Pytels Dynamics 12.26: Block moves along the x-axis

Click For Summary

Homework Help Overview

The problem involves a 0.1-kg block moving along the x-axis under the influence of a time-dependent force. The task is to determine the distance traveled by the block over a specified time interval, given its initial conditions and the force acting on it.

Discussion Character

  • Exploratory, Conceptual clarification, Mathematical reasoning

Approaches and Questions Raised

  • Participants discuss the need to differentiate between distance traveled and displacement, questioning how to accurately calculate the distance over the time interval. There are inquiries about the use of vector notation and the implications of negative results in calculations.

Discussion Status

Some participants have proposed methods for calculating the distance, including evaluating the position at discrete time intervals and integrating the speed. There is acknowledgment of the complexity introduced by the changing direction of the block's motion.

Contextual Notes

Participants note the importance of understanding the distinction between distance and displacement in the context of the problem, as well as the potential confusion arising from the force's negative component.

Alexanddros81
Messages
177
Reaction score
4

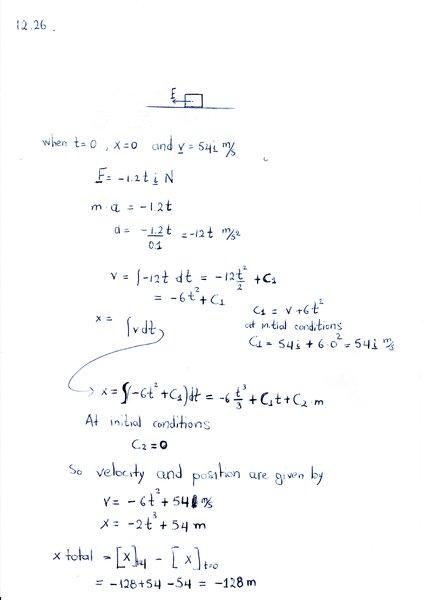
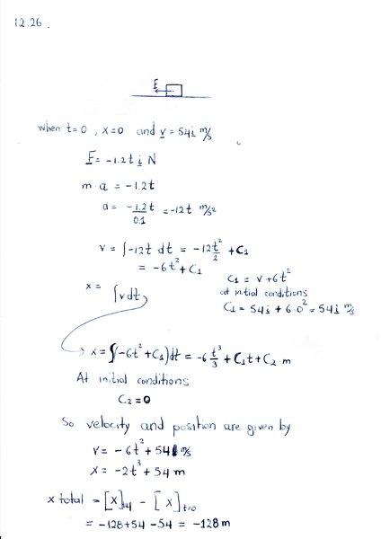
Homework Statement


A 0.1-kg block moves along the x-axis. The resultant of all forces acting on the block is F = -1.2tiN, where t
is in seconds. When t=0, x=0 and v=54i m/s.
Determine the distance traveled by the particle during the time interval t=0 to t=4s.

Homework Equations

The Attempt at a Solution


See the attached file.

Also, when do I use vector notation in the equations? Is it my choice whether to use it or not?
What does the minus sign in the solution result mean?
Next problem is with better pen.
 

Attachments

  • Pytel_Dynamics025.jpg
    Pytel_Dynamics025.jpg
    17.5 KB · Views: 597
Physics news on Phys.org
Alexanddros81 said:

Homework Statement


A 0.1-kg block moves along the x-axis. The resultant of all forces acting on the block is F = -1.2tiN, where t
is in seconds. When t=0, x=0 and v=54i m/s.
Determine the distance traveled by the particle during the time interval t=0 to t=4s.

Homework Equations

The Attempt at a Solution


See the attached file.

Also, when do I use vector notation in the equations? Is it my choice whether to use it or not?
What does the minus sign in the solution result mean?
Next problem is with better pen.
pytel_dynamics025-jpg.jpg

The x(t) function is wrong.
The problem asks the distance traveled. It is not the same as the displacement, x(final)-x(initial).
 
The book gives a result of 128m.
Basicallly I am confused on how to calculate this. Do I calculate the position at every second (from 0 to 4 seconds) and then...?
Also x(t) should be ##x(t)=-2t^3+54t##
By looking the graph of the function when v=0 then t=3 and could be easily calculated.
At t=3s then x=108m. At t=4s then x=88m.
So the block had traveled from t=0s to t=3s to the right for 108m and then from t=3s to t=4s to the left for 20m. So distance travelled
from t=0s to t=4s is 128m.
How do I calculate this by using a formula?
 
Alexanddros81 said:
The book gives a result of 128m.
Basicallly I am confused on how to calculate this. Do I calculate the position at every second (from 0 to 4 seconds) and then...?
Also x(t) should be ##x(t)=-2t^3+54t##
By looking the graph of the function when v=0 then t=3 and could be easily calculated.
At t=3s then x=108m. At t=4s then x=88m.
So the block had traveled from t=0s to t=3s to the right for 108m and then from t=3s to t=4s to the left for 20m. So distance travelled
from t=0s to t=4s is 128m.
How do I calculate this by using a formula?
The distance traveled is the integral of the speed with respect to time. The speed is magnitude of the velocity ##v=|\vec v|##. The velocity changes sign at t = 3 s, so ##d=\int _0^3(-6t^2+54)dt+\int _3^4(6t^2-54)dt##
 
  • Like
Likes   Reactions: Alexanddros81
Yes. I've done the math and works fine. 108 from forst integral and 20 from second.
 

Similar threads

  • · Replies 4 ·
Replies
4
Views
2K
  • · Replies 3 ·
Replies
3
Views
855
  • · Replies 11 ·
Replies
11
Views
2K
  • · Replies 3 ·
Replies
3
Views
2K
  • · Replies 28 ·
Replies
28
Views
4K
  • · Replies 3 ·
Replies
3
Views
2K
  • · Replies 4 ·
Replies
4
Views
3K
  • · Replies 6 ·
Replies
6
Views
2K
Replies
6
Views
2K
  • · Replies 8 ·
Replies
8
Views
3K