Rudin Theorem 1.21: Maximizing t Value

  • Context: Undergrad 
  • Thread starter Thread starter Darshan
  • Start date Start date
  • Tags Tags
    Real analysis Theorem
Click For Summary

Discussion Overview

The discussion revolves around Rudin's Theorem 1.21, specifically focusing on the relationship between the variable t defined as t = X/(X+1) and its maximum value in relation to x. Participants explore the implications of the theorem and the conditions under which t is compared to x.

Discussion Character

  • Technical explanation
  • Debate/contested

Main Points Raised

  • Some participants note that t is defined as t = X/(X+1) and that it is stated that t^n < t < 1, leading to the conclusion that the maximum value of t is 1.
  • Questions arise regarding the definition of X (or x), with some clarifying that X is a real number greater than 0.
  • It is argued that since t is derived from dividing x by a number greater than 1, it follows that t < x.
  • One participant provides a graphical interpretation, stating that the graph of t = f(x) is always below the graph of t = g(x) = x for x > 0, reinforcing that t < x.
  • Another participant presents a mathematical derivation showing that x - (x/(x + 1)) > 0 for x > 0, which implies t < x.
  • There is a stylistic note regarding the use of symbols X and x, suggesting consistency in notation.

Areas of Agreement / Disagreement

Participants express a range of interpretations regarding the relationship between t and x, with some agreeing on the mathematical reasoning that t < x for x > 0, while others seek clarification on the definitions and implications of the theorem. The discussion remains unresolved on certain aspects, particularly regarding the interpretation of the theorem's conditions.

Contextual Notes

Participants highlight the importance of the definitions of X and x, as well as the conditions under which the comparisons are made. There is an emphasis on ensuring clarity in notation to avoid confusion.

Darshan
Messages
2
Reaction score
1
TL;DR
Rudin theorem 1.21
Summary: Rudin theorem 1.21

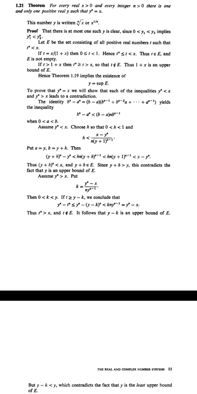
He has said that as t=X/(X+1) then t^n<t<1 then maximum value of t is 1. then in the next part he has given that t^n<t<x. as maximum value of t is less than 1 why has he given that t<x ?
 

Attachments

  • Screenshot_2019-08-11-10-45-56-759_com.google.android.apps.docs.png
    Screenshot_2019-08-11-10-45-56-759_com.google.android.apps.docs.png
    19.3 KB · Views: 318
Physics news on Phys.org
How is X (or x) defined?
 
mathman said:
How is X (or x) defined?
X is a real number and X>0
All the information is in the pitcure
 
Last edited by a moderator:
Darshan said:
Summary: Rudin theorem 1.21

Summary: Rudin theorem 1.21

He has said that as t=X/(X+1) then t^n<t<1 then maximum value of t is 1. then in the next part he has given that t^n<t<x. as maximum value of t is less than 1 why has he given that t<x ?

t is the result of dividing x by a number which is strictly greater than 1. Hencee [itex]t < x[/itex].
 
Darshan said:
Summary: Rudin theorem 1.21

Summary: Rudin theorem 1.21

He has said that as t=X/(X+1) then t^n<t<1 then maximum value of t is 1. then in the next part he has given that t^n<t<x. as maximum value of t is less than 1 why has he given that t<x ?
To add to what @pasmith wrote, if x > 0, the graph of ##t = f(x) = \frac x {x + 1}## is always below the graph of ##t = g(x) = x##. From this we can conclude that ##t < x## for x > 0.

In addition, ##x - \frac x {x + 1} = \frac{x^2 + x - x}{x + 1} = \frac{x^2}{x + 1} > 0## for x > 0. This means that ##t = \frac x {x + 1} < x##, for x > 0.
 
Darshan said:
Summary: Rudin theorem 1.21

Summary: Rudin theorem 1.21

He has said that as t=X/(X+1) then t^n<t<1 then maximum value of t is 1. then in the next part he has given that t^n<t<x. as maximum value of t is less than 1 why has he given that t<x ?

Because ##x## is positive, so (x + 1) > 1, so ##x/(x+1) < x##.

Style note: ##X## and ##x## are different symbols. You should stick to one or the other and not treat them as interchangeable.
 
## t/x=1/(x+1) <1 \rightarrow t < x ##
 

Similar threads

  • · Replies 5 ·
Replies
5
Views
3K
  • · Replies 2 ·
Replies
2
Views
4K
  • · Replies 3 ·
Replies
3
Views
3K
  • · Replies 4 ·
Replies
4
Views
3K
  • · Replies 1 ·
Replies
1
Views
2K
  • · Replies 11 ·
Replies
11
Views
3K
  • · Replies 2 ·
Replies
2
Views
2K
  • · Replies 9 ·
Replies
9
Views
3K
  • · Replies 10 ·
Replies
10
Views
3K
  • · Replies 3 ·
Replies
3
Views
2K