Properties of limits of exponential functions

Click For Summary

Homework Help Overview

The discussion revolves around the properties of limits of exponential functions, particularly focusing on specific problems (P1, P4) related to these properties. Participants are exploring the implications of certain limit expressions and the assumptions underlying their proofs.

Discussion Character

  • Exploratory, Assumption checking, Mathematical reasoning

Approaches and Questions Raised

  • Participants are questioning the use of natural logarithm properties in proofs and discussing the assumptions made in their reasoning. There are attempts to manipulate limit expressions to align with known limits, and some participants express uncertainty about specific problems.

Discussion Status

The discussion is ongoing, with participants providing insights and raising questions about assumptions and details necessary for the proofs. Some guidance has been offered regarding the manipulation of limits, but there is no explicit consensus on the approaches being taken.

Contextual Notes

There are mentions of specific limits that are assumed to be valid, and participants are encouraged to clarify the conditions under which these limits hold. The discussion also highlights the importance of specifying whether constants involved are negative or non-negative.

A dummy progression
Messages
23
Reaction score
1
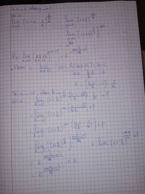
Homework Statement
Prove the following properties (in pictures)
Relevant Equations
Using the def. Of natural logarithm
IMG_20220311_172438_515.jpg

I did only the the first three prop.
And on a means we have, on pose or posons means let there be , propriétés means properties, alors meand then.

I apologize i am a french native speaker and i am busy so i cannot rewrite this in entirely english
 

Attachments

  • IMG_20220311_172432_730.jpg
    IMG_20220311_172432_730.jpg
    43.6 KB · Views: 165
Physics news on Phys.org
I'm not convinced by what you have done for P1. Where did you use the properties of the natural logarithm?

In any case, you need to be clear about what you are assuming in your proof.
 
My guess is you are allowed to use
[tex] \lim _{x\to\infty} \left (1+\frac{1}{x} \right )^x = e\tag{1}.[/tex]
For P1, the above implies
[tex] \lim _{x\to\infty} \left (1+\frac{a}{x} \right )^x = e^{a}[/tex]
and therefore for any ##b\geqslant 0##
[tex] \lim _{x\to\infty} \left (1+\frac{a}{x} \right )^{bx} = e^{ba}.[/tex]
The others are done similarly. Your task is to manipulate the limit to look like (1).

Be careful with statements like if ##x\to 0##, then ##y:= \frac{a}{x}\to \infty\ (a>0)##. This is true assuming ##x\to 0+##. It's clear ##a,b## are some fixed constants, but specify whether they are negative/non-negative. These details are important.
 
Last edited:
  • Like
Likes   Reactions: PeroK
PeroK said:
I'm not convinced by what you have done for P1. Where did you use the properties of the natural logarithm?

In any case, you need to be clear about what you are assuming in your proof.
I don't know how to do P4. But i proved all of the first three
 
nuuskur said:
My guess is you are allowed to use
[tex] \lim _{x\to\infty} \left (1+\frac{1}{x} \right )^x = e\tag{1}.[/tex]
IMG_20220311_172432_730.jpg
IMG_20220311_172438_515.jpg

For P1, the above implies
[tex] \lim _{x\to\infty} \left (1+\frac{a}{x} \right )^x = e^{a}[/tex]
and therefore for any ##b\geqslant 0##
[tex] \lim _{x\to\infty} \left (1+\frac{a}{x} \right )^{bx} = e^{ba}.[/tex]
The others are done similarly. Your task is to manipulate the limit to look like (1).

Be careful with statements like if ##x\to 0##, then ##y:= \frac{a}{x}\to \infty\ (a>0)##. This is true assuming ##x\to 0+##. It's clear ##a,b## are some fixed constants, but specify whether they are negative/non-negative. These details are important.
On pose : we set , on a : we have , alors : then.

I didn't find P4 . Could you explain it to me?
 
What is assumed of ##u## and ##v##? Details are important! Do you seek to prove
[tex] \lim _{x\to a} u(x) ^{v(x)} = \exp \left ( \lim _{x\to a} (u(x)-1)v(x) \right )?[/tex]
If so, then don't bother, for this is false.

It is true that
[tex] \lim _{x\to a} u(x) ^{v(x)} = u(a) ^{v(a)}[/tex]
assuming ##u(x)^{v(x)}## is well defined around ##a## and ##u,v## are continuous at ##a##.
 

Similar threads

  • · Replies 3 ·
Replies
3
Views
3K
Replies
25
Views
5K
  • · Replies 1 ·
Replies
1
Views
2K
  • · Replies 2 ·
Replies
2
Views
2K
  • · Replies 3 ·
Replies
3
Views
3K
  • · Replies 0 ·
Replies
0
Views
3K
  • · Replies 4 ·
Replies
4
Views
9K
  • · Replies 4 ·
Replies
4
Views
3K
  • · Replies 2 ·
Replies
2
Views
2K
Replies
29
Views
3K