Projectile Intercept Math & Trigonometry

Click For Summary

Discussion Overview

The discussion revolves around setting up the mathematical equations necessary for intercepting a projectile in a 3D space for a video game. Participants explore the implications of various parameters such as launch angles, velocities, and the timing of the intercepting projectile.

Discussion Character

  • Exploratory
  • Technical explanation
  • Mathematical reasoning

Main Points Raised

  • One participant seeks guidance on how to set up equations for a projectile intercept, providing specific parameters such as launch angles and velocities.
  • Another participant suggests that a general solution is needed due to the variability of parameters, emphasizing the need for equations that account for the position of both projectiles as functions of time.
  • It is proposed that the position of the target can be determined by rearranging the 2D trajectory equations to include a third dimension or by using numerical methods like the Euler method.
  • A suggestion is made to equate the coordinates of both projectiles to find the angle of projection and other parameters, with the possibility of using a computer program to facilitate this process.
  • One participant questions whether the intercepting projectile is aimed directly at the shooter or at a distant target, advocating for the use of abstract parameters rather than fixed values for speed.

Areas of Agreement / Disagreement

Participants express differing views on the approach to solving the problem, with no consensus on a specific method or solution. Some emphasize the need for general equations, while others focus on specific parameters.

Contextual Notes

Participants acknowledge the complexity of the problem, noting that the solution may depend on various assumptions and the specific context of the game being developed.

Who May Find This Useful

This discussion may be useful for game developers and programmers interested in projectile motion and intercept calculations in a 3D environment.

VexCarido
Messages
8
Reaction score
4
Looking for some guidance on how to set up the equations for a projectile intercept given that you have perfect information about the target velocity, size and weather conditions in a 3D scenario, it's for an amateur videogame that I'm developing in my spare time

For simplicity sake let's assume there's no wind force and that target object is launched from coordinate (5,100,0) at a 55 degree angle along the x-axis, with initial velocity of 40 m/s - we have to launch to intercept the projectile with a delay of 2 second after the initial object is launched. Time of Flight for the object is 6.68 seconds. and we're launching from the origin coordinate (0,0,0)

Our initial projectile launch velocity range is 60 to 120 m/s and with a solution we should end up with a list of possible combinations of angles, and projectile speeds that would successfully intercept the target.

I know how to calculate the trajectory, as well as the horizontal/vertical range & time of flight for both objects I don't think this should be more difficult than rearranging a few components of the equations of motion, but I am at a loss as to how I should go about it exactly. Is there a swift and easy & efficient way to do this?
 
Physics news on Phys.org
VexCarido said:
Is there a swift and easy & efficient way to do this?
I don't think there is. You are not answering a homework problem with specific input parameters. You need a general solution given the ever-changing parameters that depend on the user is doing. You are probably looking for expressions for the projection angles (##\theta,~\phi##) of the interceptor given that its speed is fixed at ##v_0.## So you need to write some equations for the position of the enemy projectile and the interceptor as functions of time, take the difference (note that the acceleration term drops out), and see what must be true for that difference to be zero.
 
kuruman said:
I don't think there is. You are not answering a homework problem with specific input parameters. You need a general solution given the ever-changing parameters that depend on the user is doing. You are probably looking for expressions for the projection angles (##\theta,~\phi##) of the interceptor given that its speed is fixed at ##v_0.## So you need to write some equations for the position of the enemy projectile and the interceptor as functions of time, take the difference (note that the acceleration term drops out), and see what must be true for that difference to be zero.
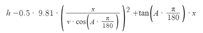
Figuring out the position of the target as a function of time is not the hard part, this can be done very simply by rearranging the 2D equation for the trajectory of a projectile to account for the added z axis.
d83a52c69a657e89c212ea32939f7c6a.png

Or by implementing the Euler method to approximate the trajectory instead.

It's what I do after this that I need help with. To simplify the problem even further let's fix our own initial launch velocity to 80 m/s.
 
VexCarido said:
Summary:: Need help to understand the math of projectile intercept for videogame

more difficult than rearranging a few components of the equations of motion, but I am at a loss as to how I should go about it exactly. Is there a swift and easy & efficient way to do this?
I think you will need to equate the coordinates of both the projectiles.
Equate the x(t) of 1st and second particle. And do the same with y(t). Put in the value of t.
You will get the angle of projection this way, using that you will get your other parameters.
A computer program would able to do this easily.
Sorry if I am wrong
 
Here is my question. Are you trying to shoot down projectiles that are aimed straight at you or are you trying to shoot down projectiles that are aimed at your headquarters located away from you on a hillside? And no, let's not get too attached to 80 m/s. Lets's call our projectile speed ##v_0## and the speed of the enemy projectile ##u_0##. Develop the equations and then you can tweak the values as you wish. I think that if you wish to be a successful game designer, you have to think abstractly in terms of parameters.
 

Similar threads

  • · Replies 16 ·
Replies
16
Views
2K
  • · Replies 9 ·
Replies
9
Views
2K
  • · Replies 8 ·
Replies
8
Views
3K
  • · Replies 4 ·
Replies
4
Views
2K
  • · Replies 25 ·
Replies
25
Views
5K
  • · Replies 17 ·
Replies
17
Views
19K
Replies
14
Views
3K
  • · Replies 8 ·
Replies
8
Views
9K
  • · Replies 11 ·
Replies
11
Views
2K
  • · Replies 6 ·
Replies
6
Views
2K