Proof of Existence of Tensor Product .... Further Question ...

Click For Summary

Discussion Overview

The discussion revolves around the proof of the existence of a tensor product as presented in Bruce N. Cooperstein's book, specifically focusing on Theorem 10.1 and the universal mapping property (UMP) associated with a vector space Z based on a set X. Participants explore the implications of this theorem and seek clarification on the nature of the mappings involved.

Discussion Character

  • Technical explanation
  • Conceptual clarification
  • Exploratory

Main Points Raised

  • Peter questions why the vector space Z has a universal mapping property and whether this is due to Z being based on the set X, as stated in Cooperstein's definition.
  • Peter reflects on his own realization regarding the UMP of Z, suggesting it is because (Z, ι) is assumed to be the vector space based on the set X.
  • Another participant introduces the concept of maps factoring through, explaining it in the context of bilinear maps and tensor products, indicating that the tensor product allows for such factorization.
  • This participant mentions the importance of conditions on the kernel of a map for understanding how maps factor through, promising to look up these conditions for further clarification.

Areas of Agreement / Disagreement

Participants express individual viewpoints and seek clarification, but there is no consensus reached on the specific nature of the universal mapping property or the conditions for maps factoring through.

Contextual Notes

Peter's understanding of the universal mapping property relies on the definition provided in the text, which may not be universally accepted without further discussion. The exploration of maps factoring through introduces additional complexity that remains unresolved.

Math Amateur
Gold Member
MHB
Messages
3,920
Reaction score
48
I am reading Bruce N. Coopersteins book: Advanced Linear Algebra (Second Edition) ... ...

I am focused on Section 10.1 Introduction to Tensor Products ... ...

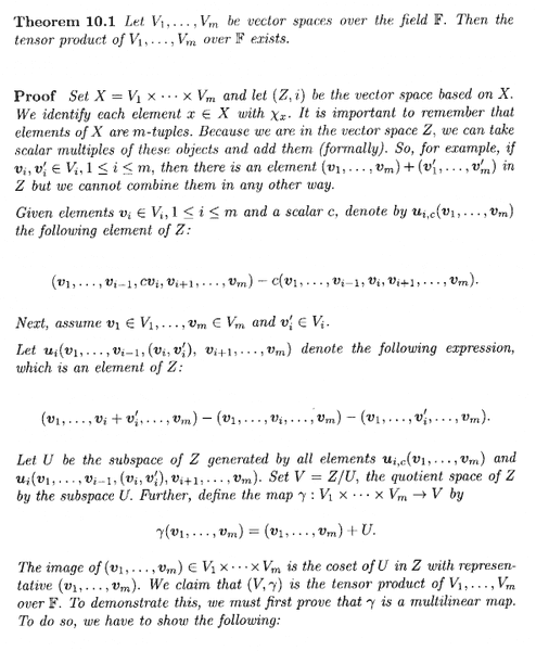
I need help with another aspect of the proof of Theorem 10.1 regarding the existence of a tensor product ... ...The relevant part of Theorem 10.1 reads as follows:
?temp_hash=b2111ef8ae3decfb3487a4288419e3ab.png

?temp_hash=b2111ef8ae3decfb3487a4288419e3ab.png

?temp_hash=b2111ef8ae3decfb3487a4288419e3ab.png

In the above text we read the following:" ... ... Recall that [itex]V_1 \times \ ... \ \times V_m = X[/itex] and that [itex]Z[/itex] is a vector space based on [itex]X[/itex]. Since [itex]W[/itex] is a vector space and [itex]f[/itex] is a map from [itex]X[/itex] to [itex]W[/itex], by the universal property of [itex]Z[/itex] there exists a unique linear transformation [itex]S \ : \ Z \longrightarrow W[/itex] such that [itex]S[/itex] restricted to [itex]X[/itex] is [itex]f[/itex]. ... ..."Now I have summarised the mappings involved in Theorem 10.1 in Figure 1 below ... ...

?temp_hash=103d7bc653fad9a1cc4300e9c88a4a21.png
My question is as follows:

Why does [itex]Z[/itex] have a universal mapping property ...? ... ... and indeed if [itex]Z[/itex] has one, why doesn't [itex]V[/itex] ... ... giving us the relationship [itex]T \gamma = f[/itex] that we want ... what is special about [itex]Z[/itex]?
Hope someone can help ...

