Question about vertical centripital force

  • Thread starter Thread starter barryj
  • Start date Start date
  • Tags Tags
    Force Vertical
Click For Summary

Homework Help Overview

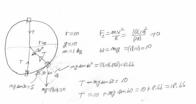
The discussion revolves around a problem related to vertical circular motion, specifically calculating the tension in a string at various positions of a mass in motion. The mass is given as 1 kg, with gravitational acceleration assumed to be 10 m/s² and a velocity of 10 m/s.

Discussion Character

  • Exploratory, Assumption checking, Conceptual clarification

Approaches and Questions Raised

  • The original poster attempts to calculate the tension in the string at different angles by breaking down the forces acting on the mass. Participants question the correctness of trigonometric values used in the calculations and discuss the implications of angle confusion on the results.

Discussion Status

Participants are actively engaging with the problem, verifying calculations, and clarifying concepts related to circular motion. There is acknowledgment of confusion regarding angles, and some participants express satisfaction with their understanding of the problem.

Contextual Notes

Some participants note that the problem may involve unrealistic scenarios, such as maintaining constant tangential speed in a vertical circle, which could complicate the analysis.

barryj
Messages
856
Reaction score
51

Homework Statement


What is the tension of the string at these places.
See figure. Vertical circular motion. m = 1kg, assume g = 10 m/s^2, velocity = 10 m/sec
a) what is the tension in the string when the mass is 30 deg below the horizon.
b)what is the tension at the top of the loop
c) what is the tension at the bottom of the loop[/B]

Homework Equations


centripetal force F = mv^2/r = 1(10)^2/10 = 10N
weight = mg = (1)(10) = 10 N[/B]

The Attempt at a Solution


I broke up the weight into two parts, one along the direction of the string, the other tangential to the circle. The component of the weight along the direction of the string is mgcos(60 deg) = 1(10)(.866) = 8.66N. So I figure the tension in the string must be the sum of the centripetal force plus the component of the weight in the direction of the string or T = 10 + 8.66 = 18.66.
The tension at the top is 0 N and at the bottom 20 N.[/B]
 

Attachments

  • img545.jpg
    img545.jpg
    14.2 KB · Views: 463
Physics news on Phys.org
Is the cosine of 30##^\circ## 0.866 ?
 
Yes, the cosine of 30 deg is 0.866 but I think I should have used sin of 30 deg = 0.5 instead. This would make the tension at 30 deg = 15 N,yes??
 
You're right. o:) Twice :smile:
I looked at the angles and got confued (your 30##^\circ## angle and 60##^\circ## angle look distractingly alike)
My approach was that the contribution to T would have to go to 0 if the angle went to 0.

Well done.
 
It is good to know I did it correct. Circular motion in the vertical plane is a bit confusing.
 
barryj said:
Circular motion in the vertical plane is a bit confusing.
Made more confusing by unrealistic questions, perhaps. Maintaining constant tangential speed for an object tied to a string in a vertical circle would require some careful engineering.
 
  • Like
Likes   Reactions: BvU

Similar threads

Replies
2
Views
2K
  • · Replies 38 ·
2
Replies
38
Views
9K
  • · Replies 5 ·
Replies
5
Views
2K
Replies
7
Views
3K
  • · Replies 4 ·
Replies
4
Views
4K
Replies
2
Views
1K
Replies
19
Views
2K
  • · Replies 6 ·
Replies
6
Views
3K
  • · Replies 7 ·
Replies
7
Views
5K
  • · Replies 9 ·
Replies
9
Views
2K