Proof that a projectile comes to rest in a finite distance

Click For Summary

Homework Help Overview

The discussion revolves around proving that a projectile in one-dimensional and two-dimensional motion comes to rest in a finite distance when the initial velocity is greater than zero. Participants are examining the implications of equations of motion, particularly in the context of motion through a medium with linear drag.

Discussion Character

  • Exploratory, Assumption checking, Problem interpretation

Approaches and Questions Raised

  • Participants are questioning the validity of the equations presented, particularly regarding their applicability to the scenario of a projectile coming to rest. There is a focus on clarifying the original problem statement and ensuring that it aligns with the equations used.

Discussion Status

The discussion is ongoing, with participants seeking clarification on the original problem statement and the equations involved. Some guidance has been offered regarding the need for a complete question and the implications of the equations on the projectile's motion.

Contextual Notes

Participants note that the equations provided suggest that the projectile will not come to rest in the vertical direction due to the nature of the motion described. There is an emphasis on adhering to forum rules regarding showing attempts at understanding before receiving assistance.

dk123
Messages
2
Reaction score
0
Homework Statement
How do I prove that a projectile in a two-dimensional trajectory motion comes to rest in a finite distance when v>0
Relevant Equations
Projectile Motion Equation
equation of motion :
1588891161752.png

while
1588891003169.png

1588891193850.png

1588891240419.png
 

Attachments

  • 1588890970763.png
    1588890970763.png
    1.8 KB · Views: 147
  • 1588891188755.png
    1588891188755.png
    757 bytes · Views: 164
Last edited:
Physics news on Phys.org
dk123 said:
Homework Statement:: How do I prove that a projectile in a one-dimensional trajectory motion comes to rest in a finite distance when v>0
Relevant Equations:: F_net = mg-bv

equation of motion dervinghttps://www.physicsforums.com/attachments/262298

https://www.physicsforums.com/attachments/262295 and https://www.physicsforums.com/attachments/262296 => https://www.physicsforums.com/attachments/262297
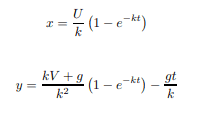
The equations you posted look like falling through a medium with linear drag. That is clearly not going to come to rest in consequence of those equations. It will come to rest, one presumes, when it lands.
Please post the exact question as given to you.
 
haruspex said:
The equations you posted look like falling through a medium with linear drag. That is clearly not going to come to rest in consequence of those equations. It will come to rest, one presumes, when it lands.
Please post the exact question as given to you.
I fixed the question!
 
dk123 said:
Homework Statement:: How do I prove that a projectile in a two-dimensional trajectory motion comes to rest in a finite distance when v>0
Relevant Equations:: Projectile Motion Equation

equation of motion :
View attachment 262306
while
View attachment 262305
View attachment 262308
View attachment 262309
:welcome:
What have you tried?
Where are you stuck?

According of rules of this forum, you must show an attempt at solving/understanding the problem before we can give any help.
 
dk123 said:
I fixed the question!
Only partly. You have posted some equations and your own paraphrase of the question. This still does not make sense since it is obvious from those equations that it will not come to rest in the y direction.
Please post the complete statement of the question as provided to you.
 

Similar threads

  • · Replies 3 ·
Replies
3
Views
1K
Replies
9
Views
2K
  • · Replies 38 ·
2
Replies
38
Views
7K
  • · Replies 2 ·
Replies
2
Views
823
  • · Replies 4 ·
Replies
4
Views
3K
  • · Replies 13 ·
Replies
13
Views
3K
  • · Replies 3 ·
Replies
3
Views
2K
  • · Replies 2 ·
Replies
2
Views
2K
  • · Replies 18 ·
Replies
18
Views
3K
Replies
7
Views
2K