Can we use the disk method in this integral?

Click For Summary
SUMMARY

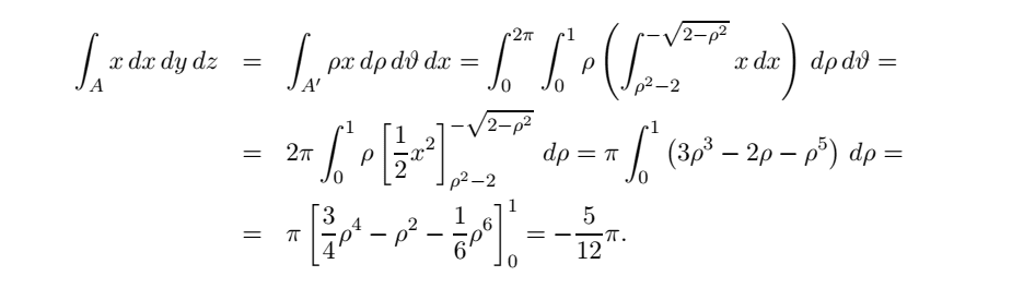
The discussion centers around the application of the disk method in calculating the volume of a solid formed by the intersection of a sphere and a paraboloid. The user questions whether the disk method is appropriate given that the sphere penetrates the paraboloid beyond the intersection point at x=-1, extending to x=-sqrt(2). A participant clarifies that the formula 2πρ dρ represents a ring, not a disk, affirming that the user's calculations are correct.

PREREQUISITES
  • Understanding of integral calculus and volume calculations
  • Familiarity with the disk and washer methods for volume integration
  • Knowledge of the geometric properties of spheres and paraboloids
  • Proficiency in setting up and evaluating definite integrals
NEXT STEPS
  • Study the disk and washer methods in detail for volume calculations
  • Explore the geometric properties of spheres and paraboloids
  • Learn about the implications of intersection points in volume integrals
  • Practice solving volume problems involving complex shapes using integration
USEFUL FOR

Students and educators in calculus, mathematicians focusing on geometric integration, and anyone involved in advanced volume calculations in mathematics.

Amaelle
Messages
309
Reaction score
54
Homework Statement
look at the image
Relevant Equations
cylindrical coordinates
Goodd day, I have a question regarding an exercice I have already posted
1613466709445.png

Bvu was very nice and provided this darwing
1613466770802.png

I already have the solution
1613466832087.png
But y question is :
can we use the disk method? because as you can see even though the intersection was at x=-1 the sphere goes deep into the paraboloid until x=-sqrt(2)?
so maybe the only way is to caluculate is to
1613468607815.png

Many thanks in advance!
 
Physics news on Phys.org
[tex]2\pi\rho d\rho[/tex] is not disk but ring. So I think your calculation is OK.
 

Similar threads

  • · Replies 5 ·
Replies
5
Views
2K
  • · Replies 2 ·
Replies
2
Views
1K
  • · Replies 7 ·
Replies
7
Views
2K
Replies
9
Views
3K
Replies
3
Views
2K
  • · Replies 4 ·
Replies
4
Views
1K
  • · Replies 2 ·
Replies
2
Views
2K
Replies
5
Views
3K
  • · Replies 1 ·
Replies
1
Views
2K
  • · Replies 4 ·
Replies
4
Views
2K