Relation between Dirac's equation density matrix and current with spin

Click For Summary
SUMMARY

The discussion focuses on the relationship between Dirac's equation, the probability matrix P, and the current matrix J for a free particle in one dimension. The probability matrix is defined as P = ps1 * ps1 + psi2 * psi2, while the current matrix is given by J = np.conj(psi1)*psi2 + np.conj(psi2)*psi1. The user seeks to extract spin values from the current matrix J, which is linked to the Bloch sphere representation of spin states. The extraction of spin is suggested to be achievable through the formula S = P * sign(P).

PREREQUISITES
  • Understanding of Dirac's equation in quantum mechanics
  • Familiarity with matrix operations in Python using NumPy
  • Knowledge of quantum spin and Bloch sphere representation
  • Basic concepts of probability matrices in quantum systems
NEXT STEPS
  • Research the mathematical foundations of Dirac's equation in quantum mechanics
  • Learn about matrix operations in NumPy, specifically for quantum mechanics applications
  • Study the Bloch sphere representation and its relation to quantum spin states
  • Explore advanced topics in quantum probability matrices and their interpretations
USEFUL FOR

Quantum physicists, computational physicists, and anyone interested in the mathematical modeling of quantum particles and their spin properties.

forofo
Messages
4
Reaction score
1
TL;DR
After computind dirac 1D equation for a free particle particle I get 2 matrixs. From both,them I extract the probablity matrix and the current matrix. I'm asking how to extract the two singles values for the spin up and down from there, those that used in quantum computing, the states .
After computind dirac 1D equation time dependent for a free particle particle I get 2 matrixs. From both,them I extract:
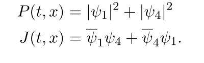
1) the probability matrix P =ps1 * ps1 + psi2 *psi2
2) the current matrix J = np.conj(psi1)*psi2+np.conj(psi2)*psi1
jp.JPG

I think that current is related to electricity, and since we are talking about a single free particle, it must have a relation with the spin drawed in the bloch sphere with the two single values or states, that represent the probaility for spin up or down, So how do I extract these 2 values from this matrix J.
jpdibu.JPG
how to extract the spin to this
spindibu.JPG


clik here to see the source code in phyton
 
Physics news on Phys.org
I'm not sure if I understand your question correctly, but it seems like you're asking how to extract the spin from the current matrix J. If this is the case, then the answer would depend on how the current matrix J is defined in the code. If it is defined in terms of the probability matrix P, then the spin can be extracted from the probability matrix P using the formula S = P*sign(P).
 

Similar threads

  • · Replies 1 ·
Replies
1
Views
1K
  • · Replies 8 ·
Replies
8
Views
8K
  • · Replies 2 ·
Replies
2
Views
4K
  • · Replies 11 ·
Replies
11
Views
3K
  • · Replies 3 ·
Replies
3
Views
2K
  • · Replies 4 ·
Replies
4
Views
3K
  • · Replies 3 ·
Replies
3
Views
3K
  • · Replies 1 ·
Replies
1
Views
2K
  • · Replies 2 ·
Replies
2
Views
3K
  • · Replies 30 ·
2
Replies
30
Views
3K