Pytels Dynamics 12.14: particle moves on helix

Click For Summary

Homework Help Overview

The problem involves a particle moving along a helix, with its position vector defined by specific equations for x, y, and z components. The task is to demonstrate that the velocity and acceleration of the particle maintain constant magnitudes and to compute these values given certain parameters.

Discussion Character

  • Exploratory, Conceptual clarification, Mathematical reasoning

Approaches and Questions Raised

  • The original poster attempts to compute the vertical component of velocity and questions the validity of assuming certain parameters are constant. Some participants discuss the nature of the parameters h and R, suggesting they should not be treated as variables in differentiation.

Discussion Status

Participants are engaging in a review of the original poster's calculations, with some expressing confidence in the results while others emphasize the importance of maintaining units throughout the calculations. There is a focus on clarifying the treatment of constants versus variables in the context of the problem.

Contextual Notes

There is an ongoing discussion about the assumptions regarding the parameters h and R, particularly in relation to their roles in defining the shape of the helix. The original poster's approach to differentiation is under scrutiny, with some participants suggesting a need for clearer reasoning regarding constants in the equations.

Alexanddros81
Messages
177
Reaction score
4

Homework Statement


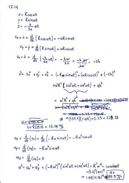
When a particle moves along the helix shown, the componentsof its position vector are
x=Rcosωt , y = Rsinωt , ##z=-\frac h {2π} ωt##

where ω is constant. Show that the velocity and acceleration have constant magnitutes,
and compute their values if R=1.2m, h=0.75m, and ω=4π rad/s

Homework Equations

The Attempt at a Solution


for a start I would like someone to tell me by computing vz = dz/dhxdh/dt
what dh/dt is equal to? Since h = 0.75m = constant, then vz=0 and az = 0
Is my asumption correct?
 

Attachments

  • 12_14 Pytel.jpg
    12_14 Pytel.jpg
    41.3 KB · Views: 556
Physics news on Phys.org
You would not take a derivative with respect to h : h and R are parameters which someone would choose to describe a specific shape and size of helix. Imagine a tightly wound screw, then you have h (the gap between adjacent helix "threads") small in relation to R. If h is larger then it will be a "shallower" spiral (imagine a drill bit). so h and R are considered constants, in this case.
 
Can you chek my solution?
My results are the same as Pytels
 

Attachments

  • Pytel_Dynamics018.jpg
    Pytel_Dynamics018.jpg
    29.5 KB · Views: 569
  • Like
Likes   Reactions: scottdave
It looks right to me. I didn't get out the calculator and check all the numbers. They appear to be in the ballpark, though.

One thing: I would keep the units when doing the work. You made the substitution of w = 4pi and then canceled out the pi, so that vz = -2h ; which when first looking at it, looks like a distance, not a velocity. But the w carried a dimension of (1/time), which would restore the [Length]/[Time] dimensions of velocity. (radian angle measure is considered dimensionless in most cases.
 

Similar threads

  • · Replies 3 ·
Replies
3
Views
2K
  • · Replies 3 ·
Replies
3
Views
2K
  • · Replies 6 ·
Replies
6
Views
3K
  • · Replies 2 ·
Replies
2
Views
4K
Replies
1
Views
2K
  • · Replies 3 ·
Replies
3
Views
3K
  • · Replies 2 ·
Replies
2
Views
5K
Replies
3
Views
12K
  • · Replies 9 ·
Replies
9
Views
9K
  • · Replies 2 ·
Replies
2
Views
2K