Resonance Structures for a Certain Molecule

Click For Summary

Discussion Overview

The discussion revolves around the resonance structures of a specific molecule, focusing on the inclusion or exclusion of certain resonance forms in visual representations. Participants are examining the implications of electron movement and atom positioning in these structures.

Discussion Character

  • Debate/contested

Main Points Raised

  • One participant questions the omission of a resonance structure where all double bonds are displaced, suggesting it should be included.
  • Another participant points out that the structure in red corresponds to the first resonance structure presented, seeking clarification on whether a different structure is being referenced.
  • A third participant references an external website, asserting that all possible electron movements should be depicted without changing atom positions, indicating agreement with the initial concern.
  • One participant expresses confusion about the first picture, suggesting that all resonance structures are represented with dashed lines and partial charges, and requests clarification on the perceived missing structure.
  • A later reply acknowledges the initial concern but also defends the first picture's accuracy due to the inclusion of another structure with dashes.

Areas of Agreement / Disagreement

Participants do not reach a consensus, as there are competing views regarding the completeness of the resonance structures presented and the interpretation of the visual representations.

Contextual Notes

There are unresolved assumptions regarding the definitions of resonance structures and the criteria for their inclusion in diagrams, as well as potential misinterpretations of the visual materials.

alingy1
Messages
325
Reaction score
0
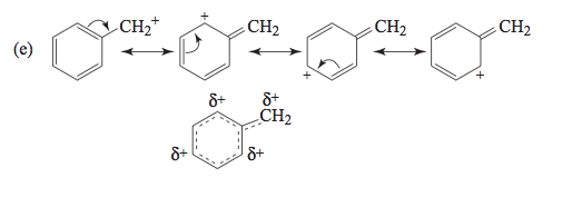
Please look at the pictures.

I do not understand why they have not included the resonance structure for that molecule for which all the double bonds are displaced is not included.
 

Attachments

  • Screen Shot 2014-05-28 at 8.43.10 PM.png
    Screen Shot 2014-05-28 at 8.43.10 PM.png
    4 KB · Views: 548
  • Untitled.jpg
    Untitled.jpg
    4.2 KB · Views: 467
Physics news on Phys.org
Your structure in red is the first structure they drew. Are you referring to some other resonance structure?
 
http://www.chem.ucla.edu/harding/tutorials/resonance/draw_res_str_key.html

The position of atoms should not change and all possibilities of electrons moving should be shown. This website seems to agree with me.
 
I don't see any atoms changing in the first picture you uploaded, but I could be tired (or stupid). Are you perhaps referring to the pi electrons shifting within the ring? Technically they have shown ALL possible resonance structures with the dashed lines and partial charges in the first picture. If I am misinterpreting, please post a picture of what you believe the missing resonance structure is.

EDIT: I've looked closer at your first two pictures and now I see what you mean. Yes you are kind of correct, but so is the first picture due to inclusion of the bottom structure with the dashes (see my comments above).
 

Similar threads

  • · Replies 1 ·
Replies
1
Views
6K
  • · Replies 9 ·
Replies
9
Views
15K
  • · Replies 4 ·
Replies
4
Views
3K
  • · Replies 2 ·
Replies
2
Views
3K
  • · Replies 2 ·
Replies
2
Views
2K
  • · Replies 7 ·
Replies
7
Views
2K
  • · Replies 9 ·
Replies
9
Views
3K
Replies
1
Views
2K
  • · Replies 4 ·
Replies
4
Views
2K
  • · Replies 2 ·
Replies
2
Views
2K