Radius of Convergence for Ratio Test in Calculus Questions

Click For Summary
SUMMARY

The discussion centers on the application of the Ratio Test to determine the interval of convergence for series in calculus. Participants emphasize the necessity of substituting boundary values, specifically -2 and 2, into the original equation to assess convergence or divergence. Additionally, there is a mention of potential errors in the problem statement, particularly regarding the exponent of x, which may affect the outcome of the test. Understanding these steps is crucial for accurately determining the radius of convergence.

PREREQUISITES
  • Understanding of the Ratio Test in calculus
  • Familiarity with convergence and divergence of series
  • Basic knowledge of polynomial functions and their properties
  • Ability to manipulate and substitute values into mathematical equations
NEXT STEPS
  • Review the Ratio Test and its application in determining convergence
  • Practice problems involving intervals of convergence for power series
  • Learn how to identify and correct typographical errors in mathematical problems
  • Explore the relationship between the exponent of x and convergence behavior
USEFUL FOR

Students studying calculus, particularly those focusing on series and convergence tests, as well as educators looking for clarification on teaching the Ratio Test.

belvol16
Messages
9
Reaction score
0

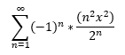
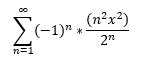
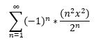
Homework Statement


problem 9.PNG


Homework Equations


Ratio test.

The Attempt at a Solution


work 9.PNG
[/B]
I guess I'm now uncertain how to check my interval of convergence (whether the interval contains -2 and 2)...I've been having troubles with this in all of the problems given to me. Do I substitute -2 back into the original equation and see if it is convergent or divergent?
 
Physics news on Phys.org
belvol16 said:

Homework Statement


View attachment 110223

Homework Equations


Ratio test.

The Attempt at a Solution


View attachment 110224 [/B]
I guess I'm now uncertain how to check my interval of convergence (whether the interval contains -2 and 2)...I've been having troubles with this in all of the problems given to me. Do I substitute -2 back into the original equation and see if it is convergent or divergent?

Yes, you have to check ##x= \pm2## explicitly.
 
belvol16 said:

Homework Statement


View attachment 110223

Homework Equations


Ratio test.

The Attempt at a Solution


View attachment 110224[/B]
Either your work's wrong or there's a typo in the problem statement. Look at the exponent of ##x##.
 

Similar threads

  • · Replies 2 ·
Replies
2
Views
2K
  • · Replies 4 ·
Replies
4
Views
2K
  • · Replies 4 ·
Replies
4
Views
1K
  • · Replies 3 ·
Replies
3
Views
2K
  • · Replies 11 ·
Replies
11
Views
3K
  • · Replies 2 ·
Replies
2
Views
2K
Replies
23
Views
2K
Replies
7
Views
2K
Replies
2
Views
1K
  • · Replies 4 ·
Replies
4
Views
2K