Rate Law Integration: How to Overcome k-1[A]0 Term

Click For Summary

Homework Help Overview

The discussion revolves around the integration of rate laws in chemical kinetics, specifically addressing the challenges posed by the k-1[A]0 term in the context of solving differential equations related to concentration changes over time.

Discussion Character

  • Exploratory, Mathematical reasoning

Approaches and Questions Raised

  • Participants explore methods for separating variables and transforming the equation to facilitate integration. Questions arise regarding the treatment of constants and the integration process itself.

Discussion Status

Several participants have offered different approaches to the problem, including substitution of constants and the use of integrating factors. There is an ongoing exploration of various methods without a clear consensus on a single solution path.

Contextual Notes

Participants are navigating the complexities of integrating rate laws under specific conditions, with some expressing uncertainty about the integration steps and the implications of boundary conditions.

sparkle123
Messages
172
Reaction score
0
b91c3659.png

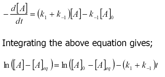
How did this happen? I would separate the variables by dividing both sides by [A] but then the k-1[A]0 term is in the way :(
 
Physics news on Phys.org
That k-1[A]0 is just a constant, really. If you want, replace k1+k-1=a and k-1[A]0=b, and then you'll have an equation in the form:

[tex]\frac{d[A]}{dt} = a [A] - b[/tex]

Which is easily solvable.
 
Sorry, but how do you solve this?
 
separation of variables (and multiplication by dt) gives:

[tex]\int \frac{1}{a [A] - b} \frac{d[A]}{dt} dt = \int \frac{d[A]}{a [A] - b} = \int dt[/tex]

And you can evaluate both of those integrals, right?
 
ln([A]-b/a)=at
:)
so ln([A] - k-1/(k1+k-1)[A]0)=(k1+k-1)t
could you possible provide some insight on how this turns into the equation in the solution?
Thanks!
 
Not that isn't the only way of working it, you can treat it like an integrating factor problem. So multiply through by exp(-at) to find that:
[tex] e^{-at}\frac{d[ A]}{dt}-ae^{-at}[ A] =be^{-at}[/tex]
Then the LHS can be recognised as the derivative of exp(-at)[A] and you get:
[tex] \frac{d}{dt}(e^{-at}[ A]) =be^{-at}[/tex]
Integrating and using the boundary conditions will give the solution.
 

Similar threads

  • · Replies 14 ·
Replies
14
Views
3K
  • · Replies 7 ·
Replies
7
Views
2K
  • · Replies 14 ·
Replies
14
Views
2K
  • · Replies 8 ·
Replies
8
Views
2K
  • · Replies 15 ·
Replies
15
Views
3K
Replies
2
Views
3K
  • · Replies 2 ·
Replies
2
Views
2K
  • · Replies 1 ·
Replies
1
Views
2K
  • · Replies 6 ·
Replies
6
Views
2K
  • · Replies 3 ·
Replies
3
Views
1K