region?

Ignore that post. I think you have the regions correct. Another question. Why did you integrate from r=0 to r=√z in the first integral. Shouldn't it be from r=0 to r=z?

Also, I think you just did the algebra wrong in the second integral. I get [itex]\frac {13 \pi}{10}[/itex]
 
Last edited:
  • Like
Likes   Reactions: Amaelle
1613324424788.png


this is the region I'm getting
the cone region I have gotten by calculation the integral from r= 0 to r=sqrt(z)
and the half sphere region that I got from r=0 to r=sqrt(2z-z^2)
I know something is wrong here
thanks
 
Please look at the edits to my post. I agree the regions look correct, but I think you made two errors in evaluating the integrals. Correct those and see what you get.
 
  • Informative
Likes   Reactions: Amaelle
Also, you should learn to input the math in latex. It is much easier for us to read than pictures of your hand-written work.
 
  • Informative
Likes   Reactions: Amaelle
thanks a million! it's ok now my mistake was that r=sqrt(z)!
you saved my life!
 
  • Like
Likes   Reactions: phyzguy

Similar threads

  • · Replies 1 ·
Replies
1
Views
1K
  • · Replies 2 ·
Replies
2
Views
1K
  • · Replies 2 ·
Replies
2
Views
1K
  • · Replies 4 ·
Replies
4
Views
1K
Replies
3
Views
2K
  • · Replies 7 ·
Replies
7
Views
2K
Replies
4
Views
2K
  • · Replies 4 ·
Replies
4
Views
2K
Replies
5
Views
3K
  • · Replies 2 ·
Replies
2
Views
2K