Problem using Pulleys with Weight in Equilibrium

Click For Summary

Discussion Overview

The discussion revolves around a problem involving pulleys and weights in equilibrium, specifically focusing on finding the compression in a mast and the angle it makes with the horizontal. Participants explore the application of free body diagrams (FBDs) and the balance of forces in a static scenario.

Discussion Character

  • Technical explanation
  • Mathematical reasoning
  • Debate/contested

Main Points Raised

  • One participant seeks assistance in determining the compression "C" in the mast and the angle "X" with the horizontal, noting that the tension "T" in the ropes is equal on both sides of the pulley.
  • Another participant emphasizes that if nothing is moving, all forces must be in balance and asks about the free body diagrams created so far.
  • Several participants suggest sharing free body diagrams of both the hanging weight and the mast to clarify the problem.
  • Concerns are raised about a potential error in the original diagram regarding the angle reference, suggesting it should be vertical rather than at 45°.
  • One participant proposes that the problem may contain a typo, questioning the correctness of the angle derived from the given information.
  • Another participant explains the need to isolate the hanging mass and the mast in separate FBDs to derive the necessary equations for tension and angle.
  • One participant expresses relief at understanding the problem better after engaging with the discussion, indicating a shift in their approach.

Areas of Agreement / Disagreement

Participants express uncertainty about the correctness of the original diagram and whether it contains a typo. There is no consensus on the resolution of the problem, as multiple interpretations and approaches are presented.

Contextual Notes

Some participants mention the importance of correctly identifying forces and angles in free body diagrams, but there are unresolved assumptions regarding the accuracy of the original problem statement and the diagrams provided.

Tygra
Messages
55
Reaction score
8
Homework Statement
Calculate angle of mast and the compression force in the mast
Relevant Equations
In the question
Dear all,

I have the following problem:

Screenshot 2024-10-30 230737.png

I need to find the compression "C" in the mast and the angle that the masts makes with the horizontal (X degrees).

I know that the tension in the ropes "T" are of the same magnitude on both sides of the pulley, but I am struggling with finding C and X.

Could someone help please?
 

Attachments

  • Screenshot 2024-10-30 225617.png
    Screenshot 2024-10-30 225617.png
    5.3 KB · Views: 82
  • Screenshot 2024-10-30 230624.png
    Screenshot 2024-10-30 230624.png
    5.2 KB · Views: 86
Physics news on Phys.org
If nothing is moving, all forces are in balance.
What have you done so far in terms of free body diagrams?
 
Hi Lnewqban,

this is how I attempt the question:

Screenshot 2024-10-30 232846.png

When I do the final algebra, I am way off.
 
Tygra said:
Hi Lnewqban,

this is how I attempt the question:

View attachment 352905
When I do the final algebra, I am way off.
Please share a Free body diagram of the hanging weight, and a separate FBD of the mast.
 
Lnewqban said:
It seems that the original diagram shows the top 45° angle in error, as its reference should be a vertical line rather than C.
So are you saying they did this on purpose?

Can I ask, how you would attempt this question?
 
No, I don’t.
Yes, you can: a free body diagram would be my very first step.
 
Lnewqban said:
No, I don’t.
Yes, you can: a free body diagram would be my very first step.
So it must be a typo in the book? This problem is from a book.

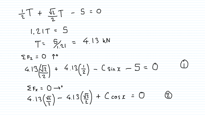
Here is my free body diagram:

Screenshot 2024-10-31 124011.png


Is this correct?
 
Tygra said:
So it must be a typo in the book? This problem is from a book.

Here is my free body diagram:

View attachment 352917

Is this correct?
FBD of what? You isolate the hanging mass. Forces of weight ##W## and tension(s) ##T## act on it. You use it to find ##T## in terms of ##W##. Thats one FBD. The other is a Free body diagram of the member ##C##. You isolate the mast from the external surroundings. Tension forces, and reaction forces at the hinge should be shown. You use both component equations simultaneously to find the angle ##X##.
 
  • #10
Thank you. I have it now. I think I was making it more complicated than what it was.
 
  • #11
Tygra said:
So it must be a typo in the book? This problem is from a book.

Here is my free body diagram:

View attachment 352917

Is this correct?
Yes, it must be a typo.
Otherwise they would be giving away angle x as being 90° (45+45+90=180), which is an incorrect value.

In order to properly calculate T, you need to consider the “Y” formed by T, T and 5 kN.
In this case the “Y” is symmetrical and the value of T is the same on the left and the right sides, but it is not always that way.
Hope you have checked the example in the link previously posted.
 
  • Like
Likes   Reactions: erobz

Similar threads

  • · Replies 2 ·
Replies
2
Views
4K
  • · Replies 11 ·
Replies
11
Views
4K
  • · Replies 3 ·
Replies
3
Views
3K
Replies
1
Views
4K
  • · Replies 31 ·
2
Replies
31
Views
5K
Replies
25
Views
9K
  • · Replies 23 ·
Replies
23
Views
3K
  • · Replies 8 ·
Replies
8
Views
3K
  • · Replies 5 ·
Replies
5
Views
5K
  • · Replies 22 ·
Replies
22
Views
8K