Real Analysis - Prove the Riemann Integral Converges

Click For Summary

Discussion Overview

The discussion revolves around proving the convergence of the Riemann integral, with participants addressing specific problems related to the properties of functions, integrability, and the application of the Mean Value Theorem (MVT) for integrals. The scope includes theoretical aspects and mathematical reasoning related to real analysis.

Discussion Character

  • Homework-related
  • Mathematical reasoning
  • Debate/contested

Main Points Raised

  • Some participants question the justification for the positive and negative parts of a function being improper Riemann integrable, suggesting that more justification is needed.
  • One participant proposes using an inequality involving integrals to avoid issues with integrability.
  • There is a suggestion that a monotone function on a closed interval belongs to R[a,b], which could support the argument for integrability.
  • Another participant raises the need to prove the existence of limits for the function at specific points, indicating that an ε-δ argument may be necessary.
  • Concerns are expressed about the sufficiency of being bounded to establish Riemann integrability, with references to Dirichlet's function as a counterexample.
  • One participant seeks advice on how to approach a specific problem after completing another, indicating ongoing uncertainty.
  • A later reply outlines a method for proving the derivative of a function at a point using an ε-δ argument, suggesting a specific approach to the problem.

Areas of Agreement / Disagreement

Participants express differing views on the justification for integrability and the application of certain mathematical principles. There is no consensus on the best approach to proving the Riemann integral converges, and multiple competing views remain throughout the discussion.

Contextual Notes

Limitations include unresolved assumptions regarding the properties of functions discussed, the dependence on definitions of integrability, and the specific mathematical steps required to establish convergence.

joypav
Messages
149
Reaction score
0
Just a couple questions.

Problem 2: Just would like to know if this is the correct approach for this problem.

Problem 3: I am just wondering if I can use Problem 2 to prove the first part of Problem 3? Because to me, they seem very similar.

Problem 4: Would I use the MVT for integrals here?

It's not necessary for me to get a full answer, just wanted to make sure I was starting them correctly.

View attachment 6482
 

Attachments

  • RealAnalysisHW2.jpg
    RealAnalysisHW2.jpg
    52.3 KB · Views: 153
Physics news on Phys.org
joypav said:
Problem 2: Just would like to know if this is the correct approach for this problem.
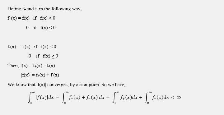
How do you know that the positive and negative parts of $f$ are improper Riemann integrable? There needs to be more justification.

A way to avoid the issue is to consider the inequality

$$\left\lvert \int_a^c f(x)\, dx - \int_a^d f(x)\, dx\right\rvert \le \int_d^\infty \lvert f(x)\rvert\, dx$$

for $c > d$.

joypav said:
Problem 3: I am just wondering if I can use Problem 2 to prove the first part of Problem 3? Because to me, they seem very similar.
Yes, you can.
joypav said:
Problem 4: Would I use the MVT for integrals here?
No. You'll need to prove that $f(c+)$ and $f(c-)$ exist (unless you're allowed to assume that) -- that's where monotonicity of $f$ is used. An $\epsilon-\delta$ argument will do for this problem.
 
Euge said:
No. You'll need to prove that $f(c+)$ and $f(c-)$ exist (unless you're allowed to assume that) -- that's where monotonicity of $f$ is used. An $\epsilon-\delta$ argument will do for this problem.

I see. $f$ is monotone increasing on the closed interval $[a,b]$, so it is bounded above. Then show that $f(c+)$ is equal to $inf(f(x))$ where $c<x$. Similarly for $f(c-)$.

I can also assume, by the definition given for $F(x)$, that $f\in R[a,b]$ and $F'(c)=f(c)$ for all $c\in[a,b]$? Then I can use these assumptions to rewrite $F_+^{'}(c)$ and show it is equal to $f(c+)$?
 
Euge said:
How do you know that the positive and negative parts of $f$ are improper Riemann integrable? There needs to be more justification.

A way to avoid the issue is to consider the inequality

$$\left\lvert \int_a^c f(x)\, dx - \int_a^d f(x)\, dx\right\rvert \le \int_d^\infty \lvert f(x)\rvert\, dx$$

for $c > d$.

View attachment 6487

Can we not use the above argument to show that they are Riemann integrable? Using the fact that f is absolutely integrable.
 

Attachments

  • proof.jpg
    proof.jpg
    16.5 KB · Views: 137
joypav said:
I can also assume, by the definition given for $F(x)$, that $f\in R[a,b]$ and $F'(c)=f(c)$ for all $c\in[a,b]$? Then I can use these assumptions to rewrite $F_+^{'}(c)$ and show it is equal to $f(c+)$?
No, but one argues that a monotone function on a closed interval $[a,b]$ belongs to $R[a,b]$. So then $F$ would make sense. Use an $\epsilon-\delta$ argument to show $F_+^{'}(c) = f(c+)$ and similarly for $F_{-}^{'}(c)$.
joypav said:
Can we not use the above argument to show that they are Riemann integrable? Using the fact that f is absolutely integrable.
No. For the indicator function on the rationals (also known as Dirichlet's function) is bounded by Riemann integrable functions, but it is not itself Riemann integrable. Typically, to prove Riemann integrability, partitions or tagged partitions are used.
 
Euge said:
No. For the indicator function on the rationals (also known as Dirichlet's function) is bounded by Riemann integrable functions, but it is not itself Riemann integrable. Typically, to prove Riemann integrability, partitions or tagged partitions are used.

I see. Being bounded does not prove that it is Riemann integrable. Thank you for the help. My professor is a stickler for detail, and rightfully so.
 
Euge said:
No, but one argues that a monotone function on a closed interval $[a,b]$ belongs to $R[a,b]$. So then $F$ would make sense. Use an $\epsilon-\delta$ argument to show $F_+^{'}(c) = f(c+)$ and similarly for $F_{-}^{'}(c)$.

I'm sorry, but I just can't figure out this problem. I finished the other one, but I'm still stuck on this question. Do you have any other advice?
 
Yes. Let $h > 0$ such that $c + h\in (a,b)$. Then

$$F(c + h) - F(c) - f(c+)h = \int_c^{c+h} [f(t) - f(c+)]\, dt $$

Let $\epsilon > 0$. There exists a $\delta > 0$ such that for all $t$, $c < t < c + h$ implies $\lvert f(t) - f(c+)\rvert < \epsilon$. Now prove $\lvert F(c + h) - F(c) - f(c+)h\rvert < \epsilon h$ whenever $0 < h < \delta$. Then $F_+'(c) = f(c+)$. Argue similarly to show $F_{-}'(c) = f(c-)$.
 

Similar threads

  • · Replies 2 ·
Replies
2
Views
3K
  • · Replies 2 ·
Replies
2
Views
3K
  • · Replies 5 ·
Replies
5
Views
3K
Replies
2
Views
2K
  • · Replies 6 ·
Replies
6
Views
3K
  • · Replies 4 ·
Replies
4
Views
2K
  • · Replies 3 ·
Replies
3
Views
3K
  • · Replies 2 ·
Replies
2
Views
3K
  • · Replies 5 ·
Replies
5
Views
3K
  • · Replies 5 ·
Replies
5
Views
4K