Problem involving irreducible element -Ring theory

  • Thread starter Thread starter chwala
  • Start date Start date
  • Tags Tags
    Element Theory
Click For Summary

Homework Help Overview

The discussion revolves around concepts in ring theory, specifically focusing on irreducible elements and norms within the context of quadratic integers. Participants are exploring the implications of certain calculations and definitions related to norms and the Euclidean algorithm in the setting of rings.

Discussion Character

  • Mixed

Approaches and Questions Raised

  • Participants are questioning the origin of specific values in calculations, such as ##\dfrac{3}{4}M##, and the reasoning behind the choice of norm definitions. There are attempts to understand the implications of using different values of ##n##, particularly ##n=-2## and ##n=-3##, in the context of the Euclidean algorithm. Some participants are also exploring practical examples to clarify their understanding.

Discussion Status

The discussion is ongoing, with participants actively seeking clarification on specific points and sharing their interpretations. Some have provided insights into the calculations and definitions, while others express confusion and seek further explanation. There is no explicit consensus yet, as various interpretations and approaches are still being explored.

Contextual Notes

Participants are working within the constraints of homework guidelines, which may limit the depth of exploration into certain concepts. The discussion includes references to specific examples and calculations that may not be fully resolved, highlighting the complexity of the topic.

chwala
Gold Member
Messages
2,841
Reaction score
428
Homework Statement
see attached...
Relevant Equations
Ring theory
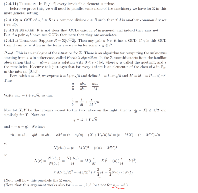
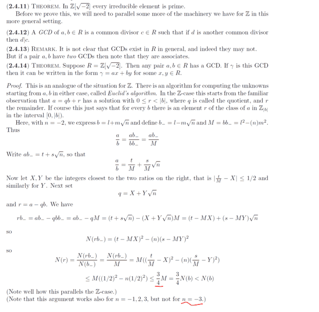
Hey guys, i need insight on the highlighted part...the steps before this are quite clear:

1678958831525.png


where is the ##\dfrac{3}{4}M ## coming from? and how to show the argument does not work for ##n=-3##? i should be able to check on this ...later.

and why is the Norm of say;

##ϒ =a+c\sqrt b##

taken as

##N(ϒ)=a^2-c^2b##

and not

##N(ϒ)=a^2+c^2b##?
cheers
 
Physics news on Phys.org
In [itex]\mathbb{Q}[X : X^2 \in \mathbb{Q}] \supset \mathbb{Z}[X][/itex] we have [tex](a + bX)(a - bX) = a^2 - b^2X^2 \in \mathbb{Q}.[/tex] If this is zero, then we have either [itex]a + bX = 0[/itex] or [itex]a - bX = 0[/itex] and in either case [itex]a = b = 0[/itex]. Hence for [itex]a + bX \neq 0[/itex] we have [tex] (a +bX)^{-1} = \frac{a - bX}{a^2 - b^2X^2}.[/tex] Note that if [itex]X^2 = - N < 0[/itex], as in your case, then [tex] a^2 - b^2 X^2 = a^2 + Nb^2.[/tex]
 
  • Informative
Likes   Reactions: chwala
chwala said:
Homework Statement:: see attached...
Relevant Equations:: Ring theory

Hey guys, i need insight on the highlighted part...the steps before this are quite clear:

View attachment 323675

where is the ##\dfrac{3}{4}M ## coming from? and how to show the argument does not work for ##n=-3##? i should be able to check on this ...later.

and why is the Norm of say;

##ϒ =a+c\sqrt b##

taken as

##N(ϒ)=a^2-c^2b##

and not

##N(ϒ)=a^2+c^2b##?
cheers
...
I am trying to follow this with a practical example...i still have doubts on the highlighted, let us consider; the gcd ##(7,4)## with ##n=-2## for example, then we shall have (using Euclid algorithm),

