Pytels Dynamics 12.8: Missile dynamics, acceleration and escape velocity

Click For Summary

Homework Help Overview

The discussion revolves around the dynamics of a missile launched from a planet's surface, focusing on its acceleration and escape velocity as described by a specific equation derived from universal gravitation. Participants are exploring the implications of this equation in the context of gravitational forces and motion.

Discussion Character

  • Exploratory, Mathematical reasoning, Assumption checking

Approaches and Questions Raised

  • Participants discuss the derivation of acceleration in terms of radius and the conditions for escape velocity. There are attempts to differentiate equations and apply various mathematical principles, including implicit differentiation.

Discussion Status

Some participants have provided insights into the differentiation process and questioned the algebraic manipulations used in previous attempts. There is ongoing exploration of the relationships between variables and the conditions under which the missile does not return to the planet.

Contextual Notes

Participants are working under the constraints of a homework assignment, which may limit the information they can share or the methods they can use. There are indications of flawed algebra in previous attempts, which are being critically examined.

Alexanddros81
Messages
177
Reaction score
4

Homework Statement


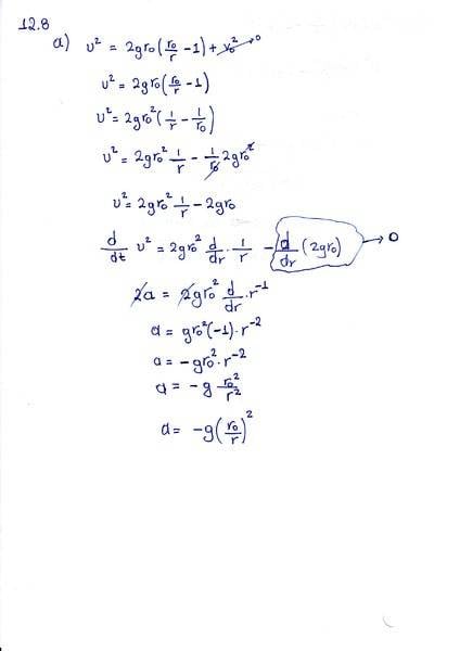
A missile is launched from the surface of a planet with the speed v0 at t=0.
According to the theory of universal gravitation, the speed v of the missile after launch
is given by
v2 = 2gr0(r0 / r -1) + v02

where g is the gravitational acceleration on the surface of the planet and r0 is the mean
radius of the planet.
(a) Determine the acceleration of the missile in terms of r.
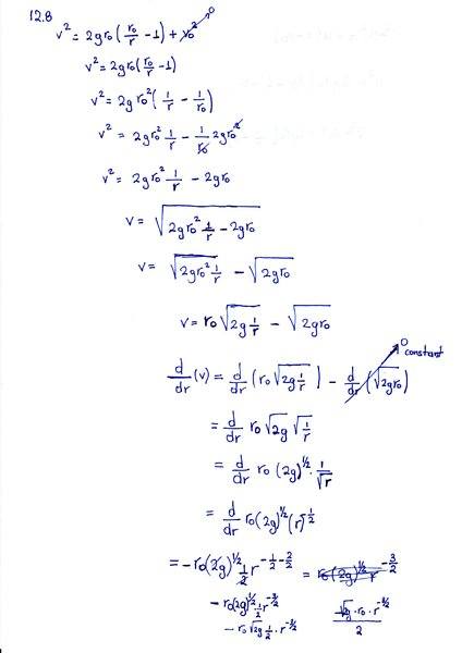
(b) Find the escape velocity that is the minimum value of v0 for which the missile will not return to the planet.
c)Using the result of part (b) calculate the escape velocity for earth, where g = 9.81m/s2 and
r0 = 6370km

Homework Equations

The Attempt at a Solution


I have tried part (a) . My attempt is found in the attached file.
Another way to go is to use the v2 = 2a(x-x0) + v02
and compare with given equation. I have tried that and couldn't get -g(r0/r)2
How do i solve part (b)? any hints
 

Attachments

  • Pytel_Dynamics009.jpg
    Pytel_Dynamics009.jpg
    19.4 KB · Views: 569
Physics news on Phys.org
Alexanddros81 said:
I have tried part (a)
##\sqrt{a-b}## is not the same as ##\sqrt a- \sqrt b##.
Try differentiating without taking the square root.

For b, if it does not return, how large does r get?
 
Check for part a and part b in attached files
If it doesn't return then r→∞
Is part b correct?
 

Attachments

  • Pytel_Dynamics010.jpg
    Pytel_Dynamics010.jpg
    15.5 KB · Views: 564
  • Pytel_Dynamics011.jpg
    Pytel_Dynamics011.jpg
    8.4 KB · Views: 600
Alexanddros81 said:
Check for part a and part b in attached files
If it doesn't return then r→∞
Is part b correct?
Remarkably, you got the right answers to both a and b via flawed algebra.

In a, you differentiated the left hand side with respect to t and the right with respect to r. You must always do the same thing to both sides of an equation. If you differentiate both sides wrt t then on the right you get a factor ##\frac{dr}{dt}## (chain rule).
But in the next line, the derivative of v2 with respect to t is ##2v\frac{dv}{dt}=2va##, not just 2a. These two errors canceled out to give the right result.

In b, you again have made the blunder of distributing √ across a sum of terms. ##\sqrt{v^2+2gr_0}## is not ##\sqrt{v^2}+\sqrt{2gr_0}##. Is √1+√4=√(1+4)? You got away with that because in the case you are interested in v=0.
 
Ok got it!
On the left side we let z=v2 and take the dz/dt = (dz/dr)(dr/dt) = 2va
On the right side we do the same : 2gr02 dz/dt where z=1/r => 2gr02(dz/dr)(dr/dt) =
= 2gr02(-1)r-2v
the 2 and v cancel out
This is implicit differentiation isn't it?
 
Alexanddros81 said:
Ok got it!
On the left side we let z=v2 and take the dz/dt = (dz/dr)(dr/dt) = 2va
On the right side we do the same : 2gr02 dz/dt where z=1/r => 2gr02(dz/dr)(dr/dt) =
= 2gr02(-1)r-2v
the 2 and v cancel out
This is implicit differentiation isn't it?
Yes. But I think you mean dz/dt=dz/dv dv/dt on the left.
 
yes.
 

Similar threads

  • · Replies 7 ·
Replies
7
Views
1K
  • · Replies 15 ·
Replies
15
Views
2K
  • · Replies 7 ·
Replies
7
Views
2K
  • · Replies 5 ·
Replies
5
Views
2K
  • · Replies 5 ·
Replies
5
Views
2K
  • · Replies 9 ·
Replies
9
Views
2K
  • · Replies 18 ·
Replies
18
Views
5K
  • · Replies 8 ·
Replies
8
Views
2K
  • · Replies 39 ·
2
Replies
39
Views
4K
Replies
15
Views
3K