Rotating simple harmonic oscillator

  • Thread starter Thread starter kekpillangok
  • Start date Start date
  • Tags Tags
    Harmonic Rotating
Click For Summary

Homework Help Overview

The discussion revolves around a rotating simple harmonic oscillator, where a mass attached to a spring rotates in a horizontal plane with a constant angular speed. Participants are exploring the relationship between the angular frequency of the mass's oscillations and the radius of the spring when the system is in motion.

Discussion Character

  • Exploratory, Conceptual clarification, Mathematical reasoning, Problem interpretation, Assumption checking

Approaches and Questions Raised

  • Participants discuss the equilibrium position of the spring and the effects of centrifugal force in a rotating frame. There are attempts to derive the equations of motion and clarify the forces acting on the mass. Questions arise regarding the definition of variables, the role of centrifugal force, and the conditions under which energy is conserved.

Discussion Status

The discussion is ongoing, with participants providing insights and corrections to each other's reasoning. Some have offered guidance on how to approach the equations of motion, while others are questioning the assumptions made about forces and the definitions of variables. There is no explicit consensus yet, as various interpretations and methods are being explored.

Contextual Notes

Participants are navigating the complexities of non-inertial reference frames and the implications of rotational motion on the dynamics of the system. There are mentions of potential sign errors and the need to redefine variables to better understand the system's behavior.

kekpillangok
Messages
15
Reaction score
2
Homework Statement
Consider a simple harmonic oscillator made of a spring of elastic constant k fixed at one end and having a particle of mass m attached to the other. The oscillator rotates in a horizontal plane with constant angular speed ω round the fixed end, while keeping its motion along the radial direction, as shown in the image. If R_0 is the equilibrium position of the oscillator when ω = 0, show that the square of the angular frequency of the oscillator, for the situation shown in the image, varies linearly with the square of the angular speed ω.
Relevant Equations
F_s = kx (spring force)
F_cp = m*(ω^2)*r (centripetal force)
If I understand the problem correctly, I need to find the angular frequency of the mass's oscillations about the radius R, which, I think, should be the length of the spring when the mass is merely rotating with angular speed ω (and not oscillating along the radial direction). I was able to find this new equilibrium position—it is ## R =\frac{R _{0 }}{1 -\frac{m {\omega }^{2 }}{k }} ##. But this doesn't seem to be of much use in finding the angular frequency of the oscillations.
It seems that I have to look at the motion of the mass from the point of view of a rotating frame of reference. I'm quite lost as to how this should be done. If there were no rotation, I would get $$ k x =m {\omega _{0 }}^{2 }x $$, where ##{\omega _{0 }}^{2 }=\sqrt{\frac{k }{m }} ##. Now, however, we have an additional force that is equal to ##F _{centrifugal }=m {\omega }^{2 }{\left( R +x \right) } ##. So the resultant force should be $$ F _{net }=m {\omega }^{2 }{\left( R +x \right) }+k x =m {\omega '}^{2 }x $$ (where I set the whole equal to ##m {\omega '}^{2 }x ##, assuming the resulting motion is simple harmonic motion)?
I don't feel confident writing the non-inertial form of Newton's Second Law for this problem. If anyone can guide me on how I should think about this situation, I will be very grateful.
image_of_the_situation.png
 
Physics news on Phys.org
In what direction are the relevant forces?
What is the limiting case when the spinning is slow?
Is energy conserved?
 
Vanadium 50 said:
In what direction are the relevant forces?
What is the limiting case when the spinning is slow?
Is energy conserved?
Thanks for your reply!
From the rotating frame of reference, there is the centrifugal force and the spring force. The spring force points now inwards, now outwards, whereas the centrifugal force always points outwards, with its magnitude changing with the mass's radial position according to $$F _{cf }=m {\omega }^{2 }{\left( R +x \right) } $$, where ##R ## is the equilibrium position found above, and ##x ## is the radial coordinate of the mass measured from this equilibrium position. Both forces are directed radially.
From the point of view of an inertial frame, I think there should be the centripetal force and the spring force. I'm not sure about how to write down the equation for the centripetal force in this case, since there isn't a proper circle the particle moves along—its path is the strange dashed curve in the image. But one of the components of the mass's velocity is a constant tangential speed, so my guess is that the centripetal force should be ##m {\omega }^{2 }{\left( R \right) } ##. I have only dealt so far with centripetal forces where the radius is constant, so I'm not sure if this is right. If I set this equal to the spring force, it doesn't look right to me.

As the spinning becomes slow, the situation reduces to the usual spring-mass oscillator with frequency ##\omega _{0 }=\sqrt{\frac{k }{m }} ##, right?

As for the energy of the system, the spring and the mass form an isolated system. Its energy should be, I think—$$E =\frac{1 }{2 }m {v }^{2 }+\frac{1 }{2 }k {x }^{2 }+\frac{1 }{2 }m {\omega }^{2 }{{\left( R +x \right) }}^{2 } $$

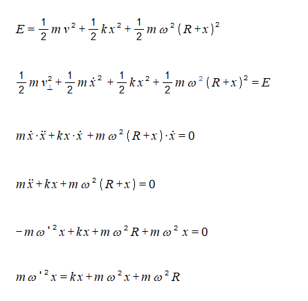
Here ##v ## is the magnitude of the net velocity of the mass, and the last term is the potential energy due to the centrifugal force. After differentiating and setting it equal to zero, I got ##m \omega {' }^{2 }x =k x +m {\omega }^{2 }x +m {\omega }^{2 }R ##. But this doesn't look like a simple harmonic oscillator to me, because of the ##m {\omega }^{2 }R ## term. I have attached the full calculation I did.

I think I'm failing to understand the uniform circular motion aspect of the problem. It's the first time I'm encountering a "partial" circular motion where only one of the components of the velocity is really going round in a circle.
 

Attachments

  • full_calculation.png
    full_calculation.png
    3.7 KB · Views: 91
kekpillangok said:
So the resultant force should be $$ F _{net }=m {\omega }^{2 }{\left( R +x \right) }+k x =m {\omega '}^{2 }x $$
Back off for a moment and just consider F=ma:
$$ F _{net }=m {\omega }^{2 }{\left( R +x \right) }+k x =m \ddot x $$
First, I think you have a sign error in there.
Secondly, you have a nonzero acceleration when x=0. So x is not the perturbation from equilibrium. Adjust the independent variable accordingly.
 
  • Like
Likes   Reactions: Vanadium 50
haruspex said:
Back off for a moment and just consider F=ma:
$$ F _{net }=m {\omega }^{2 }{\left( R +x \right) }+k x =m \ddot x $$
First, I think you have a sign error in there.
Secondly, you have a nonzero acceleration when x=0. So x is not the perturbation from equilibrium. Adjust the independent variable accordingly.
Thanks a lot! I've thought about the signs and came up with the following: $$-k x +m {\omega }^{2 }x =m \ddot{x }. $$
Now, when the mass is within the circle of radius ##R ##, ##x < 0 ## and the elastic and centrifugal forces combine in the outward direction; and when the mass is outside the circle, ##x > 0 ##, so the elastic and centrifugal forces oppose each other.
Also, if I treat ##x ## as being measured from the radius ##R ## in the equation above, it seems the issue with the variable goes away. I'm a bit confused, however. Why does the contribution from the centrifugal force to the acceleration disappear at a single instant? Shouldn't the centrifugal force act on the mass at all times, always contributing to the radial acceleration?
 
kekpillangok said:
Thanks a lot! I've thought about the signs and came up with the following: $$-k x +m {\omega }^{2 }x =m \ddot{x }. $$
You've fixed the sign error, but now I don’t understand how you are defining x.
Correcting the sign in your previous equation, which takes x as the extension from the relaxed spring position:
$$ m {\omega }^{2 }{\left( R +x \right) }-k x =m \ddot x $$
we need to find the equilibrium position. That is where there is no acceleration. What value of x is that? Call that ##x_{eq}##. You need to change the independent variable to y, say, where ##x=x_{eq}+y##.
 
kekpillangok said:
As for the energy of the system, the spring and the mass form an isolated system. Its energy should be
Does it? Is it?

What keeps it at constant ω? I don't want to belabor the point - I want you to think about what approached will not work.
 
kekpillangok said:
Homework Statement: Consider a simple harmonic oscillator made of a spring of elastic constant k fixed at one end and having a particle of mass m attached to the other. The oscillator rotates in a horizontal plane with constant angular speed ω round the fixed end, while keeping its motion along the radial direction, as shown in the image. If R_0 is the equilibrium position of the oscillator when ω = 0, show that the square of the angular frequency of the oscillator, for the situation shown in the image, varies linearly with the square of the angular speed ω.
Relevant Equations: F_s = kx (spring force)
F_cp = m*(ω^2)*r (centripetal force)

If I understand the problem correctly, I need to find the angular frequency of the mass's oscillations about the radius R, which, I think, should be the length of the spring when the mass is merely rotating with angular speed ω (and not oscillating along the radial direction). I was able to find this new equilibrium position—it is ## R =\frac{R _{0 }}{1 -\frac{m {\omega }^{2 }}{k }} ##. But this doesn't seem to be of much use in finding the angular frequency of the oscillations.

How did you find this value? It is correct, but how did you arrive at it? If you did so by first obtaining the radial equation of motion in polar coordinates, then you are mostly done.

The "angular frequency of the oscillator" referred to in the question is the angular frequency of the non-rotating system, ie. [itex]\sqrt{k/m}[/itex]. As you note, the rotating system does not oscillate at that angular frequency, but at an angular frequency [itex]\omega_e[/itex]. However, you have overlooked that [itex]m\omega_e^2[/itex] is simply the coefficient of [itex]r[/itex] in the equation of motion; you don't have to find the equilibrium position at constant radius - assuming such a motion is possible - in order to deduce this.

Note also that the diagram shows the spring completing a whole number of oscillations in the time it takes to do a complete rotation about the pivot. This gives a constraint on the possible value of [itex]\omega[/itex] in terms of [itex]\omega_e[/itex], which should lead you to the result.
 
Thanks for all the answers, guys!
haruspex said:
we need to find the equilibrium position.
Ok, here's what I've tried. To find the equilibrium position, I set ##m \omega {\left( R +x \right) }-k x =0 ## and solved for ##x ##, which gave me ##x =-\frac{m {\omega }^{2 }R }{m {\omega }^{2 }-k } ##. This, as I understand it, is the amount by which the spring has to stretch relative to the radius ##R ## so that the acceleration is zero. I was expecting this equilibrium position would be at ##x =0 ## relative to ##R ##—that is, that it would be at ##R ##. I conclude, then, that the oscillation does not, in fact, happen about ##R ##, which is to me surprising.
Now if I let ## y =x +\frac{m {\omega }^{2 }R }{m {\omega }^{2 }-k }##, and make the substitution in my previous equation, mentioned in your answer, I get $$m {\omega }^{2 }y -k y =m \ddot{y }. $$ This has the form of a harmonic oscillator, so that, after setting ##-{\omega '}^{2 } ## equal to the factor multiplying ##y ##, I got ## {\omega '}^{2 }=\frac{k }{m }-{\omega }^{2 }##. I believe this is the desired result. Save for my doubt above—I expected the mass to oscillate about ##R ##—the problem seems pretty much solved, so thanks very much again for your help so far!

Vanadium 50 said:
What keeps it at constant ω?
Yeah, my bad, I didn't consider it very carefully—it's an external force keeping it at a constant angular speed, so that I wouldn't be able to apply conservation of energy in the form I used there.

I found the value ##R =\frac{R _{0 }}{1 -\frac{m {\omega }^{2 }}{k }} ## by considering the situation where there is no oscillation—that is, where the spring merely acts as a rope, providing the centripetal force to keep the mass rotating at the right speed. Which is one reason why I thought the mass would oscillate about this distance.
 
  • #10
kekpillangok said:
the oscillation does not, in fact, happen about R, which is to me surprising.
Consider it not oscillating, just going around at constant radius. What would that radius be?
 
  • #11
haruspex said:
Consider it not oscillating, just going around at constant radius. What would that radius be?
That would be ##R =R _{0 }/{\left( 1 -\frac{m {\omega }^{2 }}{k }\right) } ##, where ##R _{0 } ## is the natural length of the spring. I found this value by setting ## k x =m {\omega }^{2 }{\left( R _{0 }+x \right) }##. ##x ## here is measured from the natural length. This results in ## x =\frac{m {\omega }^{2 }R _{0 }}{k -m {\omega }^{2 }}##, so that $$R =R _{0 }+x =R _{0 }+\frac{m {\omega }^{2 }R _{0 }}{k -m {\omega }^{2 }}=\frac{k R _{0 }}{k -m {\omega }^{2 }}=\frac{R _{0 }}{1 -\frac{m {\omega }^{2 }}{k }}. $$

I'm trying to get the equilibrium position to be at this radius now, but it's proving difficult. I'm making some elusive mistake with my coordinates which I can't spot...

Edit: I think I figured it out, haha. It probably shouldn't have been so hard to see. After doing the above, I should have let ## x _{eq }=\frac{m {\omega _{0 }}^{2 }R _{0 }}{k -m {\omega }^{2 }}##. Then I can change the variable in the following way: $$x =\frac{m {\omega _{0 }}^{2 }R _{0 }}{k -m {\omega }^{2 }}+y. $$

I should not have considered a new oscillation scenario where the coordinate is measured from the (new) equilibrium position ##R ##. I thought this was necessary to make the variable oscillate about the desired equilibrium position, but this is already accomplished by the change of variables. I now see what pasmith meant when they said I was pretty much done once I'd discovered the new radius. Again, thank you all very much for your help.
 
Last edited:
  • #12
Vanadium 50 said:
Does it? Is it?

What keeps it at constant ω? I don't want to belabor the point - I want you to think about what approached will not work.
We are thinking, for instance, that the oscillator is confined to a well-lubricated slot in a disk that is rotating at a rate of ##\omega##? The disk then being coupled to a drive axle at the center of rotation which supplies whatever torque is needed to preserve the fixed rotation rate?

If one adopts the co-rotating frame then the torque from the drive axle does zero work.

One does have a centrifugal potential to deal with.
 

Similar threads

  • · Replies 5 ·
Replies
5
Views
2K
Replies
9
Views
3K
Replies
1
Views
1K
  • · Replies 9 ·
Replies
9
Views
3K
Replies
5
Views
1K
Replies
335
Views
17K
  • · Replies 8 ·
Replies
8
Views
2K
  • · Replies 17 ·
Replies
17
Views
2K
Replies
31
Views
2K
  • · Replies 6 ·
Replies
6
Views
2K