##7=1⋅4+3##

...
##\dfrac{7}{4}= \dfrac{7(l-m\sqrt{-2})}{l^2+2m^2}=\dfrac{7l}{l^2+2m^2}-\dfrac{m\sqrt{-2}}{l^2+2m^2}##

that is by following the attached literature... then

##\dfrac{t}{M}=\dfrac{7l}{l^2+2m^2}##

and

##\dfrac{s\sqrt{n}}{M}=\dfrac{m\sqrt{-2}}{l^2+2m^2}##

...let ##X, Y## be the closest integers to the two ratios on the right...not quite understanding this statement...do they mean ##X## an integer value i.e close to ##\dfrac{7l}{l^2+2m^2}## and ##Y## an integer value close to ##\dfrac{m\sqrt{-2}}{l^2+2m^2}##?
 
chwala said:
...
I am trying to follow this with a practical example...i still have doubts on the highlighted, let us consider; the gcd ##(7,4)## with ##n=-2## for example, then we shall have (using Euclid algorithm),

##7=1⋅4+3##

...
##\dfrac{7}{4}= \dfrac{7(l-m\sqrt{-2})}{l^2+2m^2}=\dfrac{7l}{l^2+2m^2}-\dfrac{m\sqrt{-2}}{l^2+2m^2}##

that is by following the attached literature... then

##\dfrac{t}{M}=\dfrac{7l}{l^2+2m^2}##

and

##\dfrac{s\sqrt{n}}{M}=\dfrac{m\sqrt{-2}}{l^2+2m^2}##

...let ##X, Y## be the closest integers to the two ratios on the right...not quite understanding this statement...do they mean ##X## an integer value i.e close to ##\dfrac{7l}{l^2+2m^2}## and ##Y## an integer value close to ##\dfrac{m\sqrt{-2}}{l^2+2m^2}##?
I think i now understand this part;

1679797199396.png
It basically means;##|\frac{t}{M} - X|≤\frac{1}{2}##

and
##|\frac{s\sqrt {n}}{M} - Y|≤\frac{1}{2}##

i.e

##-\frac{1}{2}≤\frac{t}{M} - X≤\frac{1}{2}##

and##-\frac{1}{2}≤\frac{s\sqrt{n}}{M} - Y≤\frac{1}{2}##

it is true that, (on adding them)

##0≤\frac{t}{M}+\frac{s\sqrt{n}}{M}- X-Y≤1##
 
chwala said:
Homework Statement:: see attached...
Relevant Equations:: Ring theory

Hey guys, i need insight on the highlighted part...the steps before this are quite clear:

View attachment 323675

where is the ##\dfrac{3}{4}M ## coming from? and how to show the argument does not work for ##n=-3##? i should be able to check on this ...later.cheers
The proof uses an arbitrary value for the integer, ##n##, through the point where

##\displaystyle N(r) \le M( (1/2)^2-(n)(1/2)^2)## .

Then substituting ##\displaystyle n=-2## one sees that ##\displaystyle M( (1/2)^2-(-2)(1/2)^2)=\dfrac{3}{4}M<N(b)## .

What do you get for ##n=-3## ?
 
Last edited:
chwala said:
...
I am trying to follow this with a practical example...i still have doubts on the highlighted, let us consider; the gcd ##(7,4)## with ##n=-2## for example, then we shall have (using Euclid algorithm),

##7=1⋅4+3##

...
##\dfrac{7}{4}= \dfrac{7(l-m\sqrt{-2})}{l^2+2m^2}=\dfrac{7l}{l^2+2m^2}-\dfrac{m\sqrt{-2}}{l^2+2m^2}##

that is by following the attached literature... then

##\dfrac{t}{M}=\dfrac{7l}{l^2+2m^2}##

and

##\dfrac{s\sqrt{n}}{M}=\dfrac{m\sqrt{-2}}{l^2+2m^2}##

...let ##X, Y## be the closest integers to the two ratios on the right...not quite understanding this statement...do they mean ##X## an integer value i.e close to ##\dfrac{7l}{l^2+2m^2}## and ##Y## an integer value close to ##\dfrac{m\sqrt{-2}}{l^2+2m^2}##?
This is not a particularly good example of two elements in ##\displaystyle \mathbb{Z} [\sqrt{-2\,} \,] ## .

Writing them as elements of ##\displaystyle \mathbb{Z} [\sqrt{-2\,} \,] ## , we have ##\displaystyle 7= 7+0\sqrt{-2\,}## , and ##\displaystyle 4= 4+0\sqrt{-2\,}##

So, we have ##l=4\,,\ m=0\,,\ \text{ and } M=16## .

This gives ##\displaystyle \dfrac{t}{M}=\dfrac{7l}{M}=\dfrac{28}{16}\, ,## which reduces to ##\displaystyle \dfrac 7 4 = 1.75## . And for ##\displaystyle \dfrac{s\sqrt{-2\,}}{M}## we have ##\displaystyle \dfrac{m\sqrt{-2\,}}{M}=0 ## .

Being the integer closest to ##1.75##, we have ##X=2## . It should be apparent that ##Y=0## . This gives ##\displaystyle q= X+Y\sqrt{-2\,}=2+0\,\sqrt{-2\,}=2##

Therefore, ##\displaystyle \ r = a-q\,b = 7-2\cdot 4 =-1##.

This is very similar to the standard version of Euclidean Division, except that here the remainder falls in the interval ##\displaystyle [-b/2 \,, \ b/2]\, ##. (The author should clean that up to make one of the ends of the interval be open.)

The Euclidean Algorithm goes further than this. The next step: Promote ##b## to take the role of ##a## and ##r## to take the role of ##b##, i.e. - divide ##4## by ##-1## find a quotient and a remainder.. If the remainder is zero, you are nearly (or half) done. If the new ##r\ne 0##, promote ##(b,\ r)## to ##(a,\ b)## and repeat . . . until some ##r=0## . The previous value of ##r## is the ##\gcd (a,\ b)## .

The final step in the Euclidean Algorithm has you backtrack through your previous steps to express the gdc as ##\displaystyle \gcd (a,\ b)=ua+vb ## for some ##u## and ##v##.
 
  • Informative
Likes   Reactions: chwala
SammyS said:
This is not a particularly good example of two elements in ##\displaystyle \mathbb{Z} [\sqrt{-2\,} \,] ## .

Writing them as elements of ##\displaystyle \mathbb{Z} [\sqrt{-2\,} \,] ## , we have ##\displaystyle 7= 7+0\sqrt{-2\,}## , and ##\displaystyle 4= 4+0\sqrt{-2\,}##

So, we have ##l=4\,,\ m=0\,,\ \text{ and } M=16## .

This gives ##\displaystyle \dfrac{t}{M}=\dfrac{7l}{M}=\dfrac{28}{16}\, ,## which reduces to ##\displaystyle \dfrac 7 4 = 1.75## . And for ##\displaystyle \dfrac{s\sqrt{-2\,}}{M}## we have ##\displaystyle \dfrac{m\sqrt{-2\,}}{M}=0 ## .

Being the integer closest to ##1.75##, we have ##X=2## . It should be apparent that ##Y=0## . This gives ##\displaystyle q= X+Y\sqrt{-2\,}=2+0\,\sqrt{-2\,}=2##

Therefore, ##\displaystyle \ r = a-q\,b = 7-2\cdot 4 =-1##.

This is very similar to the standard version of Euclidean Division, except that here the remainder falls in the interval ##\displaystyle [-b/2 \,, \ b/2]\, ##. (The author should clean that up to make one of the ends of the interval be open.)

The Euclidean Algorithm goes further than this. The next step: Promote ##b## to take the role of ##a## and ##r## to take the role of ##b##, i.e. - divide ##4## by ##-1## find a quotient and a remainder.. If the remainder is zero, you are nearly (or half) done. If the new ##r\ne 0##, promote ##(b,\ r)## to ##(a,\ b)## and repeat . . . until some ##r=0## . The previous value of ##r## is the ##\gcd (a,\ b)## .

