VexCarido
- 8
- 4
Hi everyone. I'm a new member, great to be here:)
I have a few questions that I wanted to ask you guys regarding the method by which we implement the Runge-Kutta approximation of Projectile Motion if we should do it using a numerical iterative method with a Spreadsheet like Excel.
I have already constructed a simulation in Excel using the Euler method basic physics formulas and implemented both gravity, drag and wind forces. Now I wish to improve upon the accuracy by using a better approximation of the X,Y coordinates over time with RK4.
Here's how I constructed the spread sheet with The Euler numerical method (using gravity, but ignoring drag and wind):
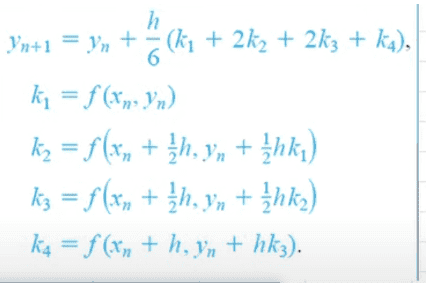
and I suppose these are the formulas that should use to get the improved approximation with the Runge Kutta Method:
To clarify, I am trying to get a list X, Y coordinates as function of time, using a set of initial conditions. The initial values should be able to be freely changed to get approximations of any type of movement along the x-y plane.
I hope my phrasing & terminology is sufficient. This is mostly a DIY project, not homework or school related.
I have a few questions that I wanted to ask you guys regarding the method by which we implement the Runge-Kutta approximation of Projectile Motion if we should do it using a numerical iterative method with a Spreadsheet like Excel.
I have already constructed a simulation in Excel using the Euler method basic physics formulas and implemented both gravity, drag and wind forces. Now I wish to improve upon the accuracy by using a better approximation of the X,Y coordinates over time with RK4.
Here's how I constructed the spread sheet with The Euler numerical method (using gravity, but ignoring drag and wind):
and I suppose these are the formulas that should use to get the improved approximation with the Runge Kutta Method:
I hope my phrasing & terminology is sufficient. This is mostly a DIY project, not homework or school related.
Last edited:
