Rod on rails in a magnetic field

Click For Summary

Homework Help Overview

The problem involves a rod moving on rails within a magnetic field, forming a closed circuit with a given resistance. The discussion centers around calculating the electromotive force (emf) using Lorentz's force law and Faraday's law, determining the current in the circuit, and analyzing the motion of the rod over time.

Discussion Character

  • Exploratory, Conceptual clarification, Mathematical reasoning, Problem interpretation

Approaches and Questions Raised

  • Participants discuss the calculation of emf using different laws and the implications of the rod's motion on current. There is an exploration of the relationship between current and velocity, and attempts to derive equations governing the motion of the rod.

Discussion Status

Some participants have made progress in calculating the emf and current, while others are focused on deriving the motion equations. There is an ongoing exploration of how the current varies with time and its impact on the rod's motion.

Contextual Notes

Participants are considering the implications of the rod's velocity on the current and the resulting forces, as well as the need to derive a differential equation for the motion of the rod. There is an emphasis on understanding the relationship between the variables involved in the problem.

johann1301h
Messages
71
Reaction score
1

Homework Statement



A rod with mass of m runs on rails in a magnetic field. The rails are connected with a wire at x = 0
so that the rod and the rails together with this wire form a closed circuit. The distance between the rails is L, and the resistance in the rod is R.

We assume that the rails and wire are ideal conductors, so that the total resistance in the circuit is R. At time t = 0, the rod moves in positive x-direction at velocity v0.
[/B]
https://uio-ccse.github.io/fys1120/homework/fig-week09/stav_skinner.svg
a)
Calculate the emf in the circuit using Lorentz's force law, and indicate the contribution from the different parts of the circuit.

b)
Calculate the emf with Faraday's law. Does this match the emf you calculated in the previous assignment?

c)
Find the size and direction of the current in the circuit. (With the clock)

d)
Determine the movement of the rod for t > 0. Can you check if the answer is correct using energy conservation?

2. The attempt at a solution
I believe i have solved b) and c), and a) shouldn't be to difficult, my struggle is with task d). So any help here is much appritiated!

b)
emf = BLv0

c)
I = (1/R)BLv0

d)
I think the rod wil move and then stop following a differential equation? I think the force on the rod is given by F = ILB, but the problem is that I (current) depends on the velocity of the rod! Any ideas?
 
Physics news on Phys.org
The force is indeed ILB in magnitude. What is its direction? Can you write and then solve a differential equation for the motion of the rod? Its solution will tell you what the rod will do a long time after motion starts. Hint: The current is a function of time, I(t), not what you have in part (c) because the velocity v is a function of time.
 
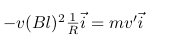
I think I found the equation, see picture
 

Attachments

  • Skjermbilde 2018-11-01 kl. 11.19.28.png
    Skjermbilde 2018-11-01 kl. 11.19.28.png
    794 bytes · Views: 444
johann1301h said:
I think I found the equation, see picture
That's the correct equation. Can you derive it? Do you know what to do with it?
 
Yes, I found v(t). see picture
 

Attachments

  • Skjermbilde 2018-11-01 kl. 14.24.23.png
    Skjermbilde 2018-11-01 kl. 14.24.23.png
    822 bytes · Views: 430
johann1301h said:
Yes, I found v(t). see picture
Did you find ##v(t)## or a picture for ##v(t)##? The question is asking you to "determine the movement for t > 0" That means also finding the position of the rod ##x(t)## for t > 0. Incidentally, if you have the solution in front of you, you will be well advised to know how to reproduce it if called upon to do so on a test. By "reproduce" I don't mean "memorize", I mean "figure out the strategy for solving this kind of problem and use algebra to apply the strategy so as to get a solution." That's what learning from studying is.
 

Similar threads

Replies
11
Views
3K
  • · Replies 3 ·
Replies
3
Views
1K
  • · Replies 5 ·
Replies
5
Views
1K
  • · Replies 25 ·
Replies
25
Views
3K
Replies
2
Views
2K
Replies
5
Views
2K
  • · Replies 12 ·
Replies
12
Views
2K
  • · Replies 1 ·
Replies
1
Views
1K
  • · Replies 3 ·
Replies
3
Views
2K
  • · Replies 7 ·
Replies
7
Views
5K