The final step in the Euclidean Algorithm has you backtrack through your previous steps to express the gdc as ##\displaystyle \gcd (a,\ b)=ua+vb ## for some ##u## and ##v##.
Thanks @SammyS ...i will go through your remarks later...cheers.
 
SammyS said:
This is not a particularly good example of two elements in ##\displaystyle \mathbb{Z} [\sqrt{-2\,} \,] ## .

Writing them as elements of ##\displaystyle \mathbb{Z} [\sqrt{-2\,} \,] ## , we have ##\displaystyle 7= 7+0\sqrt{-2\,}## , and ##\displaystyle 4= 4+0\sqrt{-2\,}##

So, we have ##l=4\,,\ m=0\,,\ \text{ and } M=16## .

This gives ##\displaystyle \dfrac{t}{M}=\dfrac{7l}{M}=\dfrac{28}{16}\, ,## which reduces to ##\displaystyle \dfrac 7 4 = 1.75## . And for ##\displaystyle \dfrac{s\sqrt{-2\,}}{M}## we have ##\displaystyle \dfrac{m\sqrt{-2\,}}{M}=0 ## .

Being the integer closest to ##1.75##, we have ##X=2## . It should be apparent that ##Y=0## . This gives ##\displaystyle q= X+Y\sqrt{-2\,}=2+0\,\sqrt{-2\,}=2##

Therefore, ##\displaystyle \ r = a-q\,b = 7-2\cdot 4 =-1##.

This is very similar to the standard version of Euclidean Division, except that here the remainder falls in the interval ##\displaystyle [-b/2 \,, \ b/2]\, ##. (The author should clean that up to make one of the ends of the interval be open.)

The Euclidean Algorithm goes further than this. The next step: Promote ##b## to take the role of ##a## and ##r## to take the role of ##b##, i.e. - divide ##4## by ##-1## find a quotient and a remainder.. If the remainder is zero, you are nearly (or half) done. If the new ##r\ne 0##, promote ##(b,\ r)## to ##(a,\ b)## and repeat . . . until some ##r=0## . The previous value of ##r## is the ##\gcd (a,\ b)## .

The final step in the Euclidean Algorithm has you backtrack through your previous steps to express the gdc as ##\displaystyle \gcd (a,\ b)=ua+vb ## for some ##u## and ##v##.
Am trying to substitute your values into the final inequality but it seems it does not satisfy unless i am not getting it correctly, since ##Y=0## then,

From this line,

##M\left[\dfrac{t}{M} - X\right]^2 ≤ M[(0.5)^2-n(0.5)^2] ≤ 0.75M##

given that, ##\dfrac{t}{M}=1.75##, ##M=16##, ##X=2##, ##n=-1## and ##m=0##.

We shall have

##16(1.75-2)^2 ≤16(0.25+0.25) ≤12##

##1≤8≤12##

Looks fine i had made a mistake on the value of ##X##. Next question suppose we had a value for ##m## how would that work out? Cheers.

Note
Author indicated that the argument works for ##n=-1,2,3## but not for ##n=-3##. I have verified this in the following step; When ##n=-3## we shall have,

##1≤16≤12##

which is a contradiction.
 
Last edited:

Similar threads

  • · Replies 1 ·
Replies
1
Views
3K
  • · Replies 17 ·
Replies
17
Views
2K
  • · Replies 10 ·
Replies
10
Views
2K
  • · Replies 2 ·
Replies
2
Views
2K
  • · Replies 3 ·
Replies
3
Views
2K
  • · Replies 1 ·
Replies
1
Views
1K
  • · Replies 4 ·
Replies
4
Views
2K
  • · Replies 6 ·
Replies
6
Views
1K
Replies
3
Views
1K
  • · Replies 19 ·
Replies
19
Views
3K