Received power for free space optics

Click For Summary

Discussion Overview

The discussion revolves around the calculation of received power in free space optics (FSO), focusing on the applicability of certain formulas and the conditions under which they yield valid results. Participants explore the implications of system losses, receiver specifications, and the geometry of the optical setup.

Discussion Character

  • Technical explanation
  • Debate/contested

Main Points Raised

  • One participant calculated the received power as 10.72 dBm, which they found illogical since it exceeds the transmitted power of 7.78 dBm.
  • Another participant pointed out that the condition θl < d2R is outside the formula's applicability range, suggesting that the beam does not illuminate the entire receiver area, leading to the erroneous result.
  • A further inquiry was made about the specific applicable range for the input variables that would produce valid outputs.
  • There was a question raised regarding whether θl must be greater than d2R to achieve a valid output.
  • One participant expressed skepticism about the method used for calculations, comparing it to the simpler Friis formula for microwave transmission, and noted the lack of clarity in the approach taken.
  • Concerns were raised about the absence of far field conditions in the calculations presented.

Areas of Agreement / Disagreement

Participants have not reached a consensus on the validity of the calculations or the conditions required for the formulas to be applicable. Multiple competing views remain regarding the interpretation of the parameters and the methodology used.

Contextual Notes

There are unresolved questions about the assumptions underlying the calculations, particularly regarding the geometry of the optical setup and the conditions necessary for valid outputs from the formulas used.

Nur Ziadah
Messages
34
Reaction score
3
Hello everyone,

I have calculated the received power for free space optic (FSO) using the equation:
upload_2019-1-6_16-35-28.png

Lsystem (system loss) is set to 8dB. PTotal can be calculated as:
upload_2019-1-6_16-36-9.png

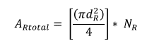
where Ntx (number of receiver) = 1 and PTx (transmitted power) =7.78 dBm. LGeo can be calculated as:
upload_2019-1-6_16-44-0.png

upload_2019-1-6_16-44-21.png

where d2R (receiver diameter) = 0.07, l=1, θ (divergence angle) =0.05 and Nr (number of receiver) =1.

The problem is, I got received power=10.72 dBm which is illogical value. As I know, the received power must be lower than transmitted power.
I hope that anyone may help me to understand this situation.
For your information, I refer this paper for the calculation: https://ieeexplore.ieee.org/document/6015903
Thank you.
 

Attachments

  • upload_2019-1-6_16-35-28.png
    upload_2019-1-6_16-35-28.png
    898 bytes · Views: 756
  • upload_2019-1-6_16-36-9.png
    upload_2019-1-6_16-36-9.png
    1 KB · Views: 777
  • upload_2019-1-6_16-36-56.png
    upload_2019-1-6_16-36-56.png
    1.3 KB · Views: 404
  • upload_2019-1-6_16-44-0.png
    upload_2019-1-6_16-44-0.png
    1.4 KB · Views: 581
  • upload_2019-1-6_16-44-21.png
    upload_2019-1-6_16-44-21.png
    1 KB · Views: 545
Science news on Phys.org
You have above the θl<d2R, which is outside of the formula applicability range.
Your beam is not illuminating the entire receiver area, therefore the error.
 
  • Like
Likes   Reactions: tech99
trurle said:
You have above the θl<d2R, which is outside of the formula applicability range.
Your beam is not illuminating the entire receiver area, therefore the error.
What is the applicable range?
 
Nur Ziadah said:
What is the applicable range?
Range (all values) of input variables producing a valid output.
 
You mean that θl must greater than d2R in order to produce a valid output?
 
  • Like
Likes   Reactions: tech99 and trurle
trurle said:
You have above the θl<d2R, which is outside of the formula applicability range.
Your beam is not illuminating the entire receiver area, therefore the error.
I am find that optical engineers seem to re-invent the wheel all the time; we have the simple Friis formula for microwave. This uses Ptx, Prx, antenna gains and path loss. The method used above seems very unclear to me. But I am impressed that you noticed that we do not have far field conditions.
 

Similar threads

  • · Replies 3 ·
Replies
3
Views
3K
Replies
4
Views
3K
  • · Replies 3 ·
Replies
3
Views
4K
  • · Replies 7 ·
Replies
7
Views
4K
  • · Replies 7 ·
Replies
7
Views
4K
  • · Replies 12 ·
Replies
12
Views
11K