Reduction formula (sinx)^n inequality

Click For Summary
SUMMARY

The discussion centers on the reduction formula for the inequality involving the term \( J_{m+2} = m + 2 - \frac{1}{m + 2} J_m \) and its implications. Participants question the validity of the inequality \( J_{m+2} < J_m \) and the necessity of using mathematical induction (M.I) for proof. Clarifications are sought regarding the expression's clarity and the proper use of parentheses to avoid ambiguity. The conversation emphasizes the importance of understanding integral properties in establishing inequalities.

PREREQUISITES
  • Understanding of mathematical induction (M.I)
  • Familiarity with reduction formulas in calculus
  • Knowledge of integral properties and inequalities
  • Basic algebraic manipulation of expressions
NEXT STEPS
  • Study the derivation of reduction formulas in calculus
  • Learn about the properties of integrals and their applications in inequalities
  • Explore mathematical induction techniques for proving inequalities
  • Review algebraic expression clarity and the use of parentheses in mathematical writing
USEFUL FOR

Students and educators in mathematics, particularly those focusing on calculus, inequalities, and proof techniques. This discussion is beneficial for anyone seeking to deepen their understanding of reduction formulas and integral properties.

kenok1216
Messages
58
Reaction score
1

Homework Statement


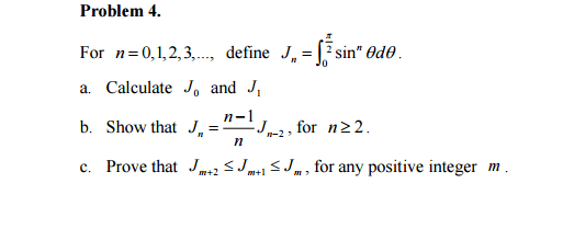
problem 4.PNG

part c

Homework Equations



The Attempt at a Solution


Jm+2=m+2-1/m+2 Jm=m+1/m+2 Jm
hence Jm+2<Jm
should i expend Jm+2 Jm+1 Jm to the term J0 then compare them?
why the inequality is <= but not <?
should i use M.I to proof it??[/B]
 
Last edited:
Physics news on Phys.org
kenok1216 said:

Homework Statement


View attachment 102041
part c

Homework Equations



The Attempt at a Solution


Jm+2=m+2-1/m+2 Jm=m+1/m+2 Jm
hence Jm+2<Jm
should i expend Jm+2 Jm+1 Jm to the term J0 then compare them?
why the inequality is <= but not <?
should i use M.I to proof it??[/B]

Please stop using a bold font; it looks like you are yelling at us.

Anyway, what does your formula
[tex]J_{m+2} = m+2 - \frac{1}{m} + 2J_m = m + \frac{1}{m} + 2J_m[/tex]
mean, and where does it come from? Is what you wrote exactly what you meant? Do you need to use parentheses to make your expression clearer?
 
Use the basic property of integrals that if [itex]f(x) \geq g(x)[/itex] for all [itex]x \in (a,b)[/itex] then [itex]\int_a^b f(x)\,dx \geq \int_a^b g(x)\,dx[/itex].
 

Similar threads

  • · Replies 9 ·
Replies
9
Views
3K
  • · Replies 2 ·
Replies
2
Views
3K
  • · Replies 47 ·
2
Replies
47
Views
7K
Replies
4
Views
6K
Replies
9
Views
2K
  • · Replies 1 ·
Replies
1
Views
6K
Replies
12
Views
2K
  • · Replies 2 ·
Replies
2
Views
1K
  • · Replies 4 ·
Replies
4
Views
2K
  • · Replies 1 ·
Replies
1
Views
10K