Double Integral Problem: Incorrect Jacobian Calculation for Polar Coordinates

Click For Summary

Homework Help Overview

The discussion revolves around calculating a double integral over a specific region defined by the inequalities \(x^2 + y^2 \leq 4\) and \(x^2 + (y/4)^2 \geq 1\). The original poster expresses confusion regarding the Jacobian when converting to polar coordinates, noting a discrepancy between their result and the professor's solution.

Discussion Character

  • Exploratory, Assumption checking, Mathematical reasoning

Approaches and Questions Raised

  • Participants discuss the conversion to polar coordinates and the calculation of the Jacobian. There are attempts to clarify the parametrization needed for the ellipse and how it affects the integral setup. Questions arise about the correct Jacobian and its implications on the integral's value.

Discussion Status

The discussion is active with participants sharing their attempts and reasoning. Some express understanding of the Jacobian's role, while others continue to seek clarity on the calculations involved. There is no explicit consensus, but guidance on the parametrization and Jacobian has been provided.

Contextual Notes

Participants are working under the constraints of the problem as stated, with a focus on the specific region of integration and the need for correct parametrization in polar coordinates. The original poster's confusion about the Jacobian suggests a potential misunderstanding of the transformation process.

Amaelle
Messages
309
Reaction score
54
Homework Statement
integral of int y^2 dxdy over a region (look to the formula inside the exercice)
Relevant Equations
y=rcos(theta)
calculate the double integral
1597319551559.png


over the region of integration is
x^2 + y^2 ≤ 4; x^2 + (y/4)^2 ≥ 1
the integrals have been made over two regions
1597319752949.png


my problem is that when I go to the polar coordinate for the ellipsis and use the jacobian i got 2 instead of 8 ( the following is the professor solution)
1597319891086.png


Any help?
many thanks in advance!
 
Physics news on Phys.org
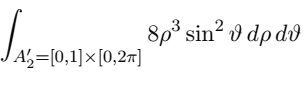
[tex]\int_{A_1}y^2 dx dy = \int_0^{2\pi} d\theta \int_0^2 d\rho\ \rho^3 \sin^2\theta = 16 \int_0^{2\pi} d\theta \int_0^1 d\rho \ \rho^3 \sin^2\theta[/tex]
A half of it,
[tex]\int_{A_2}y^2 dx dy = 8 \int_0^{2\pi} d\theta \int_0^1 d\rho \ \rho^3 \sin^2\theta=\int_{A_1-A_2}y^2 dx dy[/tex]
What Jacobian you get ?
 
Last edited:
  • Like
Likes   Reactions: Amaelle
Amaelle said:
Homework Statement:: integral of int y^2 dxdy over a region (look to the formula inside the exercice)
Relevant Equations:: y=rcos(theta)

calculate the double integral
[tex] \int y^2\,dx\,dy[/tex]over the region of integration is
x^2 + y^2 ≤ 4; x^2 + (y/4)^2 ≥ 1
the integrals have been made over two regions

my problem is that when I go to the polar coordinate for the ellipsis and use the jacobian i got 2 instead of 8 ( the following is the professor solution)

Any help?
many thanks in advance!

For the ellipse, you need to use the parametrization [tex] \begin{align*} x &= \rho \cos \vartheta, \\ y &= 2\rho\sin \vartheta. \end{align*}[/tex] With this choice, the ellipse is at [itex]\rho = 1[/itex], rather than the complicated function of [itex]\vartheta[/itex] you would get from actual polar coordinates.

You should obtain a factor of 2 from the jacobian and a further two factors from the integrand.
 
  • Like
Likes   Reactions: Amaelle
Thanks a lot
so first change
u=x
v=y/2
so the jacobian equal 2
after
v=2rsin(theta)
v^2=4[sin(theta)]^2

I got it now
 
anuttarasammyak said:
[tex]\int_{A_1}y^2 dx dy = \int_0^{2\pi} d\theta \int_0^2 d\rho\ \rho^3 \sin^2\theta = 16 \int_0^{2\pi} d\theta \int_0^1 d\rho \ \rho^3 \sin^2\theta[/tex]
A half of it,
[tex]\int_{A_2}y^2 dx dy = 8 \int_0^{2\pi} d\theta \int_0^1 d\rho \ \rho^3 \sin^2\theta=\int_{A_1-A_2}y^2 dx dy[/tex]
What Jacobian you get ?
Thanks a lot!
 

Similar threads

  • · Replies 19 ·
Replies
19
Views
3K
Replies
3
Views
2K
Replies
2
Views
2K
Replies
4
Views
1K
  • · Replies 4 ·
Replies
4
Views
1K
Replies
10
Views
2K
  • · Replies 3 ·
Replies
3
Views
2K
  • · Replies 7 ·
Replies
7
Views
3K
  • · Replies 24 ·
Replies
24
Views
4K
  • · Replies 5 ·
Replies
5
Views
2K