Peter

*** NOTE ***

... ... oh no! ... ... I think I have just realized the answer to my question ... hmm ... embarrassingly simple ... ... I think that [itex]Z[/itex] has a UMP because [itex]( Z, \iota )[/itex] is assumed to be the vector space based on the set [itex]X[/itex]... and vector spaces based on a set have a UMP ... is that right? ... see Cooperstein Definition 10.1 on the first page of Section 10.1 provided below ...

Can someone confirm that this is the reason Z has a Universal Mapping Property ...

Peter
==========================================================*** NOTE ***It may help readers of the above post to be able to read Cooperstein's introduction to Section 10.1 where he covers, among other things, the notion of a vector space being based on a set and the idea of the universal mapping problem ... ... so I am providing this text as follows:
?temp_hash=c9f6a4cb768e80949ddfbbb6334eb0e0.png

?temp_hash=c9f6a4cb768e80949ddfbbb6334eb0e0.png

?temp_hash=c9f6a4cb768e80949ddfbbb6334eb0e0.png

?temp_hash=c9f6a4cb768e80949ddfbbb6334eb0e0.png
 

Attachments

  • Cooperstein - 1 - Theorem 10.1 - PART 1       ....png
    Cooperstein - 1 - Theorem 10.1 - PART 1 ....png
    36.5 KB · Views: 1,048
  • Cooperstein - 2 - Theorem 10.1 - PART 2        ....png
    Cooperstein - 2 - Theorem 10.1 - PART 2 ....png
    29.4 KB · Views: 751
  • Cooperstein - 3 - Theorem 10.1 - PART 3        ....png
    Cooperstein - 3 - Theorem 10.1 - PART 3 ....png
    37.9 KB · Views: 877
  • Figure 1 - Cooperstein - Theorem 10.1 - Mappings.png
    Figure 1 - Cooperstein - Theorem 10.1 - Mappings.png
    18.6 KB · Views: 1,006
  • Cooperstein - 1 - Section 10.1 - PART 1     ....png
    Cooperstein - 1 - Section 10.1 - PART 1 ....png
    70.8 KB · Views: 690
  • Cooperstein - 2 - Section 10.1 - PART 2     ....png
    Cooperstein - 2 - Section 10.1 - PART 2 ....png
    38.4 KB · Views: 610
  • Cooperstein - 3 - Section 10.1 - PART 3     ....png
    Cooperstein - 3 - Section 10.1 - PART 3 ....png
    35.3 KB · Views: 696
  • Cooperstein - 4 - Section 10.1 - PART 4     ....png
    Cooperstein - 4 - Section 10.1 - PART 4 ....png
    33.1 KB · Views: 677
Last edited:
Physics news on Phys.org
I think a helpful thing to know/understand is the concept of maps factoring through (the quotient, here): https://en.wikipedia.org/wiki/List_of_mathematical_jargon in algebra, there are conditions on the kernel of a map. Factoring through is in analogy with the factoring of numbers as products.

You are given functions f:A-->C , g: A-->B . Then f factors through g if there is an h: with f=hg ; h is a map from B-->C. This is I think the clearest way of understanding the tensor product. For vector spaces V,W , the tensor product , ## V \ Oline W ## is a vector space in which every bilinear map defined on VxW into a third vector space Z factors through a linear map from the tensor product into Z. The conditions on the kernel guarantee that maps factor through. I will look up the conditions on the kernel and image of the respective groups and get back with it.
 
  • Like
Likes   Reactions: Math Amateur
Thanks WWGD ... most helpful ...

Peter
 
Math Amateur said:
Thanks WWGD ... most helpful ...

Peter
Glad it helped, Peter, I went through my own pain trying to understand it -- I feel your pain :).
 
Thanks again WWGD ... good to have your support ...

Peter
 
  • Like
Likes   Reactions: WWGD

Similar threads

  • · Replies 5 ·
Replies
5
Views
2K
  • · Replies 13 ·
Replies
13
Views
4K
  • · Replies 28 ·
Replies
28
Views
4K
  • · Replies 2 ·
Replies
2
Views
2K
  • · Replies 5 ·
Replies
5
Views
3K
  • · Replies 2 ·
Replies
2
Views
2K
  • · Replies 7 ·
Replies
7
Views
3K
  • · Replies 10 ·
Replies
10
Views
3K
  • · Replies 1 ·
Replies
1
Views
2K
  • · Replies 32 ·
2
Replies
32
Views